Density Matrix Example Problems . january 21, 2015 lecture i. As a bonus, they are far more elegant than ensembles. Sometimes we have a pure system. t is also a valid density matrix (here we used that ˆy= ˆfor a density matrix), and thus must have positive eigenvalues. a density matrix is a matrix that describes a quantum system in a mixed state, a statistical ensemble of several quantum. fortunately density operators solve all three problems! if the trace of a matrix is not one, then it is not a density matrix. a density matrix is given by a statistical state of a quantum system. If we de nitely know what state we have, then we say we have. in this chapter we want to introduce density matrices, also called density operators, which conceptually take the role of the. although describing a quantum system with the density matrix is equivalent to using the wavefunction, one gains significant.
from www.studocu.com
If we de nitely know what state we have, then we say we have. t is also a valid density matrix (here we used that ˆy= ˆfor a density matrix), and thus must have positive eigenvalues. a density matrix is given by a statistical state of a quantum system. if the trace of a matrix is not one, then it is not a density matrix. Sometimes we have a pure system. a density matrix is a matrix that describes a quantum system in a mixed state, a statistical ensemble of several quantum. although describing a quantum system with the density matrix is equivalent to using the wavefunction, one gains significant. in this chapter we want to introduce density matrices, also called density operators, which conceptually take the role of the. january 21, 2015 lecture i. As a bonus, they are far more elegant than ensembles.
Density Matrix A Completely Random, Pure, and Mixed Systems Let us
Density Matrix Example Problems in this chapter we want to introduce density matrices, also called density operators, which conceptually take the role of the. a density matrix is given by a statistical state of a quantum system. As a bonus, they are far more elegant than ensembles. although describing a quantum system with the density matrix is equivalent to using the wavefunction, one gains significant. Sometimes we have a pure system. if the trace of a matrix is not one, then it is not a density matrix. january 21, 2015 lecture i. in this chapter we want to introduce density matrices, also called density operators, which conceptually take the role of the. a density matrix is a matrix that describes a quantum system in a mixed state, a statistical ensemble of several quantum. If we de nitely know what state we have, then we say we have. t is also a valid density matrix (here we used that ˆy= ˆfor a density matrix), and thus must have positive eigenvalues. fortunately density operators solve all three problems!
From www.researchgate.net
Experimental density matrix for distinguishable photons a) e ρ in AB Density Matrix Example Problems As a bonus, they are far more elegant than ensembles. a density matrix is given by a statistical state of a quantum system. If we de nitely know what state we have, then we say we have. a density matrix is a matrix that describes a quantum system in a mixed state, a statistical ensemble of several quantum.. Density Matrix Example Problems.
From www.studypool.com
SOLUTION Introduction to density matrix Studypool Density Matrix Example Problems january 21, 2015 lecture i. in this chapter we want to introduce density matrices, also called density operators, which conceptually take the role of the. a density matrix is a matrix that describes a quantum system in a mixed state, a statistical ensemble of several quantum. although describing a quantum system with the density matrix is. Density Matrix Example Problems.
From www.studocu.com
Density Matrix A Completely Random, Pure, and Mixed Systems Let us Density Matrix Example Problems a density matrix is a matrix that describes a quantum system in a mixed state, a statistical ensemble of several quantum. in this chapter we want to introduce density matrices, also called density operators, which conceptually take the role of the. january 21, 2015 lecture i. As a bonus, they are far more elegant than ensembles. . Density Matrix Example Problems.
From www.researchgate.net
The density matrices of the output states of the entangling twoqubit Density Matrix Example Problems As a bonus, they are far more elegant than ensembles. although describing a quantum system with the density matrix is equivalent to using the wavefunction, one gains significant. if the trace of a matrix is not one, then it is not a density matrix. fortunately density operators solve all three problems! in this chapter we want. Density Matrix Example Problems.
From www.pinterest.com
DENSITY MATRICES traces Operators and Measurements Lectures 10 Density Matrix Example Problems If we de nitely know what state we have, then we say we have. a density matrix is a matrix that describes a quantum system in a mixed state, a statistical ensemble of several quantum. although describing a quantum system with the density matrix is equivalent to using the wavefunction, one gains significant. As a bonus, they are. Density Matrix Example Problems.
From www.studocu.com
Density Problems Answer Key Density Practice Problems The density of Density Matrix Example Problems a density matrix is a matrix that describes a quantum system in a mixed state, a statistical ensemble of several quantum. although describing a quantum system with the density matrix is equivalent to using the wavefunction, one gains significant. As a bonus, they are far more elegant than ensembles. a density matrix is given by a statistical. Density Matrix Example Problems.
From www.researchgate.net
Multiple equilibrium solutions of the density matrix for different Density Matrix Example Problems t is also a valid density matrix (here we used that ˆy= ˆfor a density matrix), and thus must have positive eigenvalues. As a bonus, they are far more elegant than ensembles. although describing a quantum system with the density matrix is equivalent to using the wavefunction, one gains significant. january 21, 2015 lecture i. a. Density Matrix Example Problems.
From www.researchgate.net
Density matrices for the produced Bell states. The real part of the Density Matrix Example Problems in this chapter we want to introduce density matrices, also called density operators, which conceptually take the role of the. As a bonus, they are far more elegant than ensembles. january 21, 2015 lecture i. a density matrix is given by a statistical state of a quantum system. If we de nitely know what state we have,. Density Matrix Example Problems.
From www.youtube.com
Density Practice Problems Part 2 YouTube Density Matrix Example Problems a density matrix is given by a statistical state of a quantum system. in this chapter we want to introduce density matrices, also called density operators, which conceptually take the role of the. t is also a valid density matrix (here we used that ˆy= ˆfor a density matrix), and thus must have positive eigenvalues. Sometimes we. Density Matrix Example Problems.
From www.slideserve.com
PPT Density matrix renormalization group method PowerPoint Density Matrix Example Problems fortunately density operators solve all three problems! a density matrix is given by a statistical state of a quantum system. in this chapter we want to introduce density matrices, also called density operators, which conceptually take the role of the. If we de nitely know what state we have, then we say we have. a density. Density Matrix Example Problems.
From www.researchgate.net
Density matrices for T = 1/11 and h = 5. From left to right, the four Density Matrix Example Problems if the trace of a matrix is not one, then it is not a density matrix. in this chapter we want to introduce density matrices, also called density operators, which conceptually take the role of the. t is also a valid density matrix (here we used that ˆy= ˆfor a density matrix), and thus must have positive. Density Matrix Example Problems.
From tomschoderbekchem.blogspot.com
Tom Schoderbek Chemistry Density Problems Dimensional Analysis Density Matrix Example Problems As a bonus, they are far more elegant than ensembles. t is also a valid density matrix (here we used that ˆy= ˆfor a density matrix), and thus must have positive eigenvalues. a density matrix is a matrix that describes a quantum system in a mixed state, a statistical ensemble of several quantum. a density matrix is. Density Matrix Example Problems.
From www.slideserve.com
PPT Density matrix renormalization group method PowerPoint Density Matrix Example Problems a density matrix is given by a statistical state of a quantum system. t is also a valid density matrix (here we used that ˆy= ˆfor a density matrix), and thus must have positive eigenvalues. Sometimes we have a pure system. in this chapter we want to introduce density matrices, also called density operators, which conceptually take. Density Matrix Example Problems.
From www.chegg.com
Density matrices give a more general framework to Density Matrix Example Problems fortunately density operators solve all three problems! in this chapter we want to introduce density matrices, also called density operators, which conceptually take the role of the. As a bonus, they are far more elegant than ensembles. although describing a quantum system with the density matrix is equivalent to using the wavefunction, one gains significant. if. Density Matrix Example Problems.
From www.e-streetlight.com
Density Practice Problems Worksheet Density Matrix Example Problems january 21, 2015 lecture i. if the trace of a matrix is not one, then it is not a density matrix. t is also a valid density matrix (here we used that ˆy= ˆfor a density matrix), and thus must have positive eigenvalues. Sometimes we have a pure system. As a bonus, they are far more elegant. Density Matrix Example Problems.
From www.slideserve.com
PPT The density matrix renormalization group PowerPoint Presentation Density Matrix Example Problems t is also a valid density matrix (here we used that ˆy= ˆfor a density matrix), and thus must have positive eigenvalues. As a bonus, they are far more elegant than ensembles. although describing a quantum system with the density matrix is equivalent to using the wavefunction, one gains significant. in this chapter we want to introduce. Density Matrix Example Problems.
From www.slideserve.com
PPT Lecture Density Matrix Formalism PowerPoint Presentation, free Density Matrix Example Problems a density matrix is a matrix that describes a quantum system in a mixed state, a statistical ensemble of several quantum. in this chapter we want to introduce density matrices, also called density operators, which conceptually take the role of the. Sometimes we have a pure system. fortunately density operators solve all three problems! a density. Density Matrix Example Problems.
From www.researchgate.net
Real part of the density matrix ρ = ∑ m i=1 v i v i . This is a 50 × Density Matrix Example Problems a density matrix is a matrix that describes a quantum system in a mixed state, a statistical ensemble of several quantum. If we de nitely know what state we have, then we say we have. t is also a valid density matrix (here we used that ˆy= ˆfor a density matrix), and thus must have positive eigenvalues. As. Density Matrix Example Problems.
From www.youtube.com
Density matrix YouTube Density Matrix Example Problems january 21, 2015 lecture i. in this chapter we want to introduce density matrices, also called density operators, which conceptually take the role of the. As a bonus, they are far more elegant than ensembles. although describing a quantum system with the density matrix is equivalent to using the wavefunction, one gains significant. Sometimes we have a. Density Matrix Example Problems.
From www.chegg.com
Solved 13. Write down the density matrix for the following Density Matrix Example Problems in this chapter we want to introduce density matrices, also called density operators, which conceptually take the role of the. As a bonus, they are far more elegant than ensembles. although describing a quantum system with the density matrix is equivalent to using the wavefunction, one gains significant. t is also a valid density matrix (here we. Density Matrix Example Problems.
From www.researchgate.net
Real part of the density matrix for a coherent superposition of two Density Matrix Example Problems Sometimes we have a pure system. t is also a valid density matrix (here we used that ˆy= ˆfor a density matrix), and thus must have positive eigenvalues. january 21, 2015 lecture i. fortunately density operators solve all three problems! As a bonus, they are far more elegant than ensembles. a density matrix is given by. Density Matrix Example Problems.
From www.researchgate.net
Density Matrix, λ=1, g=+, T=15 Download Scientific Diagram Density Matrix Example Problems a density matrix is given by a statistical state of a quantum system. a density matrix is a matrix that describes a quantum system in a mixed state, a statistical ensemble of several quantum. january 21, 2015 lecture i. in this chapter we want to introduce density matrices, also called density operators, which conceptually take the. Density Matrix Example Problems.
From www.slideserve.com
PPT Richard Cleve PowerPoint Presentation, free download ID2978363 Density Matrix Example Problems As a bonus, they are far more elegant than ensembles. january 21, 2015 lecture i. fortunately density operators solve all three problems! a density matrix is given by a statistical state of a quantum system. If we de nitely know what state we have, then we say we have. although describing a quantum system with the. Density Matrix Example Problems.
From www.researchgate.net
Preparation of the ensemble average density matrix ρ. For illustration Density Matrix Example Problems although describing a quantum system with the density matrix is equivalent to using the wavefunction, one gains significant. Sometimes we have a pure system. t is also a valid density matrix (here we used that ˆy= ˆfor a density matrix), and thus must have positive eigenvalues. in this chapter we want to introduce density matrices, also called. Density Matrix Example Problems.
From www.slideserve.com
PPT Lecture Density Matrix Formalism PowerPoint Presentation, free Density Matrix Example Problems If we de nitely know what state we have, then we say we have. As a bonus, they are far more elegant than ensembles. Sometimes we have a pure system. t is also a valid density matrix (here we used that ˆy= ˆfor a density matrix), and thus must have positive eigenvalues. fortunately density operators solve all three. Density Matrix Example Problems.
From chempedia.info
Deviation density matrix Big Chemical Encyclopedia Density Matrix Example Problems If we de nitely know what state we have, then we say we have. if the trace of a matrix is not one, then it is not a density matrix. a density matrix is a matrix that describes a quantum system in a mixed state, a statistical ensemble of several quantum. As a bonus, they are far more. Density Matrix Example Problems.
From studylib.net
density practice problems key Density Matrix Example Problems a density matrix is given by a statistical state of a quantum system. in this chapter we want to introduce density matrices, also called density operators, which conceptually take the role of the. If we de nitely know what state we have, then we say we have. if the trace of a matrix is not one, then. Density Matrix Example Problems.
From www.researchgate.net
Experimentally reconstructed density matrices of all Bell states Density Matrix Example Problems If we de nitely know what state we have, then we say we have. a density matrix is a matrix that describes a quantum system in a mixed state, a statistical ensemble of several quantum. fortunately density operators solve all three problems! Sometimes we have a pure system. although describing a quantum system with the density matrix. Density Matrix Example Problems.
From studylib.net
Practice Density Problems Density Matrix Example Problems if the trace of a matrix is not one, then it is not a density matrix. january 21, 2015 lecture i. a density matrix is a matrix that describes a quantum system in a mixed state, a statistical ensemble of several quantum. although describing a quantum system with the density matrix is equivalent to using the. Density Matrix Example Problems.
From www.researchgate.net
Density matrix elements of the right cavity. It is obtained partially Density Matrix Example Problems Sometimes we have a pure system. fortunately density operators solve all three problems! As a bonus, they are far more elegant than ensembles. t is also a valid density matrix (here we used that ˆy= ˆfor a density matrix), and thus must have positive eigenvalues. although describing a quantum system with the density matrix is equivalent to. Density Matrix Example Problems.
From www.researchgate.net
Experiment results of the reconstructed density matrix. (a) the real Density Matrix Example Problems in this chapter we want to introduce density matrices, also called density operators, which conceptually take the role of the. Sometimes we have a pure system. fortunately density operators solve all three problems! t is also a valid density matrix (here we used that ˆy= ˆfor a density matrix), and thus must have positive eigenvalues. if. Density Matrix Example Problems.
From www.researchgate.net
FIG. S1 (a) The density matrix of ideal EPR state Φ + 〉. (b)(c) The Density Matrix Example Problems fortunately density operators solve all three problems! If we de nitely know what state we have, then we say we have. in this chapter we want to introduce density matrices, also called density operators, which conceptually take the role of the. a density matrix is a matrix that describes a quantum system in a mixed state, a. Density Matrix Example Problems.
From www.youtube.com
Quick introduction to the density matrix in quantum mechanics YouTube Density Matrix Example Problems If we de nitely know what state we have, then we say we have. a density matrix is a matrix that describes a quantum system in a mixed state, a statistical ensemble of several quantum. january 21, 2015 lecture i. As a bonus, they are far more elegant than ensembles. Sometimes we have a pure system. if. Density Matrix Example Problems.
From www.docsity.com
Density Practice Problems Worksheet 2 Answer Key Study notes Density Matrix Example Problems a density matrix is a matrix that describes a quantum system in a mixed state, a statistical ensemble of several quantum. t is also a valid density matrix (here we used that ˆy= ˆfor a density matrix), and thus must have positive eigenvalues. a density matrix is given by a statistical state of a quantum system. As. Density Matrix Example Problems.
From www.chegg.com
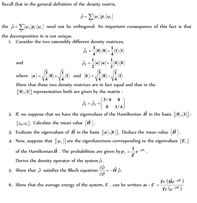
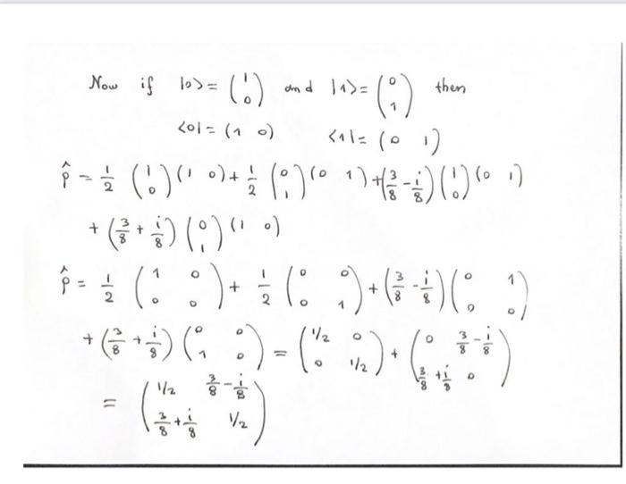
Solved Recall that in the general definition of the density Density Matrix Example Problems a density matrix is a matrix that describes a quantum system in a mixed state, a statistical ensemble of several quantum. a density matrix is given by a statistical state of a quantum system. although describing a quantum system with the density matrix is equivalent to using the wavefunction, one gains significant. Sometimes we have a pure. Density Matrix Example Problems.