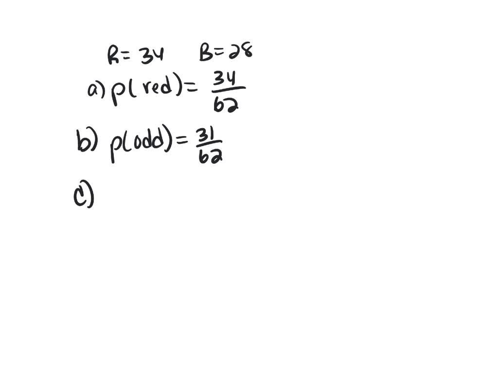
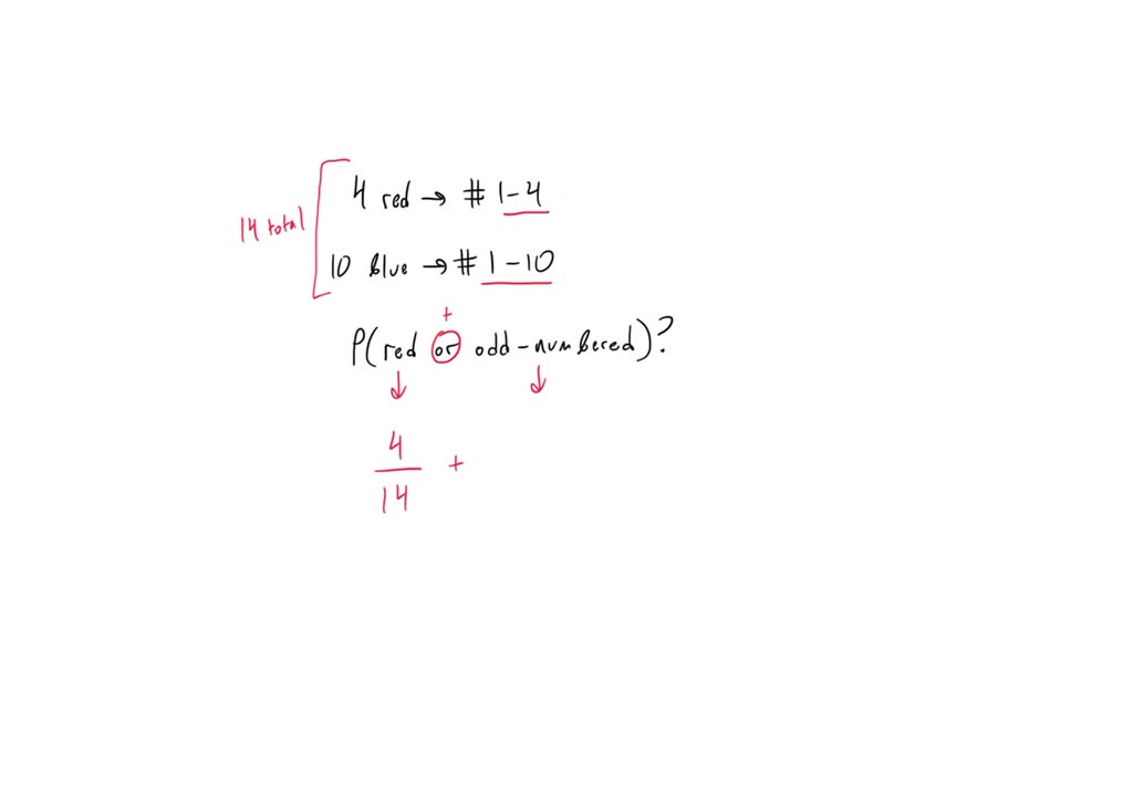
The Marble Is Red Or Odd Numbered . Find the probability of the given event. A jar contains 34 red marbles numbered 1 to 34 and 28 blue marbles numbered 1 to 28. A marble is drawn at. A jar contains 10 red marbles numbered 1 to 10 and 10 blue marbles numbered 1 to 10. (a) probability that the marble is red: A jar contains 6 red marbles numbered 1 to 6 and 12 blue marbles numbered 1 to 12. A marble is drawn at random from the jar. A marble is drawn at random from the jar. A jar contains 4 red marbles numbered 1 to 4 and 10 blue marbles numbered. A marble is drawn at random from the jar. A marble is drawn at random from the jar. Total number of marbles, n (u) = 10 red + 4 blue = 14 n(u)= 10red+4blue =14. Probability of a red or odd numbered marble. A jar contains 8 red marbles numbered 1 to 8 and 6 blue marbles numbered 1 to 6. A jar contains 10 red marbles numbered 1 to 10 and 6 blue marbles numbered 1 to 6.
from www.coursehero.com
Total number of marbles, n (u) = 10 red + 4 blue = 14 n(u)= 10red+4blue =14. A jar contains 34 red marbles numbered 1 to 34 and 28 blue marbles numbered 1 to 28. A marble is drawn at random from the jar. A jar contains 6 red marbles numbered 1 to 6 and 12 blue marbles numbered 1 to 12. Probability of a red or odd numbered marble. Find the probability of the given event. A marble is drawn at random from the jar. (a) probability that the marble is red: A jar contains 10 red marbles numbered 1 to 10 and 6 blue marbles numbered 1 to 6. A marble is drawn at random from the jar.
[Solved] A jar contains 12 red marbles numbered 1 to 12 and 8 blue
The Marble Is Red Or Odd Numbered A marble is drawn at random from the jar. A marble is drawn at random from the jar. A jar contains 6 red marbles numbered 1 to 6 and 12 blue marbles numbered 1 to 12. A marble is drawn at. Total number of marbles, n (u) = 10 red + 4 blue = 14 n(u)= 10red+4blue =14. (a) probability that the marble is red: Find the probability of the given event. A marble is drawn at random from the jar. A marble is drawn at random from the jar. Probability of a red or odd numbered marble. A jar contains 4 red marbles numbered 1 to 4 and 10 blue marbles numbered. A marble is drawn at random from the jar. A jar contains 10 red marbles numbered 1 to 10 and 6 blue marbles numbered 1 to 6. A jar contains 10 red marbles numbered 1 to 10 and 10 blue marbles numbered 1 to 10. A jar contains 8 red marbles numbered 1 to 8 and 6 blue marbles numbered 1 to 6. A jar contains 34 red marbles numbered 1 to 34 and 28 blue marbles numbered 1 to 28.
From www.numerade.com
SOLVED point) A jar contains 2 red marbles numbered 1 to 2 and 10 blue The Marble Is Red Or Odd Numbered A jar contains 8 red marbles numbered 1 to 8 and 6 blue marbles numbered 1 to 6. (a) probability that the marble is red: A jar contains 10 red marbles numbered 1 to 10 and 10 blue marbles numbered 1 to 10. A jar contains 34 red marbles numbered 1 to 34 and 28 blue marbles numbered 1 to. The Marble Is Red Or Odd Numbered.
From www.numerade.com
SOLVED (a) The marble is red. P(red) = (b) The marble is oddnumbered The Marble Is Red Or Odd Numbered A marble is drawn at random from the jar. A jar contains 8 red marbles numbered 1 to 8 and 6 blue marbles numbered 1 to 6. A jar contains 10 red marbles numbered 1 to 10 and 6 blue marbles numbered 1 to 6. A jar contains 10 red marbles numbered 1 to 10 and 10 blue marbles numbered. The Marble Is Red Or Odd Numbered.
From kunduz.com
[ANSWERED] A jar contains 12 red marbles numbered 1 to 12 and 10 blue The Marble Is Red Or Odd Numbered (a) probability that the marble is red: A marble is drawn at random from the jar. Probability of a red or odd numbered marble. A jar contains 6 red marbles numbered 1 to 6 and 12 blue marbles numbered 1 to 12. A jar contains 8 red marbles numbered 1 to 8 and 6 blue marbles numbered 1 to 6.. The Marble Is Red Or Odd Numbered.
From www.chegg.com
Solved A jar contains 10 red marbles numbered 1 to 10 and 6 The Marble Is Red Or Odd Numbered A marble is drawn at random from the jar. A marble is drawn at random from the jar. A jar contains 4 red marbles numbered 1 to 4 and 10 blue marbles numbered. A jar contains 6 red marbles numbered 1 to 6 and 12 blue marbles numbered 1 to 12. Probability of a red or odd numbered marble. Find. The Marble Is Red Or Odd Numbered.
From www.coursehero.com
[Solved] Question 4 A jar contains 8 red marbles numbered 1 to 8 and 12 The Marble Is Red Or Odd Numbered Probability of a red or odd numbered marble. A marble is drawn at. A jar contains 10 red marbles numbered 1 to 10 and 6 blue marbles numbered 1 to 6. A jar contains 4 red marbles numbered 1 to 4 and 10 blue marbles numbered. (a) probability that the marble is red: A marble is drawn at random from. The Marble Is Red Or Odd Numbered.
From www.numerade.com
SOLVED A jar contains 34 red marbles numbered from 1 to 34 and 34 blue The Marble Is Red Or Odd Numbered Total number of marbles, n (u) = 10 red + 4 blue = 14 n(u)= 10red+4blue =14. Probability of a red or odd numbered marble. A marble is drawn at random from the jar. A jar contains 4 red marbles numbered 1 to 4 and 10 blue marbles numbered. A marble is drawn at random from the jar. A marble. The Marble Is Red Or Odd Numbered.
From www.chegg.com
Solved A jar contains 12 red marbles numbered 1 to 12 and 8 The Marble Is Red Or Odd Numbered Find the probability of the given event. A marble is drawn at. A jar contains 6 red marbles numbered 1 to 6 and 12 blue marbles numbered 1 to 12. A marble is drawn at random from the jar. Total number of marbles, n (u) = 10 red + 4 blue = 14 n(u)= 10red+4blue =14. Probability of a red. The Marble Is Red Or Odd Numbered.
From www.bartleby.com
Answered A jar contains 8 red marbles numbered 1… bartleby The Marble Is Red Or Odd Numbered A marble is drawn at random from the jar. Total number of marbles, n (u) = 10 red + 4 blue = 14 n(u)= 10red+4blue =14. A jar contains 10 red marbles numbered 1 to 10 and 6 blue marbles numbered 1 to 6. A marble is drawn at random from the jar. A jar contains 4 red marbles numbered. The Marble Is Red Or Odd Numbered.
From www.numerade.com
SOLVED A jar contains 6 red marbles numbered 1 to 6 and 12 blue The Marble Is Red Or Odd Numbered A jar contains 10 red marbles numbered 1 to 10 and 6 blue marbles numbered 1 to 6. Find the probability of the given event. A jar contains 10 red marbles numbered 1 to 10 and 10 blue marbles numbered 1 to 10. A marble is drawn at random from the jar. A marble is drawn at random from the. The Marble Is Red Or Odd Numbered.
From www.coursehero.com
[Solved] A jar contains 10 red marbles numbered 1 to 10 and 8 blue The Marble Is Red Or Odd Numbered A jar contains 10 red marbles numbered 1 to 10 and 10 blue marbles numbered 1 to 10. A marble is drawn at random from the jar. Probability of a red or odd numbered marble. A marble is drawn at random from the jar. A jar contains 8 red marbles numbered 1 to 8 and 6 blue marbles numbered 1. The Marble Is Red Or Odd Numbered.
From www.chegg.com
Solved A jar contains 22 red marbles numbered 1 to 22 and 42 The Marble Is Red Or Odd Numbered A jar contains 34 red marbles numbered 1 to 34 and 28 blue marbles numbered 1 to 28. Total number of marbles, n (u) = 10 red + 4 blue = 14 n(u)= 10red+4blue =14. A jar contains 10 red marbles numbered 1 to 10 and 6 blue marbles numbered 1 to 6. A jar contains 4 red marbles numbered. The Marble Is Red Or Odd Numbered.
From www.numerade.com
SOLVED Ajar contains 8 red marbles numbered 1 to 8 and 10 blue marbles The Marble Is Red Or Odd Numbered Probability of a red or odd numbered marble. A marble is drawn at random from the jar. Find the probability of the given event. A jar contains 8 red marbles numbered 1 to 8 and 6 blue marbles numbered 1 to 6. A jar contains 34 red marbles numbered 1 to 34 and 28 blue marbles numbered 1 to 28.. The Marble Is Red Or Odd Numbered.
From www.numerade.com
SOLVED Ajar contains 8 red marbles numbered 1 to 8 and 10 blue marbles The Marble Is Red Or Odd Numbered A jar contains 34 red marbles numbered 1 to 34 and 28 blue marbles numbered 1 to 28. A jar contains 8 red marbles numbered 1 to 8 and 6 blue marbles numbered 1 to 6. A jar contains 4 red marbles numbered 1 to 4 and 10 blue marbles numbered. Probability of a red or odd numbered marble. A. The Marble Is Red Or Odd Numbered.
From www.bartleby.com
Answered (a) The marble is red. P(red)= (b) The… bartleby The Marble Is Red Or Odd Numbered Probability of a red or odd numbered marble. A jar contains 6 red marbles numbered 1 to 6 and 12 blue marbles numbered 1 to 12. A marble is drawn at random from the jar. A marble is drawn at random from the jar. A jar contains 10 red marbles numbered 1 to 10 and 10 blue marbles numbered 1. The Marble Is Red Or Odd Numbered.
From www.bartleby.com
Answered A jar contains 10 red marbles numbered… bartleby The Marble Is Red Or Odd Numbered A jar contains 8 red marbles numbered 1 to 8 and 6 blue marbles numbered 1 to 6. A marble is drawn at random from the jar. A marble is drawn at random from the jar. A jar contains 34 red marbles numbered 1 to 34 and 28 blue marbles numbered 1 to 28. Find the probability of the given. The Marble Is Red Or Odd Numbered.
From www.numerade.com
SOLVED A jar contains 7 red marbles numbered 1 to 7 and 5 blue marbles The Marble Is Red Or Odd Numbered Probability of a red or odd numbered marble. A jar contains 10 red marbles numbered 1 to 10 and 6 blue marbles numbered 1 to 6. Find the probability of the given event. (a) probability that the marble is red: A marble is drawn at random from the jar. A marble is drawn at random from the jar. A jar. The Marble Is Red Or Odd Numbered.
From www.numerade.com
SOLVED A jar contains 4 red marbles numbered 1 to 4 and 10 blue The Marble Is Red Or Odd Numbered A marble is drawn at random from the jar. A jar contains 8 red marbles numbered 1 to 8 and 6 blue marbles numbered 1 to 6. A jar contains 4 red marbles numbered 1 to 4 and 10 blue marbles numbered. A jar contains 10 red marbles numbered 1 to 10 and 6 blue marbles numbered 1 to 6.. The Marble Is Red Or Odd Numbered.
From www.coursehero.com
[Solved] . A jar contains 30 red marbles numbered 1 to 30 and 50 blue The Marble Is Red Or Odd Numbered Find the probability of the given event. A marble is drawn at random from the jar. Probability of a red or odd numbered marble. A jar contains 10 red marbles numbered 1 to 10 and 10 blue marbles numbered 1 to 10. A marble is drawn at. A marble is drawn at random from the jar. A jar contains 6. The Marble Is Red Or Odd Numbered.
From www.numerade.com
SOLVED Question 2 Ajar contains 11 red marbles numbered 1 to 11 and 7 The Marble Is Red Or Odd Numbered Total number of marbles, n (u) = 10 red + 4 blue = 14 n(u)= 10red+4blue =14. A marble is drawn at random from the jar. A marble is drawn at. A jar contains 34 red marbles numbered 1 to 34 and 28 blue marbles numbered 1 to 28. A jar contains 10 red marbles numbered 1 to 10 and. The Marble Is Red Or Odd Numbered.
From www.bartleby.com
Answered A jar contains 8 red marbles numbered 1… bartleby The Marble Is Red Or Odd Numbered Total number of marbles, n (u) = 10 red + 4 blue = 14 n(u)= 10red+4blue =14. A marble is drawn at. A jar contains 8 red marbles numbered 1 to 8 and 6 blue marbles numbered 1 to 6. A jar contains 10 red marbles numbered 1 to 10 and 10 blue marbles numbered 1 to 10. Find the. The Marble Is Red Or Odd Numbered.
From www.numerade.com
SOLVED A jar contains 10 red marbles numbered 1 to 10 and 6 blue The Marble Is Red Or Odd Numbered A jar contains 34 red marbles numbered 1 to 34 and 28 blue marbles numbered 1 to 28. Total number of marbles, n (u) = 10 red + 4 blue = 14 n(u)= 10red+4blue =14. A marble is drawn at. A jar contains 6 red marbles numbered 1 to 6 and 12 blue marbles numbered 1 to 12. A marble. The Marble Is Red Or Odd Numbered.
From www.numerade.com
SOLVED Question 2 Ajar contains 11 red marbles numbered 1 to 11 and 7 The Marble Is Red Or Odd Numbered Total number of marbles, n (u) = 10 red + 4 blue = 14 n(u)= 10red+4blue =14. A jar contains 10 red marbles numbered 1 to 10 and 10 blue marbles numbered 1 to 10. (a) probability that the marble is red: Find the probability of the given event. A jar contains 8 red marbles numbered 1 to 8 and. The Marble Is Red Or Odd Numbered.
From www.numerade.com
SOLVED A jar contains 6 red marbles numbered 1 to 6 and 8 blue marbles The Marble Is Red Or Odd Numbered A marble is drawn at random from the jar. Find the probability of the given event. A jar contains 8 red marbles numbered 1 to 8 and 6 blue marbles numbered 1 to 6. Total number of marbles, n (u) = 10 red + 4 blue = 14 n(u)= 10red+4blue =14. A jar contains 10 red marbles numbered 1 to. The Marble Is Red Or Odd Numbered.
From www.numerade.com
SOLVED A jar contains 6 red marbles numbered 1 to 6 and 12 blue The Marble Is Red Or Odd Numbered A jar contains 8 red marbles numbered 1 to 8 and 6 blue marbles numbered 1 to 6. Probability of a red or odd numbered marble. A marble is drawn at random from the jar. Find the probability of the given event. A marble is drawn at random from the jar. A marble is drawn at random from the jar.. The Marble Is Red Or Odd Numbered.
From www.numerade.com
A jar contains 4 red marbles numbered 1 to 4 and 12 blue marbles The Marble Is Red Or Odd Numbered A jar contains 4 red marbles numbered 1 to 4 and 10 blue marbles numbered. A marble is drawn at random from the jar. A marble is drawn at. A jar contains 34 red marbles numbered 1 to 34 and 28 blue marbles numbered 1 to 28. (a) probability that the marble is red: A jar contains 6 red marbles. The Marble Is Red Or Odd Numbered.
From www.numerade.com
SOLVED A jar contains 6 red marbles numbered 1 to 6 and 8 blue marbles The Marble Is Red Or Odd Numbered A marble is drawn at random from the jar. A marble is drawn at. Probability of a red or odd numbered marble. A marble is drawn at random from the jar. A jar contains 8 red marbles numbered 1 to 8 and 6 blue marbles numbered 1 to 6. Find the probability of the given event. A marble is drawn. The Marble Is Red Or Odd Numbered.
From www.coursehero.com
[Solved] A jar contains 12 red marbles numbered 1 to 12 and 8 blue The Marble Is Red Or Odd Numbered A jar contains 34 red marbles numbered 1 to 34 and 28 blue marbles numbered 1 to 28. A marble is drawn at. A marble is drawn at random from the jar. (a) probability that the marble is red: Total number of marbles, n (u) = 10 red + 4 blue = 14 n(u)= 10red+4blue =14. A marble is drawn. The Marble Is Red Or Odd Numbered.
From www.chegg.com
A jar contains 38 red marbles numbered 1 to 38 and 50 The Marble Is Red Or Odd Numbered A marble is drawn at random from the jar. A marble is drawn at random from the jar. Probability of a red or odd numbered marble. A jar contains 4 red marbles numbered 1 to 4 and 10 blue marbles numbered. Total number of marbles, n (u) = 10 red + 4 blue = 14 n(u)= 10red+4blue =14. A jar. The Marble Is Red Or Odd Numbered.
From www.chegg.com
Solved Ajar contains 10 red marbles numbered 1 to 10 and 12 The Marble Is Red Or Odd Numbered A marble is drawn at random from the jar. A jar contains 10 red marbles numbered 1 to 10 and 6 blue marbles numbered 1 to 6. A marble is drawn at random from the jar. A jar contains 34 red marbles numbered 1 to 34 and 28 blue marbles numbered 1 to 28. Probability of a red or odd. The Marble Is Red Or Odd Numbered.
From www.numerade.com
SOLVED A jar contains 8 red marbles numbered 1 to 8 and 6 blue marbles The Marble Is Red Or Odd Numbered A jar contains 8 red marbles numbered 1 to 8 and 6 blue marbles numbered 1 to 6. A jar contains 6 red marbles numbered 1 to 6 and 12 blue marbles numbered 1 to 12. A marble is drawn at random from the jar. A marble is drawn at random from the jar. Find the probability of the given. The Marble Is Red Or Odd Numbered.
From brainly.com
the marble is red or odd numbered The Marble Is Red Or Odd Numbered A jar contains 4 red marbles numbered 1 to 4 and 10 blue marbles numbered. A marble is drawn at random from the jar. A jar contains 10 red marbles numbered 1 to 10 and 6 blue marbles numbered 1 to 6. A jar contains 6 red marbles numbered 1 to 6 and 12 blue marbles numbered 1 to 12.. The Marble Is Red Or Odd Numbered.
From www.numerade.com
SOLVED Ajar contains 11 marbles, numbered to 11. The marbles numbered The Marble Is Red Or Odd Numbered A marble is drawn at random from the jar. A jar contains 10 red marbles numbered 1 to 10 and 10 blue marbles numbered 1 to 10. A marble is drawn at random from the jar. A marble is drawn at random from the jar. (a) probability that the marble is red: A jar contains 6 red marbles numbered 1. The Marble Is Red Or Odd Numbered.
From www.numerade.com
VIDEO solution A jar contains 8 red marbles numbered 1 to 8 and 10 The Marble Is Red Or Odd Numbered A jar contains 6 red marbles numbered 1 to 6 and 12 blue marbles numbered 1 to 12. A jar contains 4 red marbles numbered 1 to 4 and 10 blue marbles numbered. A marble is drawn at random from the jar. A jar contains 34 red marbles numbered 1 to 34 and 28 blue marbles numbered 1 to 28.. The Marble Is Red Or Odd Numbered.
From www.numerade.com
SOLVED A jar contains 8 red marbles numbered and blue random from the The Marble Is Red Or Odd Numbered A jar contains 6 red marbles numbered 1 to 6 and 12 blue marbles numbered 1 to 12. A marble is drawn at. A marble is drawn at random from the jar. A jar contains 10 red marbles numbered 1 to 10 and 10 blue marbles numbered 1 to 10. A jar contains 8 red marbles numbered 1 to 8. The Marble Is Red Or Odd Numbered.
From www.toppr.com
A box contains 6 red marbles numbered 1 through 6 and 4 white marbles The Marble Is Red Or Odd Numbered A jar contains 6 red marbles numbered 1 to 6 and 12 blue marbles numbered 1 to 12. A jar contains 34 red marbles numbered 1 to 34 and 28 blue marbles numbered 1 to 28. A marble is drawn at random from the jar. Total number of marbles, n (u) = 10 red + 4 blue = 14 n(u)=. The Marble Is Red Or Odd Numbered.