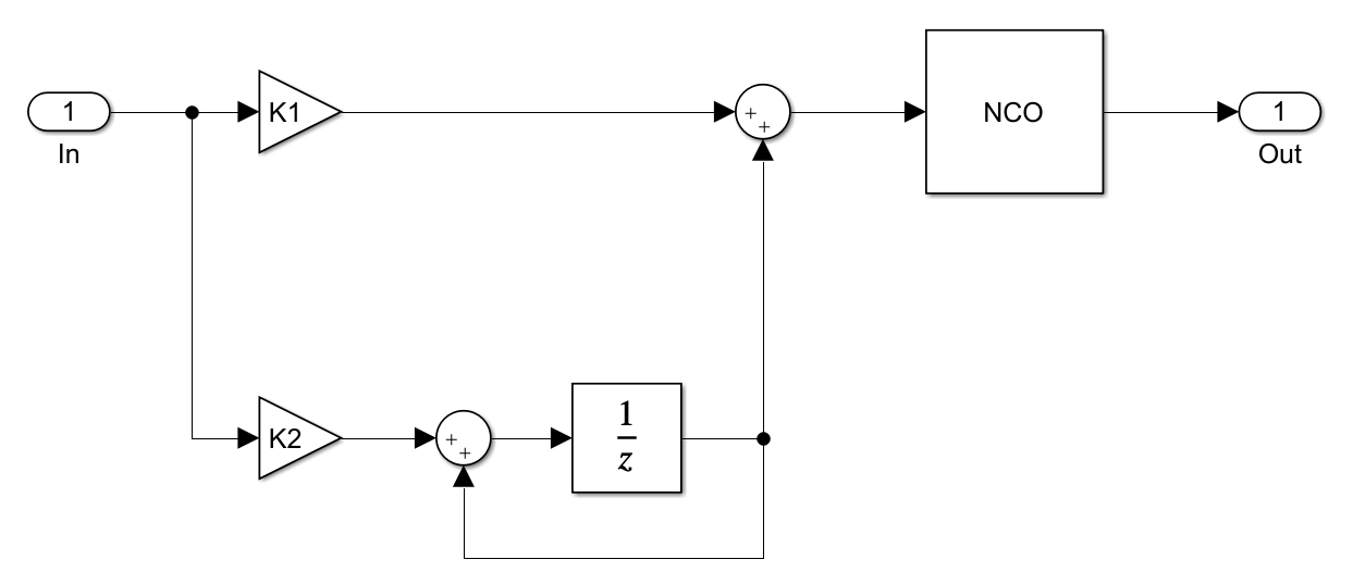
Matlab Simulink Nco . This example shows how to use the nco block to generate a sine wave. So i selected a hdl nco block, but i dont know how to set the parameter. The nco block generates a multichannel real or complex sinusoidal signal, with independent frequency and phase in each output channel. The example generates a sine wave with these specifications. Hello folks, i'm trying to simulate a quadrature digital down converter (ddc). For now, i'm using a sine wave and a cosine wave for the nco from. I have to build the hdl block set for nco(frequency shifting). This model example shows how to design an nco source block from predetermined specifications. It can be used for developing.
from idgasw.weebly.com
Hello folks, i'm trying to simulate a quadrature digital down converter (ddc). This model example shows how to design an nco source block from predetermined specifications. For now, i'm using a sine wave and a cosine wave for the nco from. The example generates a sine wave with these specifications. It can be used for developing. I have to build the hdl block set for nco(frequency shifting). The nco block generates a multichannel real or complex sinusoidal signal, with independent frequency and phase in each output channel. This example shows how to use the nco block to generate a sine wave. So i selected a hdl nco block, but i dont know how to set the parameter.
Matlab simulink tutorial idgasw
Matlab Simulink Nco This model example shows how to design an nco source block from predetermined specifications. Hello folks, i'm trying to simulate a quadrature digital down converter (ddc). For now, i'm using a sine wave and a cosine wave for the nco from. This example shows how to use the nco block to generate a sine wave. It can be used for developing. So i selected a hdl nco block, but i dont know how to set the parameter. This model example shows how to design an nco source block from predetermined specifications. The example generates a sine wave with these specifications. I have to build the hdl block set for nco(frequency shifting). The nco block generates a multichannel real or complex sinusoidal signal, with independent frequency and phase in each output channel.
From www.researchgate.net
Simulation on matlab simulink. Download Scientific Diagram Matlab Simulink Nco So i selected a hdl nco block, but i dont know how to set the parameter. It can be used for developing. The example generates a sine wave with these specifications. The nco block generates a multichannel real or complex sinusoidal signal, with independent frequency and phase in each output channel. Hello folks, i'm trying to simulate a quadrature digital. Matlab Simulink Nco.
From www.youtube.com
Full wave controlled rectifier simulation in Matlab Simulink MATLAB Matlab Simulink Nco For now, i'm using a sine wave and a cosine wave for the nco from. So i selected a hdl nco block, but i dont know how to set the parameter. Hello folks, i'm trying to simulate a quadrature digital down converter (ddc). The example generates a sine wave with these specifications. This example shows how to use the nco. Matlab Simulink Nco.
From www.youtube.com
[MATLAB 기본 강좌] Simulink에서 버스를 사용하는 방법 YouTube Matlab Simulink Nco So i selected a hdl nco block, but i dont know how to set the parameter. I have to build the hdl block set for nco(frequency shifting). This example shows how to use the nco block to generate a sine wave. The nco block generates a multichannel real or complex sinusoidal signal, with independent frequency and phase in each output. Matlab Simulink Nco.
From www.researchgate.net
MATLAB/Simulink system simulation. MATLAB/Simulink system simulation Matlab Simulink Nco The example generates a sine wave with these specifications. I have to build the hdl block set for nco(frequency shifting). So i selected a hdl nco block, but i dont know how to set the parameter. It can be used for developing. For now, i'm using a sine wave and a cosine wave for the nco from. This model example. Matlab Simulink Nco.
From www.youtube.com
Basics of MATLAB and Simulink YouTube Matlab Simulink Nco Hello folks, i'm trying to simulate a quadrature digital down converter (ddc). This example shows how to use the nco block to generate a sine wave. I have to build the hdl block set for nco(frequency shifting). For now, i'm using a sine wave and a cosine wave for the nco from. So i selected a hdl nco block, but. Matlab Simulink Nco.
From blog.csdn.net
【Simulink】数字控制振荡器 NCO ( N umerically CONtrolled Oscillator )_simulink实现 Matlab Simulink Nco It can be used for developing. For now, i'm using a sine wave and a cosine wave for the nco from. This example shows how to use the nco block to generate a sine wave. Hello folks, i'm trying to simulate a quadrature digital down converter (ddc). So i selected a hdl nco block, but i dont know how to. Matlab Simulink Nco.
From www.youtube.com
Interfacing Proteus and MATLAB SIMULINK for CoSimulation YouTube Matlab Simulink Nco I have to build the hdl block set for nco(frequency shifting). This example shows how to use the nco block to generate a sine wave. This model example shows how to design an nco source block from predetermined specifications. The nco block generates a multichannel real or complex sinusoidal signal, with independent frequency and phase in each output channel. The. Matlab Simulink Nco.
From www.youtube.com
Hướng dẫn Simulink trong matlab YouTube Matlab Simulink Nco It can be used for developing. The example generates a sine wave with these specifications. This model example shows how to design an nco source block from predetermined specifications. I have to build the hdl block set for nco(frequency shifting). So i selected a hdl nco block, but i dont know how to set the parameter. This example shows how. Matlab Simulink Nco.
From www.researchgate.net
Implementation of the dynamic simulation model in MATLAB/Simulink Matlab Simulink Nco For now, i'm using a sine wave and a cosine wave for the nco from. It can be used for developing. I have to build the hdl block set for nco(frequency shifting). So i selected a hdl nco block, but i dont know how to set the parameter. The example generates a sine wave with these specifications. The nco block. Matlab Simulink Nco.
From kr.mathworks.com
Generate Code to Resize Images to Fixed Output Size MATLAB & Simulink Matlab Simulink Nco The nco block generates a multichannel real or complex sinusoidal signal, with independent frequency and phase in each output channel. The example generates a sine wave with these specifications. So i selected a hdl nco block, but i dont know how to set the parameter. This example shows how to use the nco block to generate a sine wave. I. Matlab Simulink Nco.
From blogs.mathworks.com
Use MATLAB GUIs with Simulink Models » File Exchange Pick of the Week Matlab Simulink Nco This example shows how to use the nco block to generate a sine wave. The example generates a sine wave with these specifications. Hello folks, i'm trying to simulate a quadrature digital down converter (ddc). The nco block generates a multichannel real or complex sinusoidal signal, with independent frequency and phase in each output channel. I have to build the. Matlab Simulink Nco.
From www.youtube.com
How to use MATLAB Simulink Logical Operator block YouTube Matlab Simulink Nco This example shows how to use the nco block to generate a sine wave. It can be used for developing. For now, i'm using a sine wave and a cosine wave for the nco from. This model example shows how to design an nco source block from predetermined specifications. So i selected a hdl nco block, but i dont know. Matlab Simulink Nco.
From www.blackswan.ltd
MDS now has MATLAB/Simulink integration Blackswan Space Matlab Simulink Nco Hello folks, i'm trying to simulate a quadrature digital down converter (ddc). For now, i'm using a sine wave and a cosine wave for the nco from. So i selected a hdl nco block, but i dont know how to set the parameter. This example shows how to use the nco block to generate a sine wave. This model example. Matlab Simulink Nco.
From www.mathworks.com
Generate real or complex sinusoidal signals Simulink Matlab Simulink Nco So i selected a hdl nco block, but i dont know how to set the parameter. This model example shows how to design an nco source block from predetermined specifications. The nco block generates a multichannel real or complex sinusoidal signal, with independent frequency and phase in each output channel. For now, i'm using a sine wave and a cosine. Matlab Simulink Nco.
From kr.mathworks.com
Implement Digital Downconverter for FPGA MATLAB & Simulink MathWorks 한국 Matlab Simulink Nco I have to build the hdl block set for nco(frequency shifting). The example generates a sine wave with these specifications. Hello folks, i'm trying to simulate a quadrature digital down converter (ddc). This model example shows how to design an nco source block from predetermined specifications. This example shows how to use the nco block to generate a sine wave.. Matlab Simulink Nco.
From www.mathworks.com
Code Generation MATLAB & Simulink Matlab Simulink Nco The example generates a sine wave with these specifications. This example shows how to use the nco block to generate a sine wave. I have to build the hdl block set for nco(frequency shifting). So i selected a hdl nco block, but i dont know how to set the parameter. The nco block generates a multichannel real or complex sinusoidal. Matlab Simulink Nco.
From www.researchgate.net
Simulation diagram constructed in Matlab/Simulink. Download Matlab Simulink Nco So i selected a hdl nco block, but i dont know how to set the parameter. I have to build the hdl block set for nco(frequency shifting). This model example shows how to design an nco source block from predetermined specifications. The nco block generates a multichannel real or complex sinusoidal signal, with independent frequency and phase in each output. Matlab Simulink Nco.
From www.youtube.com
Simulink MatLab Variables YouTube Matlab Simulink Nco The example generates a sine wave with these specifications. Hello folks, i'm trying to simulate a quadrature digital down converter (ddc). This model example shows how to design an nco source block from predetermined specifications. For now, i'm using a sine wave and a cosine wave for the nco from. So i selected a hdl nco block, but i dont. Matlab Simulink Nco.
From www.youtube.com
Generate C code from Simulink model Simulink tutorial MATLAB Matlab Simulink Nco For now, i'm using a sine wave and a cosine wave for the nco from. The example generates a sine wave with these specifications. The nco block generates a multichannel real or complex sinusoidal signal, with independent frequency and phase in each output channel. I have to build the hdl block set for nco(frequency shifting). This model example shows how. Matlab Simulink Nco.
From www.youtube.com
MATLAB Tutorials Introduction to Simulink YouTube Matlab Simulink Nco I have to build the hdl block set for nco(frequency shifting). So i selected a hdl nco block, but i dont know how to set the parameter. For now, i'm using a sine wave and a cosine wave for the nco from. Hello folks, i'm trying to simulate a quadrature digital down converter (ddc). It can be used for developing.. Matlab Simulink Nco.
From www.researchgate.net
Analytical model in Matlab/Simulink Download Scientific Diagram Matlab Simulink Nco It can be used for developing. So i selected a hdl nco block, but i dont know how to set the parameter. Hello folks, i'm trying to simulate a quadrature digital down converter (ddc). The example generates a sine wave with these specifications. This model example shows how to design an nco source block from predetermined specifications. The nco block. Matlab Simulink Nco.
From www.researchgate.net
The Matlab/Simulink components implementing the ideal bidirectional Matlab Simulink Nco The example generates a sine wave with these specifications. This model example shows how to design an nco source block from predetermined specifications. The nco block generates a multichannel real or complex sinusoidal signal, with independent frequency and phase in each output channel. So i selected a hdl nco block, but i dont know how to set the parameter. It. Matlab Simulink Nco.
From www.youtube.com
Working with Simulink Matlab Tutorials YouTube Matlab Simulink Nco Hello folks, i'm trying to simulate a quadrature digital down converter (ddc). So i selected a hdl nco block, but i dont know how to set the parameter. For now, i'm using a sine wave and a cosine wave for the nco from. The nco block generates a multichannel real or complex sinusoidal signal, with independent frequency and phase in. Matlab Simulink Nco.
From electricalworkbook.com
MATLAB Simulink (Simulink Library Browser & Creating a New Simulink Model) Matlab Simulink Nco For now, i'm using a sine wave and a cosine wave for the nco from. I have to build the hdl block set for nco(frequency shifting). This example shows how to use the nco block to generate a sine wave. So i selected a hdl nco block, but i dont know how to set the parameter. This model example shows. Matlab Simulink Nco.
From www.youtube.com
Matlab Simulink How To Solve Differential Equations YouTube Matlab Simulink Nco This model example shows how to design an nco source block from predetermined specifications. For now, i'm using a sine wave and a cosine wave for the nco from. I have to build the hdl block set for nco(frequency shifting). Hello folks, i'm trying to simulate a quadrature digital down converter (ddc). This example shows how to use the nco. Matlab Simulink Nco.
From www.mathworks.com
Unifying MATLAB and Simulink Example File Exchange MATLAB Central Matlab Simulink Nco This model example shows how to design an nco source block from predetermined specifications. Hello folks, i'm trying to simulate a quadrature digital down converter (ddc). This example shows how to use the nco block to generate a sine wave. The example generates a sine wave with these specifications. So i selected a hdl nco block, but i dont know. Matlab Simulink Nco.
From www.researchgate.net
MATLAB/Simulink simulation diagram of mill hydraulic coupling vibration Matlab Simulink Nco It can be used for developing. The nco block generates a multichannel real or complex sinusoidal signal, with independent frequency and phase in each output channel. This example shows how to use the nco block to generate a sine wave. I have to build the hdl block set for nco(frequency shifting). So i selected a hdl nco block, but i. Matlab Simulink Nco.
From www.youtube.com
How to use MATLAB Simulink controlled current source block YouTube Matlab Simulink Nco I have to build the hdl block set for nco(frequency shifting). So i selected a hdl nco block, but i dont know how to set the parameter. It can be used for developing. For now, i'm using a sine wave and a cosine wave for the nco from. Hello folks, i'm trying to simulate a quadrature digital down converter (ddc).. Matlab Simulink Nco.
From www.researchgate.net
Coordinated control structure of thermal load system in MATLAB Simulink Matlab Simulink Nco I have to build the hdl block set for nco(frequency shifting). The nco block generates a multichannel real or complex sinusoidal signal, with independent frequency and phase in each output channel. Hello folks, i'm trying to simulate a quadrature digital down converter (ddc). This model example shows how to design an nco source block from predetermined specifications. The example generates. Matlab Simulink Nco.
From electrical-engineering-portal.com
MATLAB/Simulink for Analog and Digital Electronics EEP Academy Courses Matlab Simulink Nco Hello folks, i'm trying to simulate a quadrature digital down converter (ddc). So i selected a hdl nco block, but i dont know how to set the parameter. This model example shows how to design an nco source block from predetermined specifications. The example generates a sine wave with these specifications. This example shows how to use the nco block. Matlab Simulink Nco.
From www.artofit.org
Example list matlab simulink Artofit Matlab Simulink Nco Hello folks, i'm trying to simulate a quadrature digital down converter (ddc). I have to build the hdl block set for nco(frequency shifting). This example shows how to use the nco block to generate a sine wave. The example generates a sine wave with these specifications. So i selected a hdl nco block, but i dont know how to set. Matlab Simulink Nco.
From www.youtube.com
MATLAB simulink signal condition function YouTube Matlab Simulink Nco This example shows how to use the nco block to generate a sine wave. The example generates a sine wave with these specifications. So i selected a hdl nco block, but i dont know how to set the parameter. I have to build the hdl block set for nco(frequency shifting). It can be used for developing. For now, i'm using. Matlab Simulink Nco.
From www.youtube.com
Matlab and simulink on stm32 microcontrollers with embedded coder YouTube Matlab Simulink Nco This example shows how to use the nco block to generate a sine wave. I have to build the hdl block set for nco(frequency shifting). The nco block generates a multichannel real or complex sinusoidal signal, with independent frequency and phase in each output channel. The example generates a sine wave with these specifications. So i selected a hdl nco. Matlab Simulink Nco.
From blog.csdn.net
Simulink HDLNCO和FIR Filter_discrete fir filterCSDN博客 Matlab Simulink Nco So i selected a hdl nco block, but i dont know how to set the parameter. It can be used for developing. I have to build the hdl block set for nco(frequency shifting). The example generates a sine wave with these specifications. This model example shows how to design an nco source block from predetermined specifications. Hello folks, i'm trying. Matlab Simulink Nco.
From idgasw.weebly.com
Matlab simulink tutorial idgasw Matlab Simulink Nco This model example shows how to design an nco source block from predetermined specifications. Hello folks, i'm trying to simulate a quadrature digital down converter (ddc). The example generates a sine wave with these specifications. For now, i'm using a sine wave and a cosine wave for the nco from. It can be used for developing. This example shows how. Matlab Simulink Nco.