How Many Litres Does A 3 Foot Tank Hold . It calculates the liquid volume of partially filled tanks. Select the style of tank and its dimensions to calculate the capacity in gallons and liters. The volume of a tank refers to the amount of space inside it, commonly measured in liters or gallons for fluid containers or cubic meters for. Enter the dimensions of your tank and our calculator will do the rest. Estimate the total capacity and filled volumes in gallons and liters of tanks such as oil tanks and water tanks. 32 rows how much water will the tank size really hold? We understand that it isn’t very easy to estimate how many gallons or litres your container can hold. That’s why we built our. Use our tank capacity calculator to quickly and easily calculate the volume of your tank. Assumes inside dimensions of the tank. This is the absolute volume when an otherwise empty tank is filled. The tank volume calculator finds the total volume of various tank shapes in gallons, liters, and cubic meters. Optionally, enter the filled depth to calculate the volume of.
from www.gauthmath.com
The volume of a tank refers to the amount of space inside it, commonly measured in liters or gallons for fluid containers or cubic meters for. The tank volume calculator finds the total volume of various tank shapes in gallons, liters, and cubic meters. Optionally, enter the filled depth to calculate the volume of. We understand that it isn’t very easy to estimate how many gallons or litres your container can hold. Select the style of tank and its dimensions to calculate the capacity in gallons and liters. 32 rows how much water will the tank size really hold? That’s why we built our. Enter the dimensions of your tank and our calculator will do the rest. It calculates the liquid volume of partially filled tanks. Use our tank capacity calculator to quickly and easily calculate the volume of your tank.
Solved 8. Threefifths of an aquarium held 27 litres of water. After a
How Many Litres Does A 3 Foot Tank Hold That’s why we built our. We understand that it isn’t very easy to estimate how many gallons or litres your container can hold. Select the style of tank and its dimensions to calculate the capacity in gallons and liters. The volume of a tank refers to the amount of space inside it, commonly measured in liters or gallons for fluid containers or cubic meters for. Optionally, enter the filled depth to calculate the volume of. 32 rows how much water will the tank size really hold? Assumes inside dimensions of the tank. It calculates the liquid volume of partially filled tanks. Estimate the total capacity and filled volumes in gallons and liters of tanks such as oil tanks and water tanks. Use our tank capacity calculator to quickly and easily calculate the volume of your tank. That’s why we built our. The tank volume calculator finds the total volume of various tank shapes in gallons, liters, and cubic meters. This is the absolute volume when an otherwise empty tank is filled. Enter the dimensions of your tank and our calculator will do the rest.
From materialmediaannulus.z14.web.core.windows.net
Weight Of 100 Litres Of Water How Many Litres Does A 3 Foot Tank Hold Select the style of tank and its dimensions to calculate the capacity in gallons and liters. Assumes inside dimensions of the tank. The tank volume calculator finds the total volume of various tank shapes in gallons, liters, and cubic meters. Optionally, enter the filled depth to calculate the volume of. This is the absolute volume when an otherwise empty tank. How Many Litres Does A 3 Foot Tank Hold.
From www.ebay.com.au
5000L Round Poly Water Tank (1100 gallon/5000 Litre) South East QLD How Many Litres Does A 3 Foot Tank Hold That’s why we built our. Enter the dimensions of your tank and our calculator will do the rest. We understand that it isn’t very easy to estimate how many gallons or litres your container can hold. Optionally, enter the filled depth to calculate the volume of. The volume of a tank refers to the amount of space inside it, commonly. How Many Litres Does A 3 Foot Tank Hold.
From keagan-has-hickman.blogspot.com
How Many Liters Does a Bucket Hold KeaganhasHickman How Many Litres Does A 3 Foot Tank Hold Enter the dimensions of your tank and our calculator will do the rest. It calculates the liquid volume of partially filled tanks. 32 rows how much water will the tank size really hold? We understand that it isn’t very easy to estimate how many gallons or litres your container can hold. Select the style of tank and its dimensions to. How Many Litres Does A 3 Foot Tank Hold.
From ceoffrvh.blob.core.windows.net
How Much Does A 500 Gallon Concrete Septic Tank Weigh at Daniel Goff blog How Many Litres Does A 3 Foot Tank Hold It calculates the liquid volume of partially filled tanks. Estimate the total capacity and filled volumes in gallons and liters of tanks such as oil tanks and water tanks. This is the absolute volume when an otherwise empty tank is filled. 32 rows how much water will the tank size really hold? Optionally, enter the filled depth to calculate the. How Many Litres Does A 3 Foot Tank Hold.
From exomczlhs.blob.core.windows.net
How Many Gallons Does A Water Tank Hold at Robert Colbert blog How Many Litres Does A 3 Foot Tank Hold We understand that it isn’t very easy to estimate how many gallons or litres your container can hold. This is the absolute volume when an otherwise empty tank is filled. Assumes inside dimensions of the tank. Estimate the total capacity and filled volumes in gallons and liters of tanks such as oil tanks and water tanks. Use our tank capacity. How Many Litres Does A 3 Foot Tank Hold.
From www.celestialpets.com
“Unveiling the Mystery How Many Litres Does a 3ft Fish Tank Hold How Many Litres Does A 3 Foot Tank Hold 32 rows how much water will the tank size really hold? It calculates the liquid volume of partially filled tanks. Select the style of tank and its dimensions to calculate the capacity in gallons and liters. The tank volume calculator finds the total volume of various tank shapes in gallons, liters, and cubic meters. The volume of a tank refers. How Many Litres Does A 3 Foot Tank Hold.
From achievetampabay.org
How Many Liters In 5 Gallon Bucket? Update How Many Litres Does A 3 Foot Tank Hold This is the absolute volume when an otherwise empty tank is filled. We understand that it isn’t very easy to estimate how many gallons or litres your container can hold. Optionally, enter the filled depth to calculate the volume of. The tank volume calculator finds the total volume of various tank shapes in gallons, liters, and cubic meters. Enter the. How Many Litres Does A 3 Foot Tank Hold.
From exoajnnjh.blob.core.windows.net
How Many Litres Of Water Does A Dishwasher Use at Carol Cochran blog How Many Litres Does A 3 Foot Tank Hold Assumes inside dimensions of the tank. We understand that it isn’t very easy to estimate how many gallons or litres your container can hold. 32 rows how much water will the tank size really hold? The volume of a tank refers to the amount of space inside it, commonly measured in liters or gallons for fluid containers or cubic meters. How Many Litres Does A 3 Foot Tank Hold.
From klarsscgn.blob.core.windows.net
How Many Gallons Does A Gas Station Tank Hold at Aaron Ross blog How Many Litres Does A 3 Foot Tank Hold The tank volume calculator finds the total volume of various tank shapes in gallons, liters, and cubic meters. Enter the dimensions of your tank and our calculator will do the rest. We understand that it isn’t very easy to estimate how many gallons or litres your container can hold. This is the absolute volume when an otherwise empty tank is. How Many Litres Does A 3 Foot Tank Hold.
From www.toppr.com
A bucket of 20 litres is 35( ) full. How many litres of water must be How Many Litres Does A 3 Foot Tank Hold Optionally, enter the filled depth to calculate the volume of. Enter the dimensions of your tank and our calculator will do the rest. This is the absolute volume when an otherwise empty tank is filled. Estimate the total capacity and filled volumes in gallons and liters of tanks such as oil tanks and water tanks. That’s why we built our.. How Many Litres Does A 3 Foot Tank Hold.
From exobsibpb.blob.core.windows.net
Oil Tank Kitchen at Eleanor Younger blog How Many Litres Does A 3 Foot Tank Hold 32 rows how much water will the tank size really hold? Estimate the total capacity and filled volumes in gallons and liters of tanks such as oil tanks and water tanks. This is the absolute volume when an otherwise empty tank is filled. The tank volume calculator finds the total volume of various tank shapes in gallons, liters, and cubic. How Many Litres Does A 3 Foot Tank Hold.
From www.youtube.com
How to Calculate Water Tank Capacity In Liters How to calculate How Many Litres Does A 3 Foot Tank Hold This is the absolute volume when an otherwise empty tank is filled. Enter the dimensions of your tank and our calculator will do the rest. We understand that it isn’t very easy to estimate how many gallons or litres your container can hold. 32 rows how much water will the tank size really hold? Estimate the total capacity and filled. How Many Litres Does A 3 Foot Tank Hold.
From www.pinterest.com
How many litres does a fuel tanker carry? 40,00050,000 liters diesel How Many Litres Does A 3 Foot Tank Hold Enter the dimensions of your tank and our calculator will do the rest. 32 rows how much water will the tank size really hold? Assumes inside dimensions of the tank. Select the style of tank and its dimensions to calculate the capacity in gallons and liters. Use our tank capacity calculator to quickly and easily calculate the volume of your. How Many Litres Does A 3 Foot Tank Hold.
From jetestelavirb.com
How Many Litres Does A Bath Hold Art & Bussines How Many Litres Does A 3 Foot Tank Hold Estimate the total capacity and filled volumes in gallons and liters of tanks such as oil tanks and water tanks. Select the style of tank and its dimensions to calculate the capacity in gallons and liters. Enter the dimensions of your tank and our calculator will do the rest. 32 rows how much water will the tank size really hold?. How Many Litres Does A 3 Foot Tank Hold.
From exomczlhs.blob.core.windows.net
How Many Gallons Does A Water Tank Hold at Robert Colbert blog How Many Litres Does A 3 Foot Tank Hold That’s why we built our. Assumes inside dimensions of the tank. Optionally, enter the filled depth to calculate the volume of. Use our tank capacity calculator to quickly and easily calculate the volume of your tank. 32 rows how much water will the tank size really hold? The tank volume calculator finds the total volume of various tank shapes in. How Many Litres Does A 3 Foot Tank Hold.
From klarsscgn.blob.core.windows.net
How Many Gallons Does A Gas Station Tank Hold at Aaron Ross blog How Many Litres Does A 3 Foot Tank Hold We understand that it isn’t very easy to estimate how many gallons or litres your container can hold. It calculates the liquid volume of partially filled tanks. Assumes inside dimensions of the tank. That’s why we built our. The volume of a tank refers to the amount of space inside it, commonly measured in liters or gallons for fluid containers. How Many Litres Does A 3 Foot Tank Hold.
From joiaenqoi.blob.core.windows.net
How To Keep Water Cool In Overhead Tank at Mary Whitesel blog How Many Litres Does A 3 Foot Tank Hold The tank volume calculator finds the total volume of various tank shapes in gallons, liters, and cubic meters. Select the style of tank and its dimensions to calculate the capacity in gallons and liters. 32 rows how much water will the tank size really hold? Assumes inside dimensions of the tank. That’s why we built our. The volume of a. How Many Litres Does A 3 Foot Tank Hold.
From klaieomqu.blob.core.windows.net
How Many Gallons Is A 30X12X12 Tank at Roger Gatlin blog How Many Litres Does A 3 Foot Tank Hold Select the style of tank and its dimensions to calculate the capacity in gallons and liters. It calculates the liquid volume of partially filled tanks. That’s why we built our. Optionally, enter the filled depth to calculate the volume of. Estimate the total capacity and filled volumes in gallons and liters of tanks such as oil tanks and water tanks.. How Many Litres Does A 3 Foot Tank Hold.
From ask.modifiyegaraj.com
30 Gallons To Litres Asking List How Many Litres Does A 3 Foot Tank Hold We understand that it isn’t very easy to estimate how many gallons or litres your container can hold. 32 rows how much water will the tank size really hold? Use our tank capacity calculator to quickly and easily calculate the volume of your tank. Estimate the total capacity and filled volumes in gallons and liters of tanks such as oil. How Many Litres Does A 3 Foot Tank Hold.
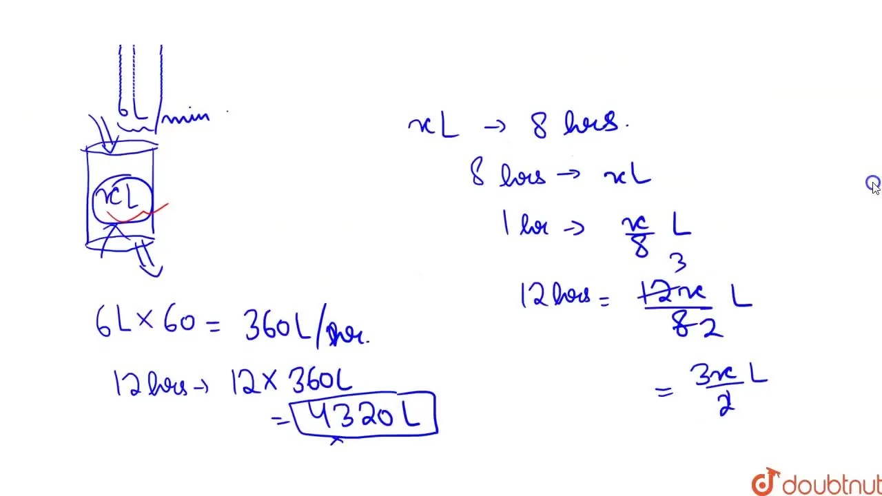
From www.doubtnut.com
A leak in the bottom of a tank can empty the full Tank in 8 hours. A How Many Litres Does A 3 Foot Tank Hold It calculates the liquid volume of partially filled tanks. The tank volume calculator finds the total volume of various tank shapes in gallons, liters, and cubic meters. This is the absolute volume when an otherwise empty tank is filled. Optionally, enter the filled depth to calculate the volume of. Assumes inside dimensions of the tank. Estimate the total capacity and. How Many Litres Does A 3 Foot Tank Hold.
From mavink.com
Oxygen Tank Capacity Chart How Many Litres Does A 3 Foot Tank Hold The tank volume calculator finds the total volume of various tank shapes in gallons, liters, and cubic meters. 32 rows how much water will the tank size really hold? The volume of a tank refers to the amount of space inside it, commonly measured in liters or gallons for fluid containers or cubic meters for. Estimate the total capacity and. How Many Litres Does A 3 Foot Tank Hold.
From brainly.in
How many Litres is 1kg of oxygen? Brainly.in How Many Litres Does A 3 Foot Tank Hold Optionally, enter the filled depth to calculate the volume of. The volume of a tank refers to the amount of space inside it, commonly measured in liters or gallons for fluid containers or cubic meters for. That’s why we built our. Assumes inside dimensions of the tank. It calculates the liquid volume of partially filled tanks. We understand that it. How Many Litres Does A 3 Foot Tank Hold.
From www.teachoo.com
Misc 6 A tank with rectangular base, sides, open at top is How Many Litres Does A 3 Foot Tank Hold That’s why we built our. This is the absolute volume when an otherwise empty tank is filled. Assumes inside dimensions of the tank. The volume of a tank refers to the amount of space inside it, commonly measured in liters or gallons for fluid containers or cubic meters for. Enter the dimensions of your tank and our calculator will do. How Many Litres Does A 3 Foot Tank Hold.
From www.teachoo.com
Question 2 A cuboidal water tank is 6 m long, 5 m wide How Many Litres Does A 3 Foot Tank Hold Enter the dimensions of your tank and our calculator will do the rest. Assumes inside dimensions of the tank. This is the absolute volume when an otherwise empty tank is filled. The tank volume calculator finds the total volume of various tank shapes in gallons, liters, and cubic meters. Estimate the total capacity and filled volumes in gallons and liters. How Many Litres Does A 3 Foot Tank Hold.
From tawfiksunni.blogspot.com
Gallons per square foot calculator TawfikSunni How Many Litres Does A 3 Foot Tank Hold This is the absolute volume when an otherwise empty tank is filled. Estimate the total capacity and filled volumes in gallons and liters of tanks such as oil tanks and water tanks. Select the style of tank and its dimensions to calculate the capacity in gallons and liters. We understand that it isn’t very easy to estimate how many gallons. How Many Litres Does A 3 Foot Tank Hold.
From exyglkhri.blob.core.windows.net
How Long Will A Gallon Of Water Last One Person at Sarah Curry blog How Many Litres Does A 3 Foot Tank Hold It calculates the liquid volume of partially filled tanks. Select the style of tank and its dimensions to calculate the capacity in gallons and liters. 32 rows how much water will the tank size really hold? Optionally, enter the filled depth to calculate the volume of. Use our tank capacity calculator to quickly and easily calculate the volume of your. How Many Litres Does A 3 Foot Tank Hold.
From www.youtube.com
How to calculate water tank capacity in liters Water tank volume How Many Litres Does A 3 Foot Tank Hold The volume of a tank refers to the amount of space inside it, commonly measured in liters or gallons for fluid containers or cubic meters for. It calculates the liquid volume of partially filled tanks. We understand that it isn’t very easy to estimate how many gallons or litres your container can hold. Assumes inside dimensions of the tank. Enter. How Many Litres Does A 3 Foot Tank Hold.
From sciencenotes.org
How to Convert Convert cm3 to Liters How Many Litres Does A 3 Foot Tank Hold Enter the dimensions of your tank and our calculator will do the rest. Use our tank capacity calculator to quickly and easily calculate the volume of your tank. The tank volume calculator finds the total volume of various tank shapes in gallons, liters, and cubic meters. 32 rows how much water will the tank size really hold? Optionally, enter the. How Many Litres Does A 3 Foot Tank Hold.
From www.gauthmath.com
Solved 8. Threefifths of an aquarium held 27 litres of water. After a How Many Litres Does A 3 Foot Tank Hold Assumes inside dimensions of the tank. Select the style of tank and its dimensions to calculate the capacity in gallons and liters. The volume of a tank refers to the amount of space inside it, commonly measured in liters or gallons for fluid containers or cubic meters for. This is the absolute volume when an otherwise empty tank is filled.. How Many Litres Does A 3 Foot Tank Hold.
From dxoitksng.blob.core.windows.net
What Size Heater For 75 Gallon Tank at Harvey Wayman blog How Many Litres Does A 3 Foot Tank Hold Enter the dimensions of your tank and our calculator will do the rest. The volume of a tank refers to the amount of space inside it, commonly measured in liters or gallons for fluid containers or cubic meters for. Select the style of tank and its dimensions to calculate the capacity in gallons and liters. This is the absolute volume. How Many Litres Does A 3 Foot Tank Hold.
From maleah-has-carey.blogspot.com
How Many Gallons of Gas Does a Gas Truck Hold MaleahhasCarey How Many Litres Does A 3 Foot Tank Hold The volume of a tank refers to the amount of space inside it, commonly measured in liters or gallons for fluid containers or cubic meters for. It calculates the liquid volume of partially filled tanks. Optionally, enter the filled depth to calculate the volume of. That’s why we built our. Enter the dimensions of your tank and our calculator will. How Many Litres Does A 3 Foot Tank Hold.
From www.reef2rainforest.com
Aquarium Sizes How Many Litres Does A 3 Foot Tank Hold 32 rows how much water will the tank size really hold? Select the style of tank and its dimensions to calculate the capacity in gallons and liters. We understand that it isn’t very easy to estimate how many gallons or litres your container can hold. Estimate the total capacity and filled volumes in gallons and liters of tanks such as. How Many Litres Does A 3 Foot Tank Hold.
From www.gauthmath.com
Solved of water 40. The diagram below represents a tank How much water How Many Litres Does A 3 Foot Tank Hold The tank volume calculator finds the total volume of various tank shapes in gallons, liters, and cubic meters. It calculates the liquid volume of partially filled tanks. This is the absolute volume when an otherwise empty tank is filled. The volume of a tank refers to the amount of space inside it, commonly measured in liters or gallons for fluid. How Many Litres Does A 3 Foot Tank Hold.
From lessonschooltridentine.z21.web.core.windows.net
What Makes Up A Liter How Many Litres Does A 3 Foot Tank Hold Assumes inside dimensions of the tank. Optionally, enter the filled depth to calculate the volume of. It calculates the liquid volume of partially filled tanks. That’s why we built our. 32 rows how much water will the tank size really hold? Enter the dimensions of your tank and our calculator will do the rest. Use our tank capacity calculator to. How Many Litres Does A 3 Foot Tank Hold.
From exymgjdhc.blob.core.windows.net
How Many Gallons In A 6 Foot Pool at Adam Mecham blog How Many Litres Does A 3 Foot Tank Hold The tank volume calculator finds the total volume of various tank shapes in gallons, liters, and cubic meters. Select the style of tank and its dimensions to calculate the capacity in gallons and liters. This is the absolute volume when an otherwise empty tank is filled. Assumes inside dimensions of the tank. That’s why we built our. Estimate the total. How Many Litres Does A 3 Foot Tank Hold.