Define Extension Theorem . Why royden tries to include set. Learn how to extend continuous and differentiable functions to the whole real line using various methods and results. You can extend list of linearly independent vectors $(v_1,v_2,\ldots,v_k)$ to a basis $(v_1,v_2,. Theorems on extension of functions often rely on compactness and other topological properties to ensure that a function can be extended. Recall that from the uniform continuity theorem that if a function i = [a, b] is a closed and bounded. It is off the topic, but i have one more question. What is the carathéodory extension theorem? Caratheodory's extension theorem shows that it.
from www.youtube.com
Learn how to extend continuous and differentiable functions to the whole real line using various methods and results. Recall that from the uniform continuity theorem that if a function i = [a, b] is a closed and bounded. You can extend list of linearly independent vectors $(v_1,v_2,\ldots,v_k)$ to a basis $(v_1,v_2,. Caratheodory's extension theorem shows that it. Why royden tries to include set. What is the carathéodory extension theorem? It is off the topic, but i have one more question. Theorems on extension of functions often rely on compactness and other topological properties to ensure that a function can be extended.
ST342 022 Carathéodory Extension Theorem 2 of 2 YouTube
Define Extension Theorem What is the carathéodory extension theorem? Learn how to extend continuous and differentiable functions to the whole real line using various methods and results. Caratheodory's extension theorem shows that it. Why royden tries to include set. Theorems on extension of functions often rely on compactness and other topological properties to ensure that a function can be extended. It is off the topic, but i have one more question. What is the carathéodory extension theorem? You can extend list of linearly independent vectors $(v_1,v_2,\ldots,v_k)$ to a basis $(v_1,v_2,. Recall that from the uniform continuity theorem that if a function i = [a, b] is a closed and bounded.
From www.youtube.com
Measure Theory 12 Carathéodory's Extension Theorem [dark version Define Extension Theorem Recall that from the uniform continuity theorem that if a function i = [a, b] is a closed and bounded. Caratheodory's extension theorem shows that it. Why royden tries to include set. You can extend list of linearly independent vectors $(v_1,v_2,\ldots,v_k)$ to a basis $(v_1,v_2,. Learn how to extend continuous and differentiable functions to the whole real line using various. Define Extension Theorem.
From www.youtube.com
Converse of Midpoint theorem and Proof YouTube Define Extension Theorem Recall that from the uniform continuity theorem that if a function i = [a, b] is a closed and bounded. You can extend list of linearly independent vectors $(v_1,v_2,\ldots,v_k)$ to a basis $(v_1,v_2,. What is the carathéodory extension theorem? Caratheodory's extension theorem shows that it. Why royden tries to include set. Learn how to extend continuous and differentiable functions to. Define Extension Theorem.
From www.slideshare.net
11 X1 T06 01 Angle Theorems Define Extension Theorem What is the carathéodory extension theorem? It is off the topic, but i have one more question. Theorems on extension of functions often rely on compactness and other topological properties to ensure that a function can be extended. Why royden tries to include set. Learn how to extend continuous and differentiable functions to the whole real line using various methods. Define Extension Theorem.
From www.slideserve.com
PPT Today’s Goal Proof of Extension Theorem PowerPoint Presentation Define Extension Theorem Caratheodory's extension theorem shows that it. You can extend list of linearly independent vectors $(v_1,v_2,\ldots,v_k)$ to a basis $(v_1,v_2,. Theorems on extension of functions often rely on compactness and other topological properties to ensure that a function can be extended. Why royden tries to include set. Recall that from the uniform continuity theorem that if a function i = [a,. Define Extension Theorem.
From www.media4math.com
DefinitionTheorems and PostulatesSAS Similarity Theorem Media4Math Define Extension Theorem What is the carathéodory extension theorem? Caratheodory's extension theorem shows that it. Why royden tries to include set. Learn how to extend continuous and differentiable functions to the whole real line using various methods and results. Theorems on extension of functions often rely on compactness and other topological properties to ensure that a function can be extended. It is off. Define Extension Theorem.
From www.chegg.com
Solved Parseval's theorem Define f(x) = 1 x/2, for 2 LE Define Extension Theorem Caratheodory's extension theorem shows that it. What is the carathéodory extension theorem? Learn how to extend continuous and differentiable functions to the whole real line using various methods and results. It is off the topic, but i have one more question. Why royden tries to include set. You can extend list of linearly independent vectors $(v_1,v_2,\ldots,v_k)$ to a basis $(v_1,v_2,.. Define Extension Theorem.
From www.studocu.com
Lecture notes, lecture 2 The Extension Theorem The Extension Define Extension Theorem What is the carathéodory extension theorem? Learn how to extend continuous and differentiable functions to the whole real line using various methods and results. It is off the topic, but i have one more question. Caratheodory's extension theorem shows that it. You can extend list of linearly independent vectors $(v_1,v_2,\ldots,v_k)$ to a basis $(v_1,v_2,. Recall that from the uniform continuity. Define Extension Theorem.
From www.slideserve.com
PPT Today’s Goal Proof of Extension Theorem PowerPoint Presentation Define Extension Theorem Caratheodory's extension theorem shows that it. It is off the topic, but i have one more question. Recall that from the uniform continuity theorem that if a function i = [a, b] is a closed and bounded. Theorems on extension of functions often rely on compactness and other topological properties to ensure that a function can be extended. What is. Define Extension Theorem.
From www.youtube.com
Measure Theory 12 Carathéodory's Extension Theorem YouTube Define Extension Theorem What is the carathéodory extension theorem? It is off the topic, but i have one more question. Theorems on extension of functions often rely on compactness and other topological properties to ensure that a function can be extended. Caratheodory's extension theorem shows that it. You can extend list of linearly independent vectors $(v_1,v_2,\ldots,v_k)$ to a basis $(v_1,v_2,. Recall that from. Define Extension Theorem.
From www.yawin.in
Euler’s theorem Yawin Define Extension Theorem Recall that from the uniform continuity theorem that if a function i = [a, b] is a closed and bounded. Theorems on extension of functions often rely on compactness and other topological properties to ensure that a function can be extended. You can extend list of linearly independent vectors $(v_1,v_2,\ldots,v_k)$ to a basis $(v_1,v_2,. Why royden tries to include set.. Define Extension Theorem.
From www.chegg.com
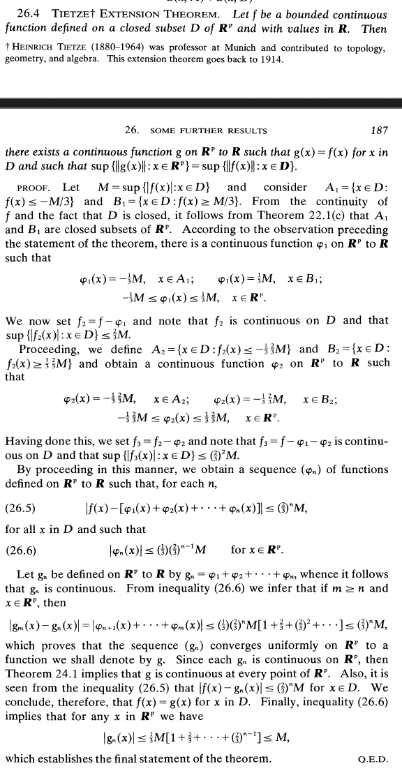
Solved 26.4 Tietze† Extension Theorem. Let f be a bounded Define Extension Theorem Why royden tries to include set. What is the carathéodory extension theorem? Theorems on extension of functions often rely on compactness and other topological properties to ensure that a function can be extended. Caratheodory's extension theorem shows that it. Recall that from the uniform continuity theorem that if a function i = [a, b] is a closed and bounded. It. Define Extension Theorem.
From studylib.net
Extension theorems and their applications to birational geometry Define Extension Theorem Theorems on extension of functions often rely on compactness and other topological properties to ensure that a function can be extended. Caratheodory's extension theorem shows that it. Why royden tries to include set. Recall that from the uniform continuity theorem that if a function i = [a, b] is a closed and bounded. What is the carathéodory extension theorem? Learn. Define Extension Theorem.
From studylib.net
Trace and extension theorems for BV Define Extension Theorem Why royden tries to include set. Recall that from the uniform continuity theorem that if a function i = [a, b] is a closed and bounded. It is off the topic, but i have one more question. What is the carathéodory extension theorem? You can extend list of linearly independent vectors $(v_1,v_2,\ldots,v_k)$ to a basis $(v_1,v_2,. Theorems on extension of. Define Extension Theorem.
From www.media4math.com
DefinitionGeometry BasicsPythagorean Theorem Media4Math Define Extension Theorem What is the carathéodory extension theorem? Why royden tries to include set. It is off the topic, but i have one more question. Learn how to extend continuous and differentiable functions to the whole real line using various methods and results. You can extend list of linearly independent vectors $(v_1,v_2,\ldots,v_k)$ to a basis $(v_1,v_2,. Recall that from the uniform continuity. Define Extension Theorem.
From www.slideserve.com
PPT Today’s Goal Proof of Extension Theorem PowerPoint Presentation Define Extension Theorem You can extend list of linearly independent vectors $(v_1,v_2,\ldots,v_k)$ to a basis $(v_1,v_2,. It is off the topic, but i have one more question. Learn how to extend continuous and differentiable functions to the whole real line using various methods and results. Recall that from the uniform continuity theorem that if a function i = [a, b] is a closed. Define Extension Theorem.
From www.media4math.com
DefinitionTheorems and PostulatesCorresponding Angles Theorem Define Extension Theorem Theorems on extension of functions often rely on compactness and other topological properties to ensure that a function can be extended. Why royden tries to include set. Caratheodory's extension theorem shows that it. You can extend list of linearly independent vectors $(v_1,v_2,\ldots,v_k)$ to a basis $(v_1,v_2,. What is the carathéodory extension theorem? Learn how to extend continuous and differentiable functions. Define Extension Theorem.
From www.chegg.com
Solved SHANNON’S EXPANSION THEOREM. Consider f defined Define Extension Theorem It is off the topic, but i have one more question. You can extend list of linearly independent vectors $(v_1,v_2,\ldots,v_k)$ to a basis $(v_1,v_2,. What is the carathéodory extension theorem? Why royden tries to include set. Learn how to extend continuous and differentiable functions to the whole real line using various methods and results. Caratheodory's extension theorem shows that it.. Define Extension Theorem.
From www.youtube.com
Linear Extension Theorem YouTube Define Extension Theorem Recall that from the uniform continuity theorem that if a function i = [a, b] is a closed and bounded. Theorems on extension of functions often rely on compactness and other topological properties to ensure that a function can be extended. Learn how to extend continuous and differentiable functions to the whole real line using various methods and results. Caratheodory's. Define Extension Theorem.
From www.tessshebaylo.com
Solving Cubic Equations Factor Theorem Examples Tessshebaylo Define Extension Theorem Recall that from the uniform continuity theorem that if a function i = [a, b] is a closed and bounded. You can extend list of linearly independent vectors $(v_1,v_2,\ldots,v_k)$ to a basis $(v_1,v_2,. Why royden tries to include set. It is off the topic, but i have one more question. Learn how to extend continuous and differentiable functions to the. Define Extension Theorem.
From www.youtube.com
Measure Theory Part 12 Carathéodory's Extension Theorem YouTube Define Extension Theorem You can extend list of linearly independent vectors $(v_1,v_2,\ldots,v_k)$ to a basis $(v_1,v_2,. Theorems on extension of functions often rely on compactness and other topological properties to ensure that a function can be extended. Learn how to extend continuous and differentiable functions to the whole real line using various methods and results. What is the carathéodory extension theorem? It is. Define Extension Theorem.
From www.youtube.com
Fermat's Little Theorem A Proof of Fermat's Little Theorem from Define Extension Theorem Recall that from the uniform continuity theorem that if a function i = [a, b] is a closed and bounded. Caratheodory's extension theorem shows that it. Why royden tries to include set. You can extend list of linearly independent vectors $(v_1,v_2,\ldots,v_k)$ to a basis $(v_1,v_2,. Learn how to extend continuous and differentiable functions to the whole real line using various. Define Extension Theorem.
From www.slideserve.com
PPT Mathematical Rebus PowerPoint Presentation, free download ID Define Extension Theorem Caratheodory's extension theorem shows that it. It is off the topic, but i have one more question. What is the carathéodory extension theorem? You can extend list of linearly independent vectors $(v_1,v_2,\ldots,v_k)$ to a basis $(v_1,v_2,. Why royden tries to include set. Recall that from the uniform continuity theorem that if a function i = [a, b] is a closed. Define Extension Theorem.
From owlcation.com
How to Use Factor Theorem in Finding the Factors of Polynomials (With Define Extension Theorem Caratheodory's extension theorem shows that it. You can extend list of linearly independent vectors $(v_1,v_2,\ldots,v_k)$ to a basis $(v_1,v_2,. Learn how to extend continuous and differentiable functions to the whole real line using various methods and results. It is off the topic, but i have one more question. Recall that from the uniform continuity theorem that if a function i. Define Extension Theorem.
From www.media4math.com
Math Definitions Collection Geometry Theorems and Postulates Media4Math Define Extension Theorem Why royden tries to include set. It is off the topic, but i have one more question. You can extend list of linearly independent vectors $(v_1,v_2,\ldots,v_k)$ to a basis $(v_1,v_2,. Recall that from the uniform continuity theorem that if a function i = [a, b] is a closed and bounded. Theorems on extension of functions often rely on compactness and. Define Extension Theorem.
From www.youtube.com
2.5 Continuous Extension to a Point YouTube Define Extension Theorem You can extend list of linearly independent vectors $(v_1,v_2,\ldots,v_k)$ to a basis $(v_1,v_2,. Why royden tries to include set. Theorems on extension of functions often rely on compactness and other topological properties to ensure that a function can be extended. Caratheodory's extension theorem shows that it. What is the carathéodory extension theorem? Recall that from the uniform continuity theorem that. Define Extension Theorem.
From www.slideserve.com
PPT 61 Congruent Figures, Classifying Triangles, and Related Define Extension Theorem What is the carathéodory extension theorem? Theorems on extension of functions often rely on compactness and other topological properties to ensure that a function can be extended. You can extend list of linearly independent vectors $(v_1,v_2,\ldots,v_k)$ to a basis $(v_1,v_2,. Why royden tries to include set. Recall that from the uniform continuity theorem that if a function i = [a,. Define Extension Theorem.
From atelier-yuwa.ciao.jp
Pin On Hair Cuts atelieryuwa.ciao.jp Define Extension Theorem Theorems on extension of functions often rely on compactness and other topological properties to ensure that a function can be extended. Learn how to extend continuous and differentiable functions to the whole real line using various methods and results. What is the carathéodory extension theorem? It is off the topic, but i have one more question. Why royden tries to. Define Extension Theorem.
From math.stackexchange.com
Can we define the Lebesgue measure \mu\mathcal{L}(\mathbb{R})\to[0 Define Extension Theorem Theorems on extension of functions often rely on compactness and other topological properties to ensure that a function can be extended. Learn how to extend continuous and differentiable functions to the whole real line using various methods and results. Caratheodory's extension theorem shows that it. Why royden tries to include set. Recall that from the uniform continuity theorem that if. Define Extension Theorem.
From studylib.net
The Isotopy Extension Theorem Define Extension Theorem It is off the topic, but i have one more question. Theorems on extension of functions often rely on compactness and other topological properties to ensure that a function can be extended. What is the carathéodory extension theorem? You can extend list of linearly independent vectors $(v_1,v_2,\ldots,v_k)$ to a basis $(v_1,v_2,. Learn how to extend continuous and differentiable functions to. Define Extension Theorem.
From www.youtube.com
ST342 022 Carathéodory Extension Theorem 2 of 2 YouTube Define Extension Theorem Recall that from the uniform continuity theorem that if a function i = [a, b] is a closed and bounded. It is off the topic, but i have one more question. You can extend list of linearly independent vectors $(v_1,v_2,\ldots,v_k)$ to a basis $(v_1,v_2,. Why royden tries to include set. What is the carathéodory extension theorem? Caratheodory's extension theorem shows. Define Extension Theorem.
From www.youtube.com
Euclidean /Circle Geometry Theorem 5 YouTube Define Extension Theorem Recall that from the uniform continuity theorem that if a function i = [a, b] is a closed and bounded. Caratheodory's extension theorem shows that it. It is off the topic, but i have one more question. You can extend list of linearly independent vectors $(v_1,v_2,\ldots,v_k)$ to a basis $(v_1,v_2,. Theorems on extension of functions often rely on compactness and. Define Extension Theorem.
From www.studocu.com
Conjugate Root Theorems and Binomial Theorem Conjugate Root Theorems Define Extension Theorem Theorems on extension of functions often rely on compactness and other topological properties to ensure that a function can be extended. Caratheodory's extension theorem shows that it. You can extend list of linearly independent vectors $(v_1,v_2,\ldots,v_k)$ to a basis $(v_1,v_2,. Why royden tries to include set. Learn how to extend continuous and differentiable functions to the whole real line using. Define Extension Theorem.
From www.youtube.com
EXTENSION THEOREM OF BASIS LINEAR ALGEBRA 🔥 YouTube Define Extension Theorem It is off the topic, but i have one more question. What is the carathéodory extension theorem? Learn how to extend continuous and differentiable functions to the whole real line using various methods and results. Caratheodory's extension theorem shows that it. Why royden tries to include set. You can extend list of linearly independent vectors $(v_1,v_2,\ldots,v_k)$ to a basis $(v_1,v_2,.. Define Extension Theorem.
From www.researchgate.net
(PDF) An extension theorem for a functional equation Define Extension Theorem Learn how to extend continuous and differentiable functions to the whole real line using various methods and results. Theorems on extension of functions often rely on compactness and other topological properties to ensure that a function can be extended. Why royden tries to include set. What is the carathéodory extension theorem? Recall that from the uniform continuity theorem that if. Define Extension Theorem.
From www.teachoo.com
Theorem 6.2 Converse of Basic Proportionality Theorem Theorems Define Extension Theorem Why royden tries to include set. Recall that from the uniform continuity theorem that if a function i = [a, b] is a closed and bounded. You can extend list of linearly independent vectors $(v_1,v_2,\ldots,v_k)$ to a basis $(v_1,v_2,. Learn how to extend continuous and differentiable functions to the whole real line using various methods and results. What is the. Define Extension Theorem.