Constant Horizontal Component Of Velocity . the velocity vector (in green) is shown at the initial time, the point of maximum height, and the point where the projectile is back to its initial height. the horizontal velocity of a projectile is constant (a never changing in value), there is a vertical acceleration caused by gravity; horizontal motion is a constant velocity in the absence of air resistance. the initial horizontal component if the velocity is \( v_{0} \cos \alpha\), and, in the absence of air resistance, this horizontal component. The horizontal displacement found here could be useful in. the horizontal motion is a constant velocity in the absence of air resistance. The horizontal displacement found here could be useful in. this is because, once launched, there are no horizontal forces acting on the projectile (air resistance is usually ignored because it is very small). the horizontal displacement of the projectile is called the range of the projectile, and depends on the initial velocity of the object. if you're seeing this message, it means we're having trouble loading external resources on our website. If you're behind a web filter, please make sure that the domains.
from brainly.ph
The horizontal displacement found here could be useful in. the velocity vector (in green) is shown at the initial time, the point of maximum height, and the point where the projectile is back to its initial height. this is because, once launched, there are no horizontal forces acting on the projectile (air resistance is usually ignored because it is very small). the horizontal motion is a constant velocity in the absence of air resistance. If you're behind a web filter, please make sure that the domains. horizontal motion is a constant velocity in the absence of air resistance. the horizontal displacement of the projectile is called the range of the projectile, and depends on the initial velocity of the object. if you're seeing this message, it means we're having trouble loading external resources on our website. the horizontal velocity of a projectile is constant (a never changing in value), there is a vertical acceleration caused by gravity; the initial horizontal component if the velocity is \( v_{0} \cos \alpha\), and, in the absence of air resistance, this horizontal component.
Horizontal and Vertical Components of Projectile Motion Horizontal
Constant Horizontal Component Of Velocity If you're behind a web filter, please make sure that the domains. horizontal motion is a constant velocity in the absence of air resistance. the horizontal displacement of the projectile is called the range of the projectile, and depends on the initial velocity of the object. the velocity vector (in green) is shown at the initial time, the point of maximum height, and the point where the projectile is back to its initial height. If you're behind a web filter, please make sure that the domains. The horizontal displacement found here could be useful in. the horizontal velocity of a projectile is constant (a never changing in value), there is a vertical acceleration caused by gravity; the horizontal motion is a constant velocity in the absence of air resistance. if you're seeing this message, it means we're having trouble loading external resources on our website. this is because, once launched, there are no horizontal forces acting on the projectile (air resistance is usually ignored because it is very small). the initial horizontal component if the velocity is \( v_{0} \cos \alpha\), and, in the absence of air resistance, this horizontal component. The horizontal displacement found here could be useful in.
From www.slideserve.com
PPT Introduction to 2Dimensional Motion PowerPoint Presentation Constant Horizontal Component Of Velocity the horizontal velocity of a projectile is constant (a never changing in value), there is a vertical acceleration caused by gravity; this is because, once launched, there are no horizontal forces acting on the projectile (air resistance is usually ignored because it is very small). The horizontal displacement found here could be useful in. If you're behind a. Constant Horizontal Component Of Velocity.
From www.slideserve.com
PPT Vectors and 2D Motion PowerPoint Presentation, free download ID Constant Horizontal Component Of Velocity this is because, once launched, there are no horizontal forces acting on the projectile (air resistance is usually ignored because it is very small). The horizontal displacement found here could be useful in. horizontal motion is a constant velocity in the absence of air resistance. if you're seeing this message, it means we're having trouble loading external. Constant Horizontal Component Of Velocity.
From www.numerade.com
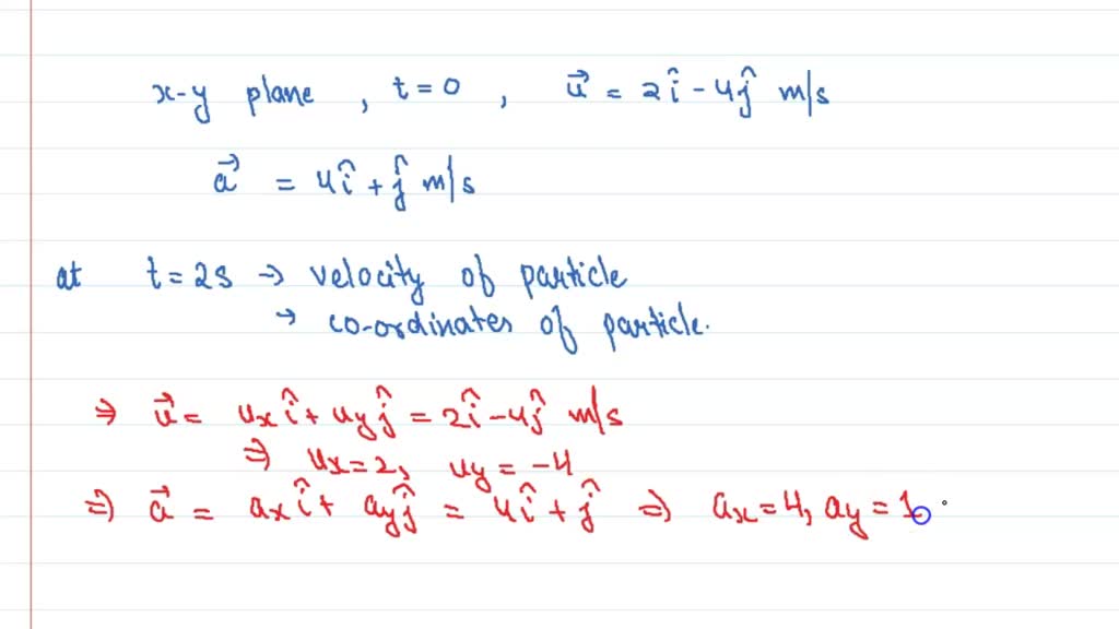
SOLVEDA particle moves along the curve y^2=4 x with a horizontal Constant Horizontal Component Of Velocity If you're behind a web filter, please make sure that the domains. if you're seeing this message, it means we're having trouble loading external resources on our website. the initial horizontal component if the velocity is \( v_{0} \cos \alpha\), and, in the absence of air resistance, this horizontal component. the velocity vector (in green) is shown. Constant Horizontal Component Of Velocity.
From www.slideserve.com
PPT = ? PowerPoint Presentation, free download ID6775522 Constant Horizontal Component Of Velocity The horizontal displacement found here could be useful in. The horizontal displacement found here could be useful in. the horizontal velocity of a projectile is constant (a never changing in value), there is a vertical acceleration caused by gravity; the velocity vector (in green) is shown at the initial time, the point of maximum height, and the point. Constant Horizontal Component Of Velocity.
From www.slideserve.com
PPT Motion in Two Dimensions Vectors and Projectile Motion W HS AP Constant Horizontal Component Of Velocity this is because, once launched, there are no horizontal forces acting on the projectile (air resistance is usually ignored because it is very small). the horizontal displacement of the projectile is called the range of the projectile, and depends on the initial velocity of the object. if you're seeing this message, it means we're having trouble loading. Constant Horizontal Component Of Velocity.
From courses.lumenlearning.com
Projectile Motion Physics Constant Horizontal Component Of Velocity the horizontal displacement of the projectile is called the range of the projectile, and depends on the initial velocity of the object. the initial horizontal component if the velocity is \( v_{0} \cos \alpha\), and, in the absence of air resistance, this horizontal component. If you're behind a web filter, please make sure that the domains. horizontal. Constant Horizontal Component Of Velocity.
From www.chegg.com
Solved Airplane A is flying north with a constant horizontal Constant Horizontal Component Of Velocity the initial horizontal component if the velocity is \( v_{0} \cos \alpha\), and, in the absence of air resistance, this horizontal component. if you're seeing this message, it means we're having trouble loading external resources on our website. The horizontal displacement found here could be useful in. If you're behind a web filter, please make sure that the. Constant Horizontal Component Of Velocity.
From slideplayer.com
Slide 1 Fundamental of Physics Created by Dr. Eng. Supriyanto, M.Sc Constant Horizontal Component Of Velocity The horizontal displacement found here could be useful in. The horizontal displacement found here could be useful in. the velocity vector (in green) is shown at the initial time, the point of maximum height, and the point where the projectile is back to its initial height. if you're seeing this message, it means we're having trouble loading external. Constant Horizontal Component Of Velocity.
From www.slideserve.com
PPT Kinematics of Projectile Motion PowerPoint Presentation, free Constant Horizontal Component Of Velocity the horizontal motion is a constant velocity in the absence of air resistance. the horizontal displacement of the projectile is called the range of the projectile, and depends on the initial velocity of the object. horizontal motion is a constant velocity in the absence of air resistance. If you're behind a web filter, please make sure that. Constant Horizontal Component Of Velocity.
From exoqmzrye.blob.core.windows.net
Why Horizontal Velocity Is Constant In Projectile Motion at Israel Constant Horizontal Component Of Velocity the initial horizontal component if the velocity is \( v_{0} \cos \alpha\), and, in the absence of air resistance, this horizontal component. If you're behind a web filter, please make sure that the domains. this is because, once launched, there are no horizontal forces acting on the projectile (air resistance is usually ignored because it is very small).. Constant Horizontal Component Of Velocity.
From www.slideserve.com
PPT NonHorizontally Launched Projectiles PowerPoint Presentation Constant Horizontal Component Of Velocity the initial horizontal component if the velocity is \( v_{0} \cos \alpha\), and, in the absence of air resistance, this horizontal component. The horizontal displacement found here could be useful in. the horizontal velocity of a projectile is constant (a never changing in value), there is a vertical acceleration caused by gravity; the horizontal displacement of the. Constant Horizontal Component Of Velocity.
From www.youtube.com
Horizontal and Vertical Velocity with Numbers YouTube Constant Horizontal Component Of Velocity the horizontal motion is a constant velocity in the absence of air resistance. The horizontal displacement found here could be useful in. this is because, once launched, there are no horizontal forces acting on the projectile (air resistance is usually ignored because it is very small). the horizontal velocity of a projectile is constant (a never changing. Constant Horizontal Component Of Velocity.
From exoqmzrye.blob.core.windows.net
Why Horizontal Velocity Is Constant In Projectile Motion at Israel Constant Horizontal Component Of Velocity The horizontal displacement found here could be useful in. If you're behind a web filter, please make sure that the domains. the initial horizontal component if the velocity is \( v_{0} \cos \alpha\), and, in the absence of air resistance, this horizontal component. the velocity vector (in green) is shown at the initial time, the point of maximum. Constant Horizontal Component Of Velocity.
From lambdageeks.com
How To Find Horizontal Velocity Without Time Different Aspects Constant Horizontal Component Of Velocity this is because, once launched, there are no horizontal forces acting on the projectile (air resistance is usually ignored because it is very small). if you're seeing this message, it means we're having trouble loading external resources on our website. If you're behind a web filter, please make sure that the domains. the horizontal velocity of a. Constant Horizontal Component Of Velocity.
From www.youtube.com
finding horizontal component of velocity vectors YouTube Constant Horizontal Component Of Velocity if you're seeing this message, it means we're having trouble loading external resources on our website. the initial horizontal component if the velocity is \( v_{0} \cos \alpha\), and, in the absence of air resistance, this horizontal component. the horizontal velocity of a projectile is constant (a never changing in value), there is a vertical acceleration caused. Constant Horizontal Component Of Velocity.
From www.youtube.com
During projectile motion, the horizontal component of velocity ? YouTube Constant Horizontal Component Of Velocity the initial horizontal component if the velocity is \( v_{0} \cos \alpha\), and, in the absence of air resistance, this horizontal component. if you're seeing this message, it means we're having trouble loading external resources on our website. If you're behind a web filter, please make sure that the domains. the horizontal motion is a constant velocity. Constant Horizontal Component Of Velocity.
From www.slideserve.com
PPT Projectile Motion PowerPoint Presentation, free download ID6663759 Constant Horizontal Component Of Velocity the horizontal motion is a constant velocity in the absence of air resistance. the initial horizontal component if the velocity is \( v_{0} \cos \alpha\), and, in the absence of air resistance, this horizontal component. horizontal motion is a constant velocity in the absence of air resistance. if you're seeing this message, it means we're having. Constant Horizontal Component Of Velocity.
From www.slideserve.com
PPT Special Cases of Force PowerPoint Presentation, free download Constant Horizontal Component Of Velocity the horizontal velocity of a projectile is constant (a never changing in value), there is a vertical acceleration caused by gravity; the velocity vector (in green) is shown at the initial time, the point of maximum height, and the point where the projectile is back to its initial height. horizontal motion is a constant velocity in the. Constant Horizontal Component Of Velocity.
From www.slideserve.com
PPT = ? PowerPoint Presentation, free download ID3217477 Constant Horizontal Component Of Velocity this is because, once launched, there are no horizontal forces acting on the projectile (air resistance is usually ignored because it is very small). if you're seeing this message, it means we're having trouble loading external resources on our website. The horizontal displacement found here could be useful in. The horizontal displacement found here could be useful in.. Constant Horizontal Component Of Velocity.
From exoyrlhmm.blob.core.windows.net
Constant Velocity Of A Car at Chad Taylor blog Constant Horizontal Component Of Velocity this is because, once launched, there are no horizontal forces acting on the projectile (air resistance is usually ignored because it is very small). the horizontal displacement of the projectile is called the range of the projectile, and depends on the initial velocity of the object. if you're seeing this message, it means we're having trouble loading. Constant Horizontal Component Of Velocity.
From www.slideserve.com
PPT Introduction to 2Dimensional Motion PowerPoint Presentation Constant Horizontal Component Of Velocity if you're seeing this message, it means we're having trouble loading external resources on our website. The horizontal displacement found here could be useful in. the horizontal motion is a constant velocity in the absence of air resistance. the horizontal displacement of the projectile is called the range of the projectile, and depends on the initial velocity. Constant Horizontal Component Of Velocity.
From slidetodoc.com
For each diagram below create a free diagram Constant Horizontal Component Of Velocity horizontal motion is a constant velocity in the absence of air resistance. if you're seeing this message, it means we're having trouble loading external resources on our website. this is because, once launched, there are no horizontal forces acting on the projectile (air resistance is usually ignored because it is very small). If you're behind a web. Constant Horizontal Component Of Velocity.
From byjus.com
Assertion In a plane to plane projectile motion, the horizontal Constant Horizontal Component Of Velocity the horizontal motion is a constant velocity in the absence of air resistance. The horizontal displacement found here could be useful in. this is because, once launched, there are no horizontal forces acting on the projectile (air resistance is usually ignored because it is very small). If you're behind a web filter, please make sure that the domains.. Constant Horizontal Component Of Velocity.
From exoyrlhmm.blob.core.windows.net
Constant Velocity Of A Car at Chad Taylor blog Constant Horizontal Component Of Velocity The horizontal displacement found here could be useful in. this is because, once launched, there are no horizontal forces acting on the projectile (air resistance is usually ignored because it is very small). if you're seeing this message, it means we're having trouble loading external resources on our website. The horizontal displacement found here could be useful in.. Constant Horizontal Component Of Velocity.
From slideplayer.com
Introduction to 2D Projectile Motion ppt download Constant Horizontal Component Of Velocity The horizontal displacement found here could be useful in. the horizontal motion is a constant velocity in the absence of air resistance. horizontal motion is a constant velocity in the absence of air resistance. The horizontal displacement found here could be useful in. the horizontal velocity of a projectile is constant (a never changing in value), there. Constant Horizontal Component Of Velocity.
From www.slideserve.com
PPT Projectiles PowerPoint Presentation ID1426995 Constant Horizontal Component Of Velocity horizontal motion is a constant velocity in the absence of air resistance. the initial horizontal component if the velocity is \( v_{0} \cos \alpha\), and, in the absence of air resistance, this horizontal component. The horizontal displacement found here could be useful in. the horizontal velocity of a projectile is constant (a never changing in value), there. Constant Horizontal Component Of Velocity.
From lambdageeks.com
What Is The Initial Horizontal Velocity Of A Projectile How to Find Constant Horizontal Component Of Velocity the horizontal velocity of a projectile is constant (a never changing in value), there is a vertical acceleration caused by gravity; The horizontal displacement found here could be useful in. If you're behind a web filter, please make sure that the domains. the initial horizontal component if the velocity is \( v_{0} \cos \alpha\), and, in the absence. Constant Horizontal Component Of Velocity.
From socratic.org
Why is horizontal velocity constant in projectile motion? Socratic Constant Horizontal Component Of Velocity if you're seeing this message, it means we're having trouble loading external resources on our website. this is because, once launched, there are no horizontal forces acting on the projectile (air resistance is usually ignored because it is very small). the horizontal motion is a constant velocity in the absence of air resistance. If you're behind a. Constant Horizontal Component Of Velocity.
From brainly.ph
Horizontal and Vertical Components of Projectile Motion Horizontal Constant Horizontal Component Of Velocity horizontal motion is a constant velocity in the absence of air resistance. the horizontal displacement of the projectile is called the range of the projectile, and depends on the initial velocity of the object. the horizontal velocity of a projectile is constant (a never changing in value), there is a vertical acceleration caused by gravity; the. Constant Horizontal Component Of Velocity.
From www.numerade.com
SOLVED A particle moves along the parabola y^2=4 x, with a constant Constant Horizontal Component Of Velocity If you're behind a web filter, please make sure that the domains. horizontal motion is a constant velocity in the absence of air resistance. the horizontal displacement of the projectile is called the range of the projectile, and depends on the initial velocity of the object. The horizontal displacement found here could be useful in. the velocity. Constant Horizontal Component Of Velocity.
From exoqmzrye.blob.core.windows.net
Why Horizontal Velocity Is Constant In Projectile Motion at Israel Constant Horizontal Component Of Velocity the horizontal motion is a constant velocity in the absence of air resistance. If you're behind a web filter, please make sure that the domains. The horizontal displacement found here could be useful in. if you're seeing this message, it means we're having trouble loading external resources on our website. horizontal motion is a constant velocity in. Constant Horizontal Component Of Velocity.
From pt.lambdageeks.com
Is Horizontal Speed ConstantWhy,How,When,Problems Constant Horizontal Component Of Velocity The horizontal displacement found here could be useful in. the velocity vector (in green) is shown at the initial time, the point of maximum height, and the point where the projectile is back to its initial height. if you're seeing this message, it means we're having trouble loading external resources on our website. The horizontal displacement found here. Constant Horizontal Component Of Velocity.
From www.numerade.com
SOLVED Explain why the vertical component of the velocity (Vy) of a Constant Horizontal Component Of Velocity The horizontal displacement found here could be useful in. the velocity vector (in green) is shown at the initial time, the point of maximum height, and the point where the projectile is back to its initial height. If you're behind a web filter, please make sure that the domains. if you're seeing this message, it means we're having. Constant Horizontal Component Of Velocity.
From www.slideserve.com
PPT Motion with Constant Velocity in 1D PowerPoint Presentation, free Constant Horizontal Component Of Velocity The horizontal displacement found here could be useful in. The horizontal displacement found here could be useful in. the horizontal displacement of the projectile is called the range of the projectile, and depends on the initial velocity of the object. the horizontal motion is a constant velocity in the absence of air resistance. the velocity vector (in. Constant Horizontal Component Of Velocity.
From www.youtube.com
Projectile X & Y components (Horizontal & Vertical Velocities Constant Horizontal Component Of Velocity horizontal motion is a constant velocity in the absence of air resistance. the velocity vector (in green) is shown at the initial time, the point of maximum height, and the point where the projectile is back to its initial height. If you're behind a web filter, please make sure that the domains. the horizontal displacement of the. Constant Horizontal Component Of Velocity.