Virtual Lab Activity Series Answers . Virtual lab activity on gas properties (answer key) name: In this activity, you will virtually observe the reaction of 9 different metals with different aqueous salts and an acid. Compare your answer to question. Using the activity series, explain whether each of the possible reactions listed below will occur. To observe the visual changes that occur during single replacement reactions and identify if an. In this activity you are going to determine the activity series of a set of metals using the virtual lab found here. Analyze the results of the virtual lab simulation regarding the reactions of metals with various solutions. Describe the relationships of different gas properties such. In this activity, you will virtually observe the reaction of 9 different metals with different aqueous salts and an acid. Mention at least 3 ways. This is the activity series which lists the most reactive metals on top and the least reactive on the bottom. How did you know if a reaction occurred? For those reactions that will occur, predict what the.
from www.chemedx.org
Describe the relationships of different gas properties such. To observe the visual changes that occur during single replacement reactions and identify if an. Compare your answer to question. In this activity, you will virtually observe the reaction of 9 different metals with different aqueous salts and an acid. For those reactions that will occur, predict what the. How did you know if a reaction occurred? In this activity you are going to determine the activity series of a set of metals using the virtual lab found here. Using the activity series, explain whether each of the possible reactions listed below will occur. Virtual lab activity on gas properties (answer key) name: This is the activity series which lists the most reactive metals on top and the least reactive on the bottom.
Stoichiometry A Free Virtual Chemistry Lab Activity Chemical
Virtual Lab Activity Series Answers To observe the visual changes that occur during single replacement reactions and identify if an. Mention at least 3 ways. Virtual lab activity on gas properties (answer key) name: Compare your answer to question. Using the activity series, explain whether each of the possible reactions listed below will occur. How did you know if a reaction occurred? In this activity, you will virtually observe the reaction of 9 different metals with different aqueous salts and an acid. In this activity you are going to determine the activity series of a set of metals using the virtual lab found here. Analyze the results of the virtual lab simulation regarding the reactions of metals with various solutions. In this activity, you will virtually observe the reaction of 9 different metals with different aqueous salts and an acid. This is the activity series which lists the most reactive metals on top and the least reactive on the bottom. For those reactions that will occur, predict what the. Describe the relationships of different gas properties such. To observe the visual changes that occur during single replacement reactions and identify if an.
From www.studocu.com
03 01 virtual cell division lab report Cell Division Virtual Lab Virtual Lab Activity Series Answers Compare your answer to question. How did you know if a reaction occurred? To observe the visual changes that occur during single replacement reactions and identify if an. Using the activity series, explain whether each of the possible reactions listed below will occur. Analyze the results of the virtual lab simulation regarding the reactions of metals with various solutions. Virtual. Virtual Lab Activity Series Answers.
From studylib.net
Virtual Lab Activity Virtual Lab Activity Series Answers For those reactions that will occur, predict what the. To observe the visual changes that occur during single replacement reactions and identify if an. In this activity, you will virtually observe the reaction of 9 different metals with different aqueous salts and an acid. In this activity, you will virtually observe the reaction of 9 different metals with different aqueous. Virtual Lab Activity Series Answers.
From myans.bhantedhammika.net
Biology Photosynthesis Virtual Lab Answer Key Virtual Lab Activity Series Answers In this activity, you will virtually observe the reaction of 9 different metals with different aqueous salts and an acid. Compare your answer to question. Mention at least 3 ways. For those reactions that will occur, predict what the. How did you know if a reaction occurred? In this activity you are going to determine the activity series of a. Virtual Lab Activity Series Answers.
From www.chegg.com
Solved I am doing the Metal Activity Series lab report. In Virtual Lab Activity Series Answers Describe the relationships of different gas properties such. Analyze the results of the virtual lab simulation regarding the reactions of metals with various solutions. This is the activity series which lists the most reactive metals on top and the least reactive on the bottom. Virtual lab activity on gas properties (answer key) name: To observe the visual changes that occur. Virtual Lab Activity Series Answers.
From www.vrogue.co
Cell Homeostasis Virtual Lab Worksheet Martin Printab vrogue.co Virtual Lab Activity Series Answers Describe the relationships of different gas properties such. In this activity you are going to determine the activity series of a set of metals using the virtual lab found here. Mention at least 3 ways. For those reactions that will occur, predict what the. In this activity, you will virtually observe the reaction of 9 different metals with different aqueous. Virtual Lab Activity Series Answers.
From www.formsbank.com
Virtual Lab Activity Series Science Lab Template printable pdf download Virtual Lab Activity Series Answers Describe the relationships of different gas properties such. Compare your answer to question. Virtual lab activity on gas properties (answer key) name: This is the activity series which lists the most reactive metals on top and the least reactive on the bottom. In this activity, you will virtually observe the reaction of 9 different metals with different aqueous salts and. Virtual Lab Activity Series Answers.
From www.chemedx.org
Stoichiometry A Free Virtual Chemistry Lab Activity Chemical Virtual Lab Activity Series Answers In this activity, you will virtually observe the reaction of 9 different metals with different aqueous salts and an acid. This is the activity series which lists the most reactive metals on top and the least reactive on the bottom. Analyze the results of the virtual lab simulation regarding the reactions of metals with various solutions. Compare your answer to. Virtual Lab Activity Series Answers.
From materialdbtracy.z13.web.core.windows.net
Cell Homeostasis Virtual Lab Answers Virtual Lab Activity Series Answers Mention at least 3 ways. Describe the relationships of different gas properties such. This is the activity series which lists the most reactive metals on top and the least reactive on the bottom. For those reactions that will occur, predict what the. In this activity, you will virtually observe the reaction of 9 different metals with different aqueous salts and. Virtual Lab Activity Series Answers.
From diagramenginemary.z19.web.core.windows.net
Circuit Construction Kit Virtual Lab Virtual Lab Activity Series Answers In this activity, you will virtually observe the reaction of 9 different metals with different aqueous salts and an acid. Virtual lab activity on gas properties (answer key) name: How did you know if a reaction occurred? In this activity you are going to determine the activity series of a set of metals using the virtual lab found here. Compare. Virtual Lab Activity Series Answers.
From www.studypool.com
SOLUTION Scientific Method Virtual Lab Activity And Questions Studypool Virtual Lab Activity Series Answers How did you know if a reaction occurred? Virtual lab activity on gas properties (answer key) name: To observe the visual changes that occur during single replacement reactions and identify if an. Using the activity series, explain whether each of the possible reactions listed below will occur. In this activity you are going to determine the activity series of a. Virtual Lab Activity Series Answers.
From www.studocu.com
Diffusion Virtual Lab oklkmlk uw iuf hihef Name Date Block Cell Virtual Lab Activity Series Answers How did you know if a reaction occurred? In this activity you are going to determine the activity series of a set of metals using the virtual lab found here. Using the activity series, explain whether each of the possible reactions listed below will occur. Describe the relationships of different gas properties such. In this activity, you will virtually observe. Virtual Lab Activity Series Answers.
From srkdpaupubngktit.blogspot.com
Mitosis Virtual Lab Worksheet Answer Key Observing The Cell Cycle In Virtual Lab Activity Series Answers In this activity you are going to determine the activity series of a set of metals using the virtual lab found here. For those reactions that will occur, predict what the. Analyze the results of the virtual lab simulation regarding the reactions of metals with various solutions. In this activity, you will virtually observe the reaction of 9 different metals. Virtual Lab Activity Series Answers.
From www.studocu.com
Macromolecules Worksheet sum21 Macromolecule Virtual Lab Part I Virtual Lab Activity Series Answers In this activity you are going to determine the activity series of a set of metals using the virtual lab found here. Describe the relationships of different gas properties such. Virtual lab activity on gas properties (answer key) name: This is the activity series which lists the most reactive metals on top and the least reactive on the bottom. Compare. Virtual Lab Activity Series Answers.
From correo.muycomputer.com
Cell Homeostasis Virtual Lab Worksheet Printable Kids Entertainment Virtual Lab Activity Series Answers For those reactions that will occur, predict what the. In this activity you are going to determine the activity series of a set of metals using the virtual lab found here. How did you know if a reaction occurred? In this activity, you will virtually observe the reaction of 9 different metals with different aqueous salts and an acid. This. Virtual Lab Activity Series Answers.
From www.studocu.com
Virtual Laboratory Activity Unit 35 Virtual Laboratory Activity Virtual Lab Activity Series Answers For those reactions that will occur, predict what the. In this activity, you will virtually observe the reaction of 9 different metals with different aqueous salts and an acid. In this activity, you will virtually observe the reaction of 9 different metals with different aqueous salts and an acid. This is the activity series which lists the most reactive metals. Virtual Lab Activity Series Answers.
From worksheets.clipart-library.com
Virtual Lab Activity on Gas Properties Answer Key Virtual Lab Virtual Lab Activity Series Answers This is the activity series which lists the most reactive metals on top and the least reactive on the bottom. For those reactions that will occur, predict what the. Using the activity series, explain whether each of the possible reactions listed below will occur. How did you know if a reaction occurred? In this activity you are going to determine. Virtual Lab Activity Series Answers.
From www.chegg.com
Solved Virtual Laboratory Activity 7 Designing a Hot/Cold Virtual Lab Activity Series Answers How did you know if a reaction occurred? Virtual lab activity on gas properties (answer key) name: To observe the visual changes that occur during single replacement reactions and identify if an. In this activity you are going to determine the activity series of a set of metals using the virtual lab found here. In this activity, you will virtually. Virtual Lab Activity Series Answers.
From www.176iot.com
Series And Parallel Circuits Basics Phet Answer Key IOT Wiring Diagram Virtual Lab Activity Series Answers Mention at least 3 ways. In this activity you are going to determine the activity series of a set of metals using the virtual lab found here. This is the activity series which lists the most reactive metals on top and the least reactive on the bottom. Virtual lab activity on gas properties (answer key) name: How did you know. Virtual Lab Activity Series Answers.
From www.studocu.com
3.01 cell division Lab Report Template 3 Cell Division Virtual Lab Virtual Lab Activity Series Answers Describe the relationships of different gas properties such. Mention at least 3 ways. In this activity, you will virtually observe the reaction of 9 different metals with different aqueous salts and an acid. Analyze the results of the virtual lab simulation regarding the reactions of metals with various solutions. In this activity, you will virtually observe the reaction of 9. Virtual Lab Activity Series Answers.
From www.studocu.com
BIo 230 virtual lab 1 lab assignment Part 1 Virtual Lab Activities Virtual Lab Activity Series Answers Compare your answer to question. Describe the relationships of different gas properties such. In this activity, you will virtually observe the reaction of 9 different metals with different aqueous salts and an acid. Virtual lab activity on gas properties (answer key) name: This is the activity series which lists the most reactive metals on top and the least reactive on. Virtual Lab Activity Series Answers.
From myans.bhantedhammika.net
Biology Photosynthesis Virtual Lab Answer Key Virtual Lab Activity Series Answers Virtual lab activity on gas properties (answer key) name: For those reactions that will occur, predict what the. Using the activity series, explain whether each of the possible reactions listed below will occur. Analyze the results of the virtual lab simulation regarding the reactions of metals with various solutions. To observe the visual changes that occur during single replacement reactions. Virtual Lab Activity Series Answers.
From answerquizpls.blogspot.com
IMMUNOLOGY VIRTUAL LAB WORKSHEET ANSWERS Virtual Lab Activity Series Answers How did you know if a reaction occurred? Virtual lab activity on gas properties (answer key) name: In this activity, you will virtually observe the reaction of 9 different metals with different aqueous salts and an acid. Describe the relationships of different gas properties such. Mention at least 3 ways. In this activity, you will virtually observe the reaction of. Virtual Lab Activity Series Answers.
From www.slideshare.net
Virtual Lab Activity SeriesBackground The usefulness of me Virtual Lab Activity Series Answers Describe the relationships of different gas properties such. Mention at least 3 ways. How did you know if a reaction occurred? For those reactions that will occur, predict what the. Analyze the results of the virtual lab simulation regarding the reactions of metals with various solutions. To observe the visual changes that occur during single replacement reactions and identify if. Virtual Lab Activity Series Answers.
From myans.bhantedhammika.net
Photosynthesis Virtual Lab Answer Key Amrita Virtual Lab Activity Series Answers Virtual lab activity on gas properties (answer key) name: This is the activity series which lists the most reactive metals on top and the least reactive on the bottom. How did you know if a reaction occurred? Describe the relationships of different gas properties such. Using the activity series, explain whether each of the possible reactions listed below will occur.. Virtual Lab Activity Series Answers.
From studylib.net
Virtual Lab on Projectile Motion Virtual Lab Activity Series Answers For those reactions that will occur, predict what the. How did you know if a reaction occurred? To observe the visual changes that occur during single replacement reactions and identify if an. Analyze the results of the virtual lab simulation regarding the reactions of metals with various solutions. Using the activity series, explain whether each of the possible reactions listed. Virtual Lab Activity Series Answers.
From www.vrogue.co
Mitosis Virtual Lab Worksheet Answer Key Cell Reprodu vrogue.co Virtual Lab Activity Series Answers Describe the relationships of different gas properties such. Virtual lab activity on gas properties (answer key) name: Using the activity series, explain whether each of the possible reactions listed below will occur. How did you know if a reaction occurred? Compare your answer to question. In this activity, you will virtually observe the reaction of 9 different metals with different. Virtual Lab Activity Series Answers.
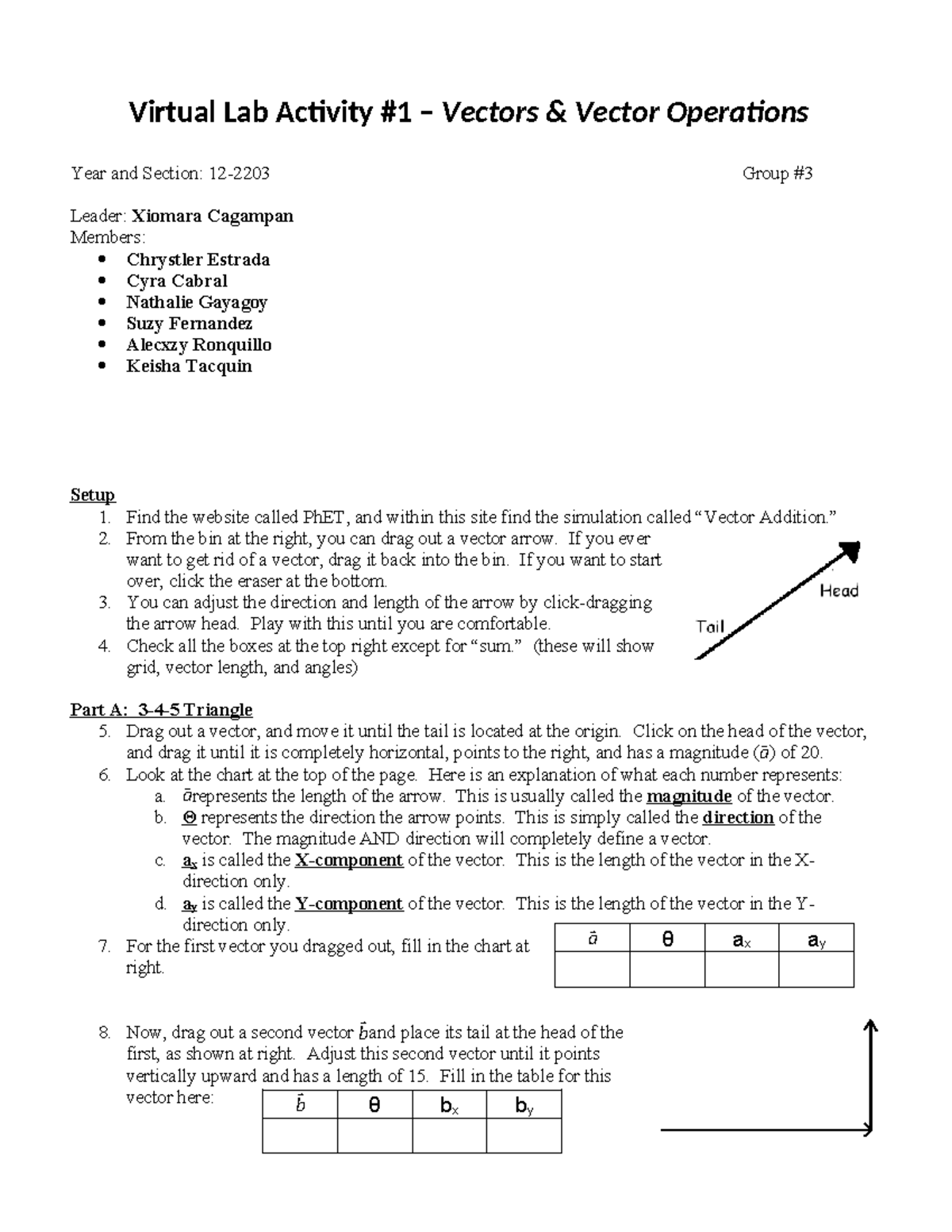
From www.studocu.com
Vectors and Vector Addition Virtual Lab Virtual Lab Activity 1 Virtual Lab Activity Series Answers In this activity you are going to determine the activity series of a set of metals using the virtual lab found here. How did you know if a reaction occurred? Analyze the results of the virtual lab simulation regarding the reactions of metals with various solutions. Virtual lab activity on gas properties (answer key) name: Using the activity series, explain. Virtual Lab Activity Series Answers.
From www.madebyteachers.com
Osmosis Homeostasis Virtual Lab Made By Teachers Virtual Lab Activity Series Answers Mention at least 3 ways. In this activity you are going to determine the activity series of a set of metals using the virtual lab found here. For those reactions that will occur, predict what the. Analyze the results of the virtual lab simulation regarding the reactions of metals with various solutions. Describe the relationships of different gas properties such.. Virtual Lab Activity Series Answers.
From www.slideshare.net
Virtual Lab Activity SeriesBackground The usefulness of me Virtual Lab Activity Series Answers Virtual lab activity on gas properties (answer key) name: To observe the visual changes that occur during single replacement reactions and identify if an. Analyze the results of the virtual lab simulation regarding the reactions of metals with various solutions. How did you know if a reaction occurred? For those reactions that will occur, predict what the. Describe the relationships. Virtual Lab Activity Series Answers.
From www.weareteachers.com
Best Virtual Lab Activities for the Classroom WeAreTeachers Virtual Lab Activity Series Answers For those reactions that will occur, predict what the. Using the activity series, explain whether each of the possible reactions listed below will occur. To observe the visual changes that occur during single replacement reactions and identify if an. In this activity, you will virtually observe the reaction of 9 different metals with different aqueous salts and an acid. Virtual. Virtual Lab Activity Series Answers.
From www.studocu.com
Bio 230 Lab Lab Part 1 Virtual Lab Activities For this part of the Virtual Lab Activity Series Answers In this activity you are going to determine the activity series of a set of metals using the virtual lab found here. Describe the relationships of different gas properties such. Using the activity series, explain whether each of the possible reactions listed below will occur. This is the activity series which lists the most reactive metals on top and the. Virtual Lab Activity Series Answers.
From www.pdffiller.com
Fillable Online Virtual Lab Activity Series Mr. Palermo's Flipped Virtual Lab Activity Series Answers Mention at least 3 ways. For those reactions that will occur, predict what the. Compare your answer to question. How did you know if a reaction occurred? In this activity you are going to determine the activity series of a set of metals using the virtual lab found here. Analyze the results of the virtual lab simulation regarding the reactions. Virtual Lab Activity Series Answers.
From www.studocu.com
03 01 cell division lab 03 Virtual Cell Division Lab Report Virtual Lab Activity Series Answers To observe the visual changes that occur during single replacement reactions and identify if an. Analyze the results of the virtual lab simulation regarding the reactions of metals with various solutions. Compare your answer to question. In this activity, you will virtually observe the reaction of 9 different metals with different aqueous salts and an acid. Mention at least 3. Virtual Lab Activity Series Answers.
From www.studocu.com
Week 14 Lab Worksheet Virtual Lab Population Biology Week 14 Lab Virtual Lab Activity Series Answers How did you know if a reaction occurred? Compare your answer to question. This is the activity series which lists the most reactive metals on top and the least reactive on the bottom. Virtual lab activity on gas properties (answer key) name: For those reactions that will occur, predict what the. To observe the visual changes that occur during single. Virtual Lab Activity Series Answers.
From answerquizpls.blogspot.com
IMMUNOLOGY VIRTUAL LAB WORKSHEET ANSWERS Virtual Lab Activity Series Answers Analyze the results of the virtual lab simulation regarding the reactions of metals with various solutions. In this activity you are going to determine the activity series of a set of metals using the virtual lab found here. Describe the relationships of different gas properties such. This is the activity series which lists the most reactive metals on top and. Virtual Lab Activity Series Answers.