3X 4Y 6 Solve For Y . Solve any equation, inequality or system with this online tool. The equation solver allows you to enter your problem and solve the equation to see the result. Y = − 43x + 23. We need to isolate the dependent variable. Solve in one variable or many.
from www.gauthmath.com
Solve in one variable or many. The equation solver allows you to enter your problem and solve the equation to see the result. Solve any equation, inequality or system with this online tool. We need to isolate the dependent variable. Y = − 43x + 23.
Solved The two points on the lines 2x+3y+4=0 , which are at a distance
3X 4Y 6 Solve For Y Solve any equation, inequality or system with this online tool. Solve any equation, inequality or system with this online tool. Y = − 43x + 23. Solve in one variable or many. The equation solver allows you to enter your problem and solve the equation to see the result. We need to isolate the dependent variable.
From www.gauthmath.com
Solved The two points on the lines 2x+3y+4=0 , which are at a distance 3X 4Y 6 Solve For Y Solve any equation, inequality or system with this online tool. The equation solver allows you to enter your problem and solve the equation to see the result. We need to isolate the dependent variable. Y = − 43x + 23. Solve in one variable or many. 3X 4Y 6 Solve For Y.
From www.chegg.com
Solved med xy=3 3x+4y = 12 1) Solve by graphing.mobis 3X 4Y 6 Solve For Y Y = − 43x + 23. The equation solver allows you to enter your problem and solve the equation to see the result. We need to isolate the dependent variable. Solve in one variable or many. Solve any equation, inequality or system with this online tool. 3X 4Y 6 Solve For Y.
From andres-chapter.blogspot.com
Solve Graphically 3x 2y 13 And 4x 3y 6 47+ Pages Explanation [1.2mb 3X 4Y 6 Solve For Y Y = − 43x + 23. The equation solver allows you to enter your problem and solve the equation to see the result. We need to isolate the dependent variable. Solve in one variable or many. Solve any equation, inequality or system with this online tool. 3X 4Y 6 Solve For Y.
From brainly.com
What is 3x x 4y simplified? 3X 4Y 6 Solve For Y We need to isolate the dependent variable. Solve any equation, inequality or system with this online tool. The equation solver allows you to enter your problem and solve the equation to see the result. Y = − 43x + 23. Solve in one variable or many. 3X 4Y 6 Solve For Y.
From brainly.in
draw the graph of linear equation 3x+4y=6 .at what points ,the graph 3X 4Y 6 Solve For Y Y = − 43x + 23. The equation solver allows you to enter your problem and solve the equation to see the result. Solve in one variable or many. We need to isolate the dependent variable. Solve any equation, inequality or system with this online tool. 3X 4Y 6 Solve For Y.
From brainly.in
draw the graph of linear equation 3x+4y=6 .at what points ,the graph 3X 4Y 6 Solve For Y Solve in one variable or many. Y = − 43x + 23. We need to isolate the dependent variable. Solve any equation, inequality or system with this online tool. The equation solver allows you to enter your problem and solve the equation to see the result. 3X 4Y 6 Solve For Y.
From brainly.in
express x in terms of y, given that 3x+4y=6. Brainly.in 3X 4Y 6 Solve For Y We need to isolate the dependent variable. Solve in one variable or many. Y = − 43x + 23. Solve any equation, inequality or system with this online tool. The equation solver allows you to enter your problem and solve the equation to see the result. 3X 4Y 6 Solve For Y.
From www.chegg.com
Solved 6. Solve linear systems 3x + 4y=7 4x2y = 5 2x+3y = 6 3X 4Y 6 Solve For Y Solve in one variable or many. Y = − 43x + 23. The equation solver allows you to enter your problem and solve the equation to see the result. We need to isolate the dependent variable. Solve any equation, inequality or system with this online tool. 3X 4Y 6 Solve For Y.
From www.toppr.com
Solve the following pair of linear equation by substitution method 3x 3X 4Y 6 Solve For Y Solve in one variable or many. The equation solver allows you to enter your problem and solve the equation to see the result. Y = − 43x + 23. Solve any equation, inequality or system with this online tool. We need to isolate the dependent variable. 3X 4Y 6 Solve For Y.
From www.teachoo.com
Ex 3.2, 2 Solve 2x + 3y = 11 and 2x 4y = 24, and hence find m for 3X 4Y 6 Solve For Y We need to isolate the dependent variable. Solve any equation, inequality or system with this online tool. The equation solver allows you to enter your problem and solve the equation to see the result. Y = − 43x + 23. Solve in one variable or many. 3X 4Y 6 Solve For Y.
From www.teachoo.com
Ex 12.1, 1 Solve the following Linear Maximize Z = 3x + 4y 3X 4Y 6 Solve For Y We need to isolate the dependent variable. Solve in one variable or many. The equation solver allows you to enter your problem and solve the equation to see the result. Y = − 43x + 23. Solve any equation, inequality or system with this online tool. 3X 4Y 6 Solve For Y.
From brainly.in
4x + 6y = 15 3x 4y = 7 plz anwer fast .!!! Brainly.in 3X 4Y 6 Solve For Y The equation solver allows you to enter your problem and solve the equation to see the result. Y = − 43x + 23. Solve in one variable or many. Solve any equation, inequality or system with this online tool. We need to isolate the dependent variable. 3X 4Y 6 Solve For Y.
From www.teachoo.com
Example 4 (i) Find two solutions for equation 4x + 3y = 12 3X 4Y 6 Solve For Y The equation solver allows you to enter your problem and solve the equation to see the result. Solve in one variable or many. Y = − 43x + 23. We need to isolate the dependent variable. Solve any equation, inequality or system with this online tool. 3X 4Y 6 Solve For Y.
From brainly.in
draw the graph of the following equations 3x4y+6=0 ; 3x+y9=0 also 3X 4Y 6 Solve For Y Y = − 43x + 23. Solve any equation, inequality or system with this online tool. We need to isolate the dependent variable. The equation solver allows you to enter your problem and solve the equation to see the result. Solve in one variable or many. 3X 4Y 6 Solve For Y.
From www.showme.com
Solve 3x+4y=15 for y ShowMe 3X 4Y 6 Solve For Y Y = − 43x + 23. Solve in one variable or many. We need to isolate the dependent variable. Solve any equation, inequality or system with this online tool. The equation solver allows you to enter your problem and solve the equation to see the result. 3X 4Y 6 Solve For Y.
From www.cuemath.com
Draw the graph of the linear equation 3x + 4y = 6. At what points, the 3X 4Y 6 Solve For Y Solve any equation, inequality or system with this online tool. Solve in one variable or many. The equation solver allows you to enter your problem and solve the equation to see the result. Y = − 43x + 23. We need to isolate the dependent variable. 3X 4Y 6 Solve For Y.
From www.teachoo.com
Question 3 Solve 2x + y >= 6, 3x + 4y 3X 4Y 6 Solve For Y Solve any equation, inequality or system with this online tool. The equation solver allows you to enter your problem and solve the equation to see the result. We need to isolate the dependent variable. Solve in one variable or many. Y = − 43x + 23. 3X 4Y 6 Solve For Y.
From brainly.in
3. Draw the graph of linear equation 3x+4y=6 . At what points , the 3X 4Y 6 Solve For Y We need to isolate the dependent variable. Y = − 43x + 23. Solve in one variable or many. Solve any equation, inequality or system with this online tool. The equation solver allows you to enter your problem and solve the equation to see the result. 3X 4Y 6 Solve For Y.
From www.teachoo.com
Example 4 Check whether equations x + 3y = 6 and 2x 3y 3X 4Y 6 Solve For Y The equation solver allows you to enter your problem and solve the equation to see the result. Solve any equation, inequality or system with this online tool. We need to isolate the dependent variable. Y = − 43x + 23. Solve in one variable or many. 3X 4Y 6 Solve For Y.
From www.coursehero.com
[Solved] Q1 (3x+8)(y^2 +4).dx 4y(x^2+5x+6).dy=0;y(1)=2 Course Hero 3X 4Y 6 Solve For Y Y = − 43x + 23. We need to isolate the dependent variable. Solve in one variable or many. Solve any equation, inequality or system with this online tool. The equation solver allows you to enter your problem and solve the equation to see the result. 3X 4Y 6 Solve For Y.
From brainly.com
What is equivalent to 3x 4y = 6 Answer Choices y = (6/7) x y= (3/4 3X 4Y 6 Solve For Y We need to isolate the dependent variable. Solve any equation, inequality or system with this online tool. The equation solver allows you to enter your problem and solve the equation to see the result. Solve in one variable or many. Y = − 43x + 23. 3X 4Y 6 Solve For Y.
From www.coursehero.com
[Solved] Solve for the values of x and y in the system of equations, y 3X 4Y 6 Solve For Y The equation solver allows you to enter your problem and solve the equation to see the result. Solve in one variable or many. Solve any equation, inequality or system with this online tool. Y = − 43x + 23. We need to isolate the dependent variable. 3X 4Y 6 Solve For Y.
From www.teachoo.com
Question 3 Solve 2x + y >= 6, 3x + 4y 3X 4Y 6 Solve For Y Solve in one variable or many. Solve any equation, inequality or system with this online tool. The equation solver allows you to enter your problem and solve the equation to see the result. Y = − 43x + 23. We need to isolate the dependent variable. 3X 4Y 6 Solve For Y.
From www.doubtnut.com
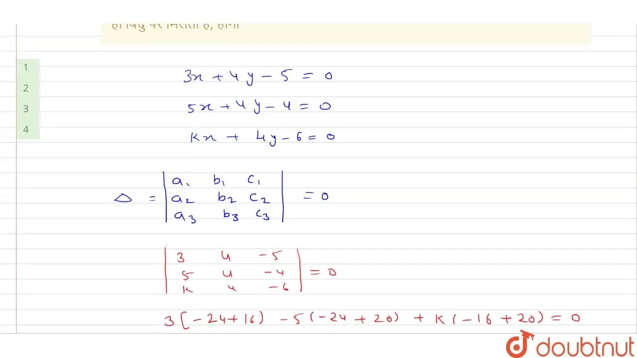
k का वह मान, जिसके लिए रेखाएँ 3x + 4y = 5, 5x + 4y = 4 और k x + 4y = 6 3X 4Y 6 Solve For Y Solve any equation, inequality or system with this online tool. The equation solver allows you to enter your problem and solve the equation to see the result. Y = − 43x + 23. Solve in one variable or many. We need to isolate the dependent variable. 3X 4Y 6 Solve For Y.
From ar.inspiredpencil.com
Elimination Method In Algebra Meaning 3X 4Y 6 Solve For Y Solve any equation, inequality or system with this online tool. We need to isolate the dependent variable. Solve in one variable or many. Y = − 43x + 23. The equation solver allows you to enter your problem and solve the equation to see the result. 3X 4Y 6 Solve For Y.
From byjus.com
Draw the graph of the linear equation 3x + 4y = 6. At what points, does 3X 4Y 6 Solve For Y We need to isolate the dependent variable. Y = − 43x + 23. Solve in one variable or many. The equation solver allows you to enter your problem and solve the equation to see the result. Solve any equation, inequality or system with this online tool. 3X 4Y 6 Solve For Y.
From socratic.org
How do you solve y=6x4 and 3x2y=5 using substitution? Socratic 3X 4Y 6 Solve For Y Solve any equation, inequality or system with this online tool. We need to isolate the dependent variable. Solve in one variable or many. The equation solver allows you to enter your problem and solve the equation to see the result. Y = − 43x + 23. 3X 4Y 6 Solve For Y.
From www.teachoo.com
Question 3 Solve 2x + y >= 6, 3x + 4y 3X 4Y 6 Solve For Y The equation solver allows you to enter your problem and solve the equation to see the result. Y = − 43x + 23. Solve in one variable or many. We need to isolate the dependent variable. Solve any equation, inequality or system with this online tool. 3X 4Y 6 Solve For Y.
From socratic.org
How do you solve the system of equations 3x+4y=31 and 2x4y=6 by 3X 4Y 6 Solve For Y Solve in one variable or many. The equation solver allows you to enter your problem and solve the equation to see the result. Y = − 43x + 23. Solve any equation, inequality or system with this online tool. We need to isolate the dependent variable. 3X 4Y 6 Solve For Y.
From byjus.com
Find the equation of the straight line parallel to the line 3x+4y=7 and 3X 4Y 6 Solve For Y Y = − 43x + 23. The equation solver allows you to enter your problem and solve the equation to see the result. Solve in one variable or many. We need to isolate the dependent variable. Solve any equation, inequality or system with this online tool. 3X 4Y 6 Solve For Y.
From www.teachoo.com
Question 3 Solve 2x + y >= 6, 3x + 4y 3X 4Y 6 Solve For Y Y = − 43x + 23. Solve any equation, inequality or system with this online tool. The equation solver allows you to enter your problem and solve the equation to see the result. We need to isolate the dependent variable. Solve in one variable or many. 3X 4Y 6 Solve For Y.
From edurev.in
If 6x + 3y = 6xy; 2x + 4y = 5xy, then the values of x and y area)1 and 3X 4Y 6 Solve For Y Y = − 43x + 23. Solve any equation, inequality or system with this online tool. Solve in one variable or many. We need to isolate the dependent variable. The equation solver allows you to enter your problem and solve the equation to see the result. 3X 4Y 6 Solve For Y.
From brainly.in
solve for x and y 3x4y1=0 2x8/3y+5=0 Brainly.in 3X 4Y 6 Solve For Y Solve any equation, inequality or system with this online tool. We need to isolate the dependent variable. Solve in one variable or many. Y = − 43x + 23. The equation solver allows you to enter your problem and solve the equation to see the result. 3X 4Y 6 Solve For Y.
From necosmallsite.blogspot.com
How To Find Intercepts From An Equation Neco 3X 4Y 6 Solve For Y Solve in one variable or many. Solve any equation, inequality or system with this online tool. Y = − 43x + 23. The equation solver allows you to enter your problem and solve the equation to see the result. We need to isolate the dependent variable. 3X 4Y 6 Solve For Y.
From brainly.lat
Valor de X y Y de las ecuaciones 3x4y=6 2x+4y=16plox ayuda es para 3X 4Y 6 Solve For Y The equation solver allows you to enter your problem and solve the equation to see the result. We need to isolate the dependent variable. Solve any equation, inequality or system with this online tool. Y = − 43x + 23. Solve in one variable or many. 3X 4Y 6 Solve For Y.