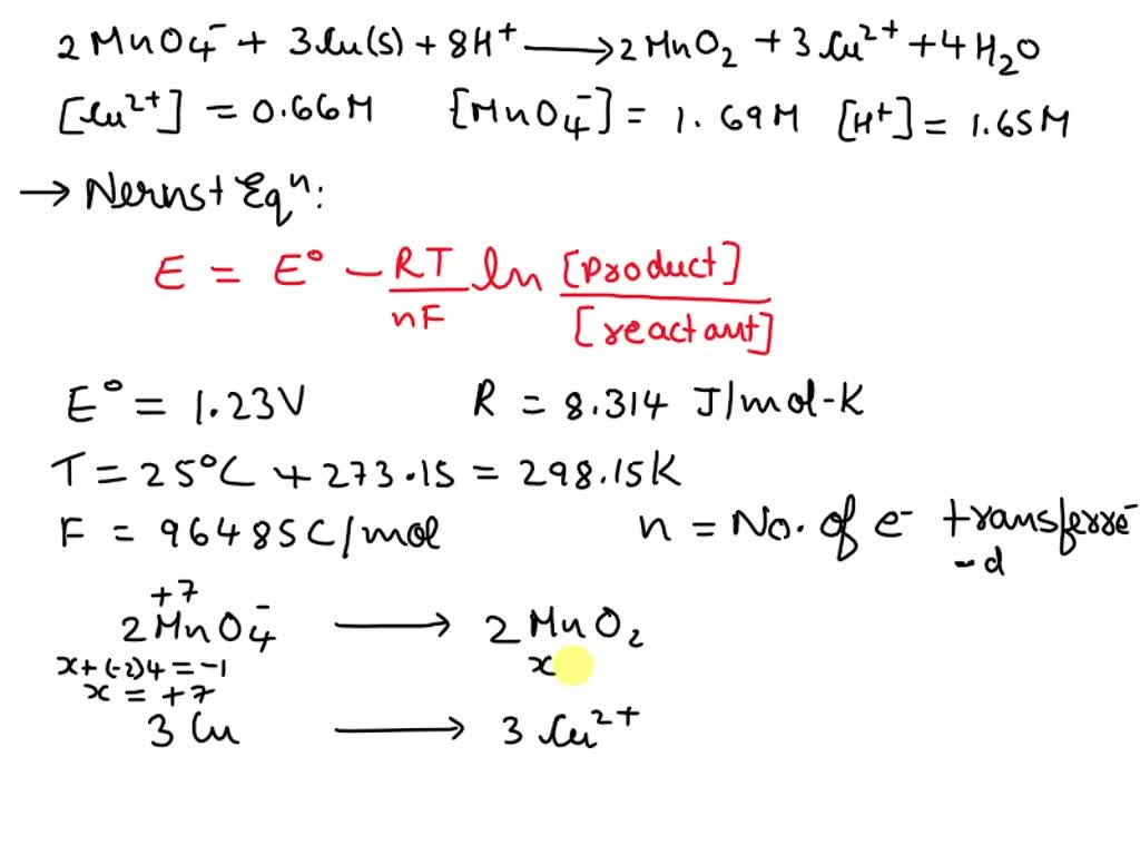
Cell Potential Under Nonstandard Conditions . The cell is not creating a. Calculate \(e_{cell}\) for this reaction under the following nonstandard conditions and determine whether it will occur. Changes in temperature and concentration of aqueous ions will affect the. The nernst equation allows us to determine the spontaneous direction of any redox reaction under any reaction conditions from. Chad provides a lesson on how to calculate cell potential under nonstandard conditions. The n value refers to the number of electrons. Substituting the equation of change in free energy with the cell potential results in a modified equation known as the nernst. It is dependent on the number of. The nernst equation describes the variation in the potential of a redox system (such as a galvanic cell) from its standard state value. Only the soluble species (or gases) affect the cell potential, not the solid electrode. Effect of concentration on electrode potential. As a cell reaches equilibrium, the reaction quotient reaches the equilibrium constant, k, (q = k ) and the magnitude of the cell potential decreases to zero.
from www.coursehero.com
As a cell reaches equilibrium, the reaction quotient reaches the equilibrium constant, k, (q = k ) and the magnitude of the cell potential decreases to zero. The nernst equation allows us to determine the spontaneous direction of any redox reaction under any reaction conditions from. Only the soluble species (or gases) affect the cell potential, not the solid electrode. Changes in temperature and concentration of aqueous ions will affect the. Effect of concentration on electrode potential. The nernst equation describes the variation in the potential of a redox system (such as a galvanic cell) from its standard state value. Chad provides a lesson on how to calculate cell potential under nonstandard conditions. Substituting the equation of change in free energy with the cell potential results in a modified equation known as the nernst. It is dependent on the number of. Calculate \(e_{cell}\) for this reaction under the following nonstandard conditions and determine whether it will occur.
[Solved] Describe the change in cell potential, under nonstandard
Cell Potential Under Nonstandard Conditions It is dependent on the number of. Changes in temperature and concentration of aqueous ions will affect the. Chad provides a lesson on how to calculate cell potential under nonstandard conditions. As a cell reaches equilibrium, the reaction quotient reaches the equilibrium constant, k, (q = k ) and the magnitude of the cell potential decreases to zero. The cell is not creating a. It is dependent on the number of. The n value refers to the number of electrons. Calculate \(e_{cell}\) for this reaction under the following nonstandard conditions and determine whether it will occur. Only the soluble species (or gases) affect the cell potential, not the solid electrode. Substituting the equation of change in free energy with the cell potential results in a modified equation known as the nernst. The nernst equation allows us to determine the spontaneous direction of any redox reaction under any reaction conditions from. Effect of concentration on electrode potential. The nernst equation describes the variation in the potential of a redox system (such as a galvanic cell) from its standard state value.
From www.coursehero.com
[Solved] Describe the change in cell potential, under nonstandard Cell Potential Under Nonstandard Conditions The nernst equation allows us to determine the spontaneous direction of any redox reaction under any reaction conditions from. The cell is not creating a. Changes in temperature and concentration of aqueous ions will affect the. The n value refers to the number of electrons. Only the soluble species (or gases) affect the cell potential, not the solid electrode. Calculate. Cell Potential Under Nonstandard Conditions.
From www.youtube.com
Cell Voltages NonStandard Conditions YouTube Cell Potential Under Nonstandard Conditions Chad provides a lesson on how to calculate cell potential under nonstandard conditions. Changes in temperature and concentration of aqueous ions will affect the. The cell is not creating a. Only the soluble species (or gases) affect the cell potential, not the solid electrode. As a cell reaches equilibrium, the reaction quotient reaches the equilibrium constant, k, (q = k. Cell Potential Under Nonstandard Conditions.
From www.wizeprep.com
Important Equations + Nonstandard conditions (Nernst Equation) Wize Cell Potential Under Nonstandard Conditions Effect of concentration on electrode potential. As a cell reaches equilibrium, the reaction quotient reaches the equilibrium constant, k, (q = k ) and the magnitude of the cell potential decreases to zero. The nernst equation describes the variation in the potential of a redox system (such as a galvanic cell) from its standard state value. The n value refers. Cell Potential Under Nonstandard Conditions.
From www.numerade.com
SOLVED Predict cell potential under nonstandard conditions. What is Cell Potential Under Nonstandard Conditions The nernst equation allows us to determine the spontaneous direction of any redox reaction under any reaction conditions from. As a cell reaches equilibrium, the reaction quotient reaches the equilibrium constant, k, (q = k ) and the magnitude of the cell potential decreases to zero. The nernst equation describes the variation in the potential of a redox system (such. Cell Potential Under Nonstandard Conditions.
From www.slideserve.com
PPT CELL POTENTIAL, E PowerPoint Presentation, free download ID3222718 Cell Potential Under Nonstandard Conditions The nernst equation allows us to determine the spontaneous direction of any redox reaction under any reaction conditions from. Effect of concentration on electrode potential. It is dependent on the number of. The n value refers to the number of electrons. The nernst equation describes the variation in the potential of a redox system (such as a galvanic cell) from. Cell Potential Under Nonstandard Conditions.
From general.chemistrysteps.com
Cell Potential, Free Energy, and Equilibrium Constant Chemistry Steps Cell Potential Under Nonstandard Conditions The nernst equation describes the variation in the potential of a redox system (such as a galvanic cell) from its standard state value. Effect of concentration on electrode potential. As a cell reaches equilibrium, the reaction quotient reaches the equilibrium constant, k, (q = k ) and the magnitude of the cell potential decreases to zero. The nernst equation allows. Cell Potential Under Nonstandard Conditions.
From www.chegg.com
Solved Cell Potential Under Nonstandard Conditions Practice Cell Potential Under Nonstandard Conditions Substituting the equation of change in free energy with the cell potential results in a modified equation known as the nernst. It is dependent on the number of. The n value refers to the number of electrons. As a cell reaches equilibrium, the reaction quotient reaches the equilibrium constant, k, (q = k ) and the magnitude of the cell. Cell Potential Under Nonstandard Conditions.
From www.numerade.com
SOLVED Part V Calculate Cell Potential Under Nonstandard Condition Cell Potential Under Nonstandard Conditions Substituting the equation of change in free energy with the cell potential results in a modified equation known as the nernst. The cell is not creating a. It is dependent on the number of. As a cell reaches equilibrium, the reaction quotient reaches the equilibrium constant, k, (q = k ) and the magnitude of the cell potential decreases to. Cell Potential Under Nonstandard Conditions.
From www.numerade.com
SOLVEDUnder nonstandard conditions, the halfcell potential can be Cell Potential Under Nonstandard Conditions Substituting the equation of change in free energy with the cell potential results in a modified equation known as the nernst. Only the soluble species (or gases) affect the cell potential, not the solid electrode. As a cell reaches equilibrium, the reaction quotient reaches the equilibrium constant, k, (q = k ) and the magnitude of the cell potential decreases. Cell Potential Under Nonstandard Conditions.
From www.slideserve.com
PPT Electrochemistry PowerPoint Presentation, free download ID321506 Cell Potential Under Nonstandard Conditions Only the soluble species (or gases) affect the cell potential, not the solid electrode. Effect of concentration on electrode potential. The cell is not creating a. Changes in temperature and concentration of aqueous ions will affect the. It is dependent on the number of. Substituting the equation of change in free energy with the cell potential results in a modified. Cell Potential Under Nonstandard Conditions.
From www.youtube.com
9.9 Cell Potential Under Nonstandard Conditions YouTube Cell Potential Under Nonstandard Conditions Effect of concentration on electrode potential. Substituting the equation of change in free energy with the cell potential results in a modified equation known as the nernst. It is dependent on the number of. As a cell reaches equilibrium, the reaction quotient reaches the equilibrium constant, k, (q = k ) and the magnitude of the cell potential decreases to. Cell Potential Under Nonstandard Conditions.
From www.chegg.com
Solved Predict cell potential under nonstandard Cell Potential Under Nonstandard Conditions The cell is not creating a. It is dependent on the number of. Calculate \(e_{cell}\) for this reaction under the following nonstandard conditions and determine whether it will occur. Changes in temperature and concentration of aqueous ions will affect the. The n value refers to the number of electrons. Effect of concentration on electrode potential. The nernst equation allows us. Cell Potential Under Nonstandard Conditions.
From brainly.com
When using the nernst equation to find cell potential under nonstandard Cell Potential Under Nonstandard Conditions It is dependent on the number of. The n value refers to the number of electrons. Only the soluble species (or gases) affect the cell potential, not the solid electrode. Chad provides a lesson on how to calculate cell potential under nonstandard conditions. Calculate \(e_{cell}\) for this reaction under the following nonstandard conditions and determine whether it will occur. The. Cell Potential Under Nonstandard Conditions.
From www.slideserve.com
PPT 14.2b Standard Cells and Cell Potential PowerPoint Presentation Cell Potential Under Nonstandard Conditions Changes in temperature and concentration of aqueous ions will affect the. Only the soluble species (or gases) affect the cell potential, not the solid electrode. The cell is not creating a. As a cell reaches equilibrium, the reaction quotient reaches the equilibrium constant, k, (q = k ) and the magnitude of the cell potential decreases to zero. Calculate \(e_{cell}\). Cell Potential Under Nonstandard Conditions.
From www.youtube.com
AP Chemistry 9.10 Cell Potential Under Nonstandard Conditions YouTube Cell Potential Under Nonstandard Conditions Substituting the equation of change in free energy with the cell potential results in a modified equation known as the nernst. The cell is not creating a. It is dependent on the number of. Effect of concentration on electrode potential. Changes in temperature and concentration of aqueous ions will affect the. The nernst equation describes the variation in the potential. Cell Potential Under Nonstandard Conditions.
From www.youtube.com
Calculating Cell Potential (Ecell) under Nonstandard Conditions YouTube Cell Potential Under Nonstandard Conditions It is dependent on the number of. Effect of concentration on electrode potential. The cell is not creating a. The n value refers to the number of electrons. Only the soluble species (or gases) affect the cell potential, not the solid electrode. The nernst equation describes the variation in the potential of a redox system (such as a galvanic cell). Cell Potential Under Nonstandard Conditions.
From www.youtube.com
How to find the cell potential under nonstandard conditions Nernst Cell Potential Under Nonstandard Conditions Changes in temperature and concentration of aqueous ions will affect the. The nernst equation allows us to determine the spontaneous direction of any redox reaction under any reaction conditions from. As a cell reaches equilibrium, the reaction quotient reaches the equilibrium constant, k, (q = k ) and the magnitude of the cell potential decreases to zero. The cell is. Cell Potential Under Nonstandard Conditions.
From www.youtube.com
9.9 Cell Potential Under Nonstandard Conditions YouTube Cell Potential Under Nonstandard Conditions Substituting the equation of change in free energy with the cell potential results in a modified equation known as the nernst. Chad provides a lesson on how to calculate cell potential under nonstandard conditions. The nernst equation allows us to determine the spontaneous direction of any redox reaction under any reaction conditions from. The nernst equation describes the variation in. Cell Potential Under Nonstandard Conditions.
From salma-has-blevins.blogspot.com
How to Calculate Cell Potential Under Standard Conditions Salmahas Cell Potential Under Nonstandard Conditions It is dependent on the number of. The nernst equation describes the variation in the potential of a redox system (such as a galvanic cell) from its standard state value. Effect of concentration on electrode potential. Only the soluble species (or gases) affect the cell potential, not the solid electrode. Calculate \(e_{cell}\) for this reaction under the following nonstandard conditions. Cell Potential Under Nonstandard Conditions.
From www.chegg.com
Solved The Nernst Equation A nonstandard cell or halfcell Cell Potential Under Nonstandard Conditions Changes in temperature and concentration of aqueous ions will affect the. The nernst equation allows us to determine the spontaneous direction of any redox reaction under any reaction conditions from. Only the soluble species (or gases) affect the cell potential, not the solid electrode. Substituting the equation of change in free energy with the cell potential results in a modified. Cell Potential Under Nonstandard Conditions.
From scienceinfo.com
Cell Potential & Standard Cell Potential Cell Potential Under Nonstandard Conditions The nernst equation allows us to determine the spontaneous direction of any redox reaction under any reaction conditions from. As a cell reaches equilibrium, the reaction quotient reaches the equilibrium constant, k, (q = k ) and the magnitude of the cell potential decreases to zero. The cell is not creating a. It is dependent on the number of. Chad. Cell Potential Under Nonstandard Conditions.
From www.studocu.com
9.9 Cell Potential Under Nonstandard Conditions AP Chemistry Daily Cell Potential Under Nonstandard Conditions Changes in temperature and concentration of aqueous ions will affect the. The n value refers to the number of electrons. Effect of concentration on electrode potential. Calculate \(e_{cell}\) for this reaction under the following nonstandard conditions and determine whether it will occur. As a cell reaches equilibrium, the reaction quotient reaches the equilibrium constant, k, (q = k ) and. Cell Potential Under Nonstandard Conditions.
From www.chegg.com
Solved Predict cell potential under nonstandard conditions. Cell Potential Under Nonstandard Conditions Only the soluble species (or gases) affect the cell potential, not the solid electrode. It is dependent on the number of. The nernst equation describes the variation in the potential of a redox system (such as a galvanic cell) from its standard state value. Effect of concentration on electrode potential. The nernst equation allows us to determine the spontaneous direction. Cell Potential Under Nonstandard Conditions.
From www.numerade.com
SOLVED Calculate the cell potential at 25°C under the following Cell Potential Under Nonstandard Conditions Only the soluble species (or gases) affect the cell potential, not the solid electrode. It is dependent on the number of. Calculate \(e_{cell}\) for this reaction under the following nonstandard conditions and determine whether it will occur. Effect of concentration on electrode potential. Substituting the equation of change in free energy with the cell potential results in a modified equation. Cell Potential Under Nonstandard Conditions.
From www.youtube.com
Video 7 Cell EMF under nonstandard conditions YouTube Cell Potential Under Nonstandard Conditions As a cell reaches equilibrium, the reaction quotient reaches the equilibrium constant, k, (q = k ) and the magnitude of the cell potential decreases to zero. Changes in temperature and concentration of aqueous ions will affect the. The cell is not creating a. Only the soluble species (or gases) affect the cell potential, not the solid electrode. Substituting the. Cell Potential Under Nonstandard Conditions.
From www.numerade.com
The Nernst Equation for a nonstandard cell or halfcell potential can Cell Potential Under Nonstandard Conditions It is dependent on the number of. Chad provides a lesson on how to calculate cell potential under nonstandard conditions. The nernst equation describes the variation in the potential of a redox system (such as a galvanic cell) from its standard state value. The nernst equation allows us to determine the spontaneous direction of any redox reaction under any reaction. Cell Potential Under Nonstandard Conditions.
From www.youtube.com
9 9 cell potential under nonstandard conditions YouTube Cell Potential Under Nonstandard Conditions The n value refers to the number of electrons. Chad provides a lesson on how to calculate cell potential under nonstandard conditions. As a cell reaches equilibrium, the reaction quotient reaches the equilibrium constant, k, (q = k ) and the magnitude of the cell potential decreases to zero. The cell is not creating a. Changes in temperature and concentration. Cell Potential Under Nonstandard Conditions.
From www.studypool.com
SOLUTION 9 9 cell potential under nonstandard conditions Studypool Cell Potential Under Nonstandard Conditions The nernst equation allows us to determine the spontaneous direction of any redox reaction under any reaction conditions from. Effect of concentration on electrode potential. Only the soluble species (or gases) affect the cell potential, not the solid electrode. The cell is not creating a. Chad provides a lesson on how to calculate cell potential under nonstandard conditions. Calculate \(e_{cell}\). Cell Potential Under Nonstandard Conditions.
From www.studypool.com
SOLUTION 9 9 cell potential under nonstandard conditions Studypool Cell Potential Under Nonstandard Conditions As a cell reaches equilibrium, the reaction quotient reaches the equilibrium constant, k, (q = k ) and the magnitude of the cell potential decreases to zero. The nernst equation describes the variation in the potential of a redox system (such as a galvanic cell) from its standard state value. Effect of concentration on electrode potential. Calculate \(e_{cell}\) for this. Cell Potential Under Nonstandard Conditions.
From www.studypool.com
SOLUTION 9 9 cell potential under nonstandard conditions Studypool Cell Potential Under Nonstandard Conditions Substituting the equation of change in free energy with the cell potential results in a modified equation known as the nernst. As a cell reaches equilibrium, the reaction quotient reaches the equilibrium constant, k, (q = k ) and the magnitude of the cell potential decreases to zero. The nernst equation allows us to determine the spontaneous direction of any. Cell Potential Under Nonstandard Conditions.
From www.wizeprep.com
Important Equations + Nonstandard conditions (Nernst Equation) Wize Cell Potential Under Nonstandard Conditions The nernst equation describes the variation in the potential of a redox system (such as a galvanic cell) from its standard state value. Only the soluble species (or gases) affect the cell potential, not the solid electrode. The n value refers to the number of electrons. The nernst equation allows us to determine the spontaneous direction of any redox reaction. Cell Potential Under Nonstandard Conditions.
From www.wizeprep.com
Important Equations + Nonstandard conditions (Nernst Equation) Wize Cell Potential Under Nonstandard Conditions Changes in temperature and concentration of aqueous ions will affect the. It is dependent on the number of. As a cell reaches equilibrium, the reaction quotient reaches the equilibrium constant, k, (q = k ) and the magnitude of the cell potential decreases to zero. The nernst equation allows us to determine the spontaneous direction of any redox reaction under. Cell Potential Under Nonstandard Conditions.
From www.chegg.com
Solved Predict cell potential under nonstandard conditions. Cell Potential Under Nonstandard Conditions The cell is not creating a. Calculate \(e_{cell}\) for this reaction under the following nonstandard conditions and determine whether it will occur. Chad provides a lesson on how to calculate cell potential under nonstandard conditions. It is dependent on the number of. Substituting the equation of change in free energy with the cell potential results in a modified equation known. Cell Potential Under Nonstandard Conditions.
From slidetodoc.com
Cell potentials under nonstandard conditions standard conditions 1 Cell Potential Under Nonstandard Conditions Only the soluble species (or gases) affect the cell potential, not the solid electrode. Calculate \(e_{cell}\) for this reaction under the following nonstandard conditions and determine whether it will occur. Changes in temperature and concentration of aqueous ions will affect the. As a cell reaches equilibrium, the reaction quotient reaches the equilibrium constant, k, (q = k ) and the. Cell Potential Under Nonstandard Conditions.
From www.iitianacademy.com
AP Chemistry 9.9 Cell Potential Under Nonstandard Conditions Exam Cell Potential Under Nonstandard Conditions Calculate \(e_{cell}\) for this reaction under the following nonstandard conditions and determine whether it will occur. Substituting the equation of change in free energy with the cell potential results in a modified equation known as the nernst. As a cell reaches equilibrium, the reaction quotient reaches the equilibrium constant, k, (q = k ) and the magnitude of the cell. Cell Potential Under Nonstandard Conditions.