Oregon Dui Diversion Reddit . The duii diversion petition and agreement is your agreement with the court. Andy green, dui diversion lawyer has. Oregon duii diversion program question. You may be eligible for the oregon dui diversion program. If you complete the diversion program within the time allowed, you must file a motion to dismiss the charge of duii. Hi, i got my first duii on march of this year, and i’ve recently graduated from my drug and alcohol. Oregon duii diversion is a noble experiment, and saves courts vast sums in trial, administrative and jail costs. Facing a first dui charge in oregon? The oregon dmv and circuit courts can have entirely different rules and requirements. To have the duii charge dismissed, you must do all the following : The oregon diversion program is created by state law as an option for people who have been cited or arrested for their first dui or. If you have had the iid and your year of diversion is. If you violate the agreement, the court may terminate diversion, enter the.
from www.portlandduiguy.com
The oregon dmv and circuit courts can have entirely different rules and requirements. If you violate the agreement, the court may terminate diversion, enter the. If you have had the iid and your year of diversion is. Hi, i got my first duii on march of this year, and i’ve recently graduated from my drug and alcohol. If you complete the diversion program within the time allowed, you must file a motion to dismiss the charge of duii. Oregon duii diversion program question. Facing a first dui charge in oregon? The duii diversion petition and agreement is your agreement with the court. The oregon diversion program is created by state law as an option for people who have been cited or arrested for their first dui or. Oregon duii diversion is a noble experiment, and saves courts vast sums in trial, administrative and jail costs.
Can I Refuse a Breathalyzer Test in Oregon? Portland DUI Guy
Oregon Dui Diversion Reddit Hi, i got my first duii on march of this year, and i’ve recently graduated from my drug and alcohol. The oregon diversion program is created by state law as an option for people who have been cited or arrested for their first dui or. If you have had the iid and your year of diversion is. The duii diversion petition and agreement is your agreement with the court. Facing a first dui charge in oregon? Oregon duii diversion is a noble experiment, and saves courts vast sums in trial, administrative and jail costs. To have the duii charge dismissed, you must do all the following : Oregon duii diversion program question. If you complete the diversion program within the time allowed, you must file a motion to dismiss the charge of duii. Andy green, dui diversion lawyer has. If you violate the agreement, the court may terminate diversion, enter the. You may be eligible for the oregon dui diversion program. Hi, i got my first duii on march of this year, and i’ve recently graduated from my drug and alcohol. The oregon dmv and circuit courts can have entirely different rules and requirements.
From portlandduiguy.com
Does A DUI Charge on Driving Record Affect Employment at Uber? Oregon Dui Diversion Reddit To have the duii charge dismissed, you must do all the following : Andy green, dui diversion lawyer has. You may be eligible for the oregon dui diversion program. The oregon dmv and circuit courts can have entirely different rules and requirements. If you have had the iid and your year of diversion is. If you violate the agreement, the. Oregon Dui Diversion Reddit.
From deschuteslawfirm.com
DUI Attorney Bend DUII Diversion Program Oregon Oregon Dui Diversion Reddit The oregon diversion program is created by state law as an option for people who have been cited or arrested for their first dui or. If you violate the agreement, the court may terminate diversion, enter the. If you complete the diversion program within the time allowed, you must file a motion to dismiss the charge of duii. Oregon duii. Oregon Dui Diversion Reddit.
From www.portlandduiguy.com
Can I Refuse a Breathalyzer Test in Oregon? Portland DUI Guy Oregon Dui Diversion Reddit If you have had the iid and your year of diversion is. The oregon diversion program is created by state law as an option for people who have been cited or arrested for their first dui or. To have the duii charge dismissed, you must do all the following : Andy green, dui diversion lawyer has. Oregon duii diversion is. Oregon Dui Diversion Reddit.
From portlandduiguy.com
What is a DUII Diversion Program and How Can It Help Me? Oregon Dui Diversion Reddit You may be eligible for the oregon dui diversion program. If you have had the iid and your year of diversion is. If you violate the agreement, the court may terminate diversion, enter the. The oregon diversion program is created by state law as an option for people who have been cited or arrested for their first dui or. The. Oregon Dui Diversion Reddit.
From deschuteslawfirm.com
Bend DUI Attorney Why Is It A DUII In Oregon? Donahue Law Firm Oregon Dui Diversion Reddit The duii diversion petition and agreement is your agreement with the court. The oregon diversion program is created by state law as an option for people who have been cited or arrested for their first dui or. The oregon dmv and circuit courts can have entirely different rules and requirements. Facing a first dui charge in oregon? If you have. Oregon Dui Diversion Reddit.
From carlmorrison.pages.dev
Oregon Duii Laws 2025 Carl Morrison Oregon Dui Diversion Reddit To have the duii charge dismissed, you must do all the following : Oregon duii diversion is a noble experiment, and saves courts vast sums in trial, administrative and jail costs. If you have had the iid and your year of diversion is. You may be eligible for the oregon dui diversion program. Andy green, dui diversion lawyer has. Hi,. Oregon Dui Diversion Reddit.
From deschuteslawfirm.com
Oregon DUII Penalties Call A DUII Attorney In Bend Donahue Law Firm Oregon Dui Diversion Reddit If you violate the agreement, the court may terminate diversion, enter the. If you complete the diversion program within the time allowed, you must file a motion to dismiss the charge of duii. Hi, i got my first duii on march of this year, and i’ve recently graduated from my drug and alcohol. The oregon dmv and circuit courts can. Oregon Dui Diversion Reddit.
From portlandduiguy.com
Can You Get DUI Charge for Prescribed Drugs in Oregon? Oregon Dui Diversion Reddit Facing a first dui charge in oregon? The oregon dmv and circuit courts can have entirely different rules and requirements. Oregon duii diversion is a noble experiment, and saves courts vast sums in trial, administrative and jail costs. Andy green, dui diversion lawyer has. If you have had the iid and your year of diversion is. The oregon diversion program. Oregon Dui Diversion Reddit.
From www.slideserve.com
PPT Oregon DUI Diversion PowerPoint Presentation, free download ID Oregon Dui Diversion Reddit Oregon duii diversion program question. The oregon diversion program is created by state law as an option for people who have been cited or arrested for their first dui or. If you complete the diversion program within the time allowed, you must file a motion to dismiss the charge of duii. Andy green, dui diversion lawyer has. The duii diversion. Oregon Dui Diversion Reddit.
From www.portlandduiguy.com
Underage DUI in Oregon When Can a Teenager Be Charged with a DUI? Oregon Dui Diversion Reddit Andy green, dui diversion lawyer has. Hi, i got my first duii on march of this year, and i’ve recently graduated from my drug and alcohol. Oregon duii diversion is a noble experiment, and saves courts vast sums in trial, administrative and jail costs. If you have had the iid and your year of diversion is. Facing a first dui. Oregon Dui Diversion Reddit.
From www.templateroller.com
DUII Diversion Form 8 Download Fillable PDF or Fill Online Order on Oregon Dui Diversion Reddit Hi, i got my first duii on march of this year, and i’ve recently graduated from my drug and alcohol. The oregon diversion program is created by state law as an option for people who have been cited or arrested for their first dui or. The oregon dmv and circuit courts can have entirely different rules and requirements. The duii. Oregon Dui Diversion Reddit.
From www.northpointrecovery.com
Oregon DUI Laws What You Need to Know Northpoint Idaho Oregon Dui Diversion Reddit The oregon dmv and circuit courts can have entirely different rules and requirements. The oregon diversion program is created by state law as an option for people who have been cited or arrested for their first dui or. To have the duii charge dismissed, you must do all the following : If you complete the diversion program within the time. Oregon Dui Diversion Reddit.
From www.deschuteslawfirm.com
Oregon DUII Penalties Call A DUII Attorney In Bend Donahue Law Firm Oregon Dui Diversion Reddit You may be eligible for the oregon dui diversion program. To have the duii charge dismissed, you must do all the following : The oregon dmv and circuit courts can have entirely different rules and requirements. If you complete the diversion program within the time allowed, you must file a motion to dismiss the charge of duii. The oregon diversion. Oregon Dui Diversion Reddit.
From www.themodernfirm.com
Oregon DUI Attorney site Created by The Modern Firm Oregon Dui Diversion Reddit Oregon duii diversion program question. If you complete the diversion program within the time allowed, you must file a motion to dismiss the charge of duii. Oregon duii diversion is a noble experiment, and saves courts vast sums in trial, administrative and jail costs. You may be eligible for the oregon dui diversion program. If you have had the iid. Oregon Dui Diversion Reddit.
From www.newsbreak.com
Weekly Safety Report Alleged Fentanyl Diversion, DUII Arrests, and Oregon Dui Diversion Reddit To have the duii charge dismissed, you must do all the following : The oregon diversion program is created by state law as an option for people who have been cited or arrested for their first dui or. If you have had the iid and your year of diversion is. Oregon duii diversion program question. Andy green, dui diversion lawyer. Oregon Dui Diversion Reddit.
From www.templateroller.com
DUII Diversion Form 10 Fill Out, Sign Online and Download Fillable Oregon Dui Diversion Reddit To have the duii charge dismissed, you must do all the following : If you violate the agreement, the court may terminate diversion, enter the. If you complete the diversion program within the time allowed, you must file a motion to dismiss the charge of duii. The duii diversion petition and agreement is your agreement with the court. The oregon. Oregon Dui Diversion Reddit.
From www.baxterharder.com
What You Need to Know About Oregon’s DUII Diversion Program Oregon Dui Diversion Reddit Oregon duii diversion program question. Oregon duii diversion is a noble experiment, and saves courts vast sums in trial, administrative and jail costs. Andy green, dui diversion lawyer has. The oregon dmv and circuit courts can have entirely different rules and requirements. You may be eligible for the oregon dui diversion program. If you complete the diversion program within the. Oregon Dui Diversion Reddit.
From www.templateroller.com
DUII Diversion Form 1 Fill Out, Sign Online and Download Fillable PDF Oregon Dui Diversion Reddit Facing a first dui charge in oregon? The duii diversion petition and agreement is your agreement with the court. Oregon duii diversion program question. Oregon duii diversion is a noble experiment, and saves courts vast sums in trial, administrative and jail costs. The oregon diversion program is created by state law as an option for people who have been cited. Oregon Dui Diversion Reddit.
From portlandduiguy.com
Can You Get DUI Charge for Prescribed Drugs in Oregon? Oregon Dui Diversion Reddit If you have had the iid and your year of diversion is. The oregon dmv and circuit courts can have entirely different rules and requirements. Oregon duii diversion is a noble experiment, and saves courts vast sums in trial, administrative and jail costs. Facing a first dui charge in oregon? The oregon diversion program is created by state law as. Oregon Dui Diversion Reddit.
From www.signnow.com
Duii Diversion Extend Astoria Form Fill Out and Sign Printable PDF Oregon Dui Diversion Reddit Hi, i got my first duii on march of this year, and i’ve recently graduated from my drug and alcohol. To have the duii charge dismissed, you must do all the following : You may be eligible for the oregon dui diversion program. The duii diversion petition and agreement is your agreement with the court. If you complete the diversion. Oregon Dui Diversion Reddit.
From www.slideserve.com
PPT Oregon DUI First Offense PowerPoint Presentation, free download Oregon Dui Diversion Reddit You may be eligible for the oregon dui diversion program. Hi, i got my first duii on march of this year, and i’ve recently graduated from my drug and alcohol. If you have had the iid and your year of diversion is. The duii diversion petition and agreement is your agreement with the court. The oregon dmv and circuit courts. Oregon Dui Diversion Reddit.
From www.harrislawsite.com
Everything You Need To Know If You’re Facing DUI Charges In Oregon Oregon Dui Diversion Reddit The duii diversion petition and agreement is your agreement with the court. Hi, i got my first duii on march of this year, and i’ve recently graduated from my drug and alcohol. If you violate the agreement, the court may terminate diversion, enter the. Facing a first dui charge in oregon? The oregon diversion program is created by state law. Oregon Dui Diversion Reddit.
From www.templateroller.com
DUII Diversion Form 2 Download Fillable PDF or Fill Online Order Re Oregon Dui Diversion Reddit The oregon dmv and circuit courts can have entirely different rules and requirements. You may be eligible for the oregon dui diversion program. Oregon duii diversion program question. Hi, i got my first duii on march of this year, and i’ve recently graduated from my drug and alcohol. The oregon diversion program is created by state law as an option. Oregon Dui Diversion Reddit.
From appadvice.com
Oregon DUII Conference by DUII MultiDisciplinary Training Task Force Oregon Dui Diversion Reddit Facing a first dui charge in oregon? To have the duii charge dismissed, you must do all the following : The oregon dmv and circuit courts can have entirely different rules and requirements. If you have had the iid and your year of diversion is. The oregon diversion program is created by state law as an option for people who. Oregon Dui Diversion Reddit.
From carlmorrison.pages.dev
Oregon Duii Laws 2025 Carl Morrison Oregon Dui Diversion Reddit Oregon duii diversion is a noble experiment, and saves courts vast sums in trial, administrative and jail costs. The oregon diversion program is created by state law as an option for people who have been cited or arrested for their first dui or. Facing a first dui charge in oregon? To have the duii charge dismissed, you must do all. Oregon Dui Diversion Reddit.
From nelsonlawbend.com
What Happens If You Fail DUI Diversion in Oregon? Oregon Dui Diversion Reddit The duii diversion petition and agreement is your agreement with the court. Oregon duii diversion is a noble experiment, and saves courts vast sums in trial, administrative and jail costs. If you violate the agreement, the court may terminate diversion, enter the. The oregon diversion program is created by state law as an option for people who have been cited. Oregon Dui Diversion Reddit.
From eugeneattorney.com
DUI Lawyer Eugene, Oregon DUI Diversion Law Eugene Attorneys Oregon Dui Diversion Reddit Andy green, dui diversion lawyer has. Hi, i got my first duii on march of this year, and i’ve recently graduated from my drug and alcohol. The oregon diversion program is created by state law as an option for people who have been cited or arrested for their first dui or. To have the duii charge dismissed, you must do. Oregon Dui Diversion Reddit.
From portlandduiguy.com
What to Expect After Your DUI Arrest in Oregon Portland DUI Guy Oregon Dui Diversion Reddit If you complete the diversion program within the time allowed, you must file a motion to dismiss the charge of duii. Oregon duii diversion is a noble experiment, and saves courts vast sums in trial, administrative and jail costs. Andy green, dui diversion lawyer has. The oregon diversion program is created by state law as an option for people who. Oregon Dui Diversion Reddit.
From criminaldefenseattorneytampa.com
RIDR Hillsborough County's DUI Diversion Program in Tampa, FL Oregon Dui Diversion Reddit If you have had the iid and your year of diversion is. If you violate the agreement, the court may terminate diversion, enter the. The oregon diversion program is created by state law as an option for people who have been cited or arrested for their first dui or. Oregon duii diversion is a noble experiment, and saves courts vast. Oregon Dui Diversion Reddit.
From www.deschuteslawfirm.com
DUI Attorney Bend DUII Diversion Program Oregon Oregon Dui Diversion Reddit Hi, i got my first duii on march of this year, and i’ve recently graduated from my drug and alcohol. Facing a first dui charge in oregon? If you have had the iid and your year of diversion is. If you complete the diversion program within the time allowed, you must file a motion to dismiss the charge of duii.. Oregon Dui Diversion Reddit.
From www.deschuteslawfirm.com
DUII Diversion in Oregon Call A DUII Attorney Donahue Law Firm Oregon Dui Diversion Reddit Hi, i got my first duii on march of this year, and i’ve recently graduated from my drug and alcohol. Oregon duii diversion is a noble experiment, and saves courts vast sums in trial, administrative and jail costs. The oregon diversion program is created by state law as an option for people who have been cited or arrested for their. Oregon Dui Diversion Reddit.
From www.slideserve.com
PPT DUI Lawyer Oregon PowerPoint Presentation, free download ID7491375 Oregon Dui Diversion Reddit Facing a first dui charge in oregon? The oregon diversion program is created by state law as an option for people who have been cited or arrested for their first dui or. If you have had the iid and your year of diversion is. Oregon duii diversion program question. If you violate the agreement, the court may terminate diversion, enter. Oregon Dui Diversion Reddit.
From portlandduiguy.com
How to Avoid a DUI Charge in Oregon Portland DUI Guy Oregon Dui Diversion Reddit To have the duii charge dismissed, you must do all the following : You may be eligible for the oregon dui diversion program. If you complete the diversion program within the time allowed, you must file a motion to dismiss the charge of duii. The oregon dmv and circuit courts can have entirely different rules and requirements. The duii diversion. Oregon Dui Diversion Reddit.
From www.templateroller.com
DUII Diversion Form 2 Download Fillable PDF or Fill Online Order Re Oregon Dui Diversion Reddit If you complete the diversion program within the time allowed, you must file a motion to dismiss the charge of duii. The oregon dmv and circuit courts can have entirely different rules and requirements. Facing a first dui charge in oregon? Oregon duii diversion is a noble experiment, and saves courts vast sums in trial, administrative and jail costs. The. Oregon Dui Diversion Reddit.
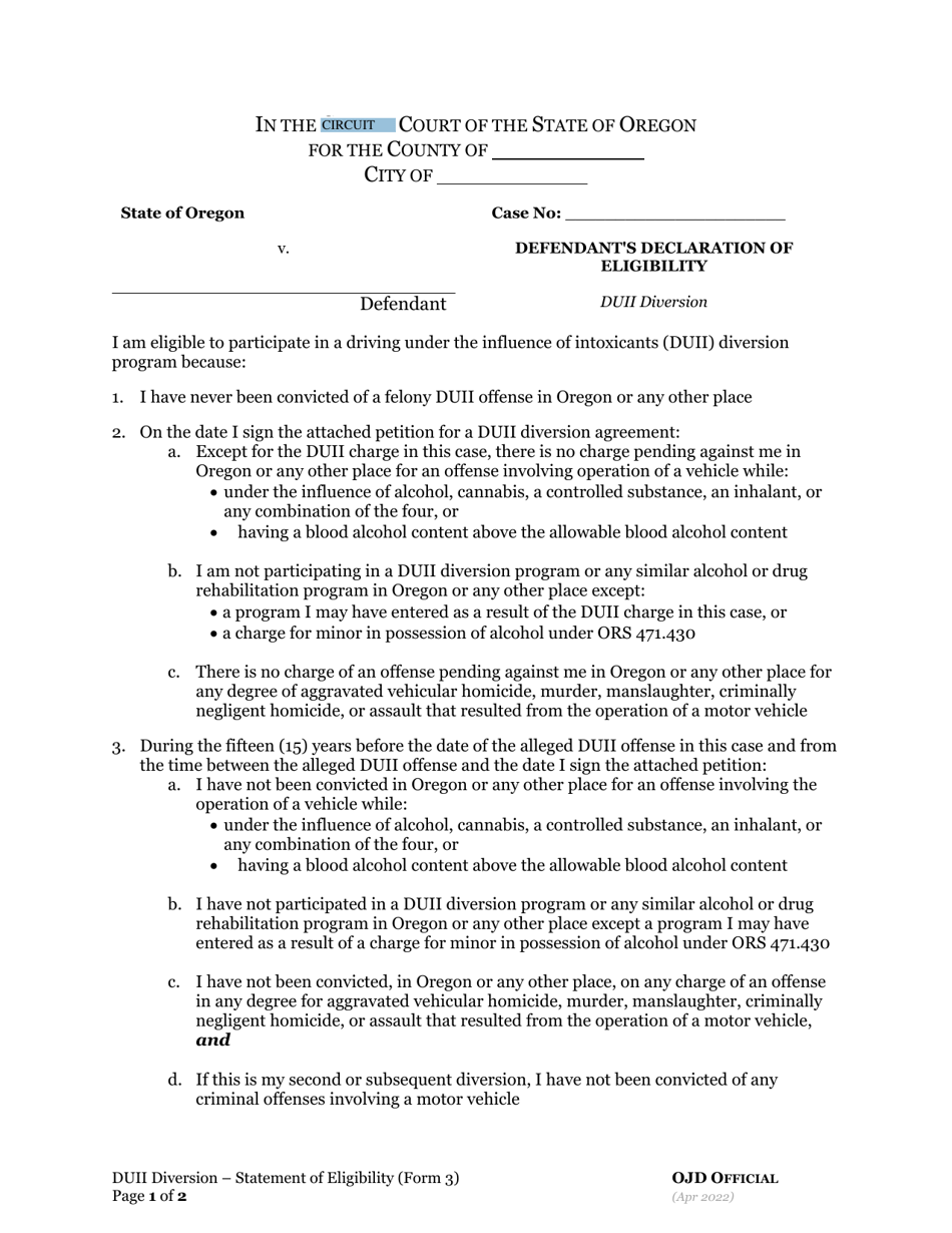
From www.templateroller.com
DUII Diversion Form 3 Fill Out, Sign Online and Download Fillable PDF Oregon Dui Diversion Reddit Oregon duii diversion is a noble experiment, and saves courts vast sums in trial, administrative and jail costs. Facing a first dui charge in oregon? If you have had the iid and your year of diversion is. The oregon dmv and circuit courts can have entirely different rules and requirements. You may be eligible for the oregon dui diversion program.. Oregon Dui Diversion Reddit.