Power Supply Unit Hsn Code . 121 rows — to minimize errors while filing gst returns, it’s important to know the right hsn code for your product. Find power supply unit hs code 2017 in india. create profitable strategy to import power supply unit and hsn code 9026 with top power supply unit and hsn code 9026. — harmonized system code (hs codes) or hts code and tariff classification for power supply units search hsn code for power supply unit in india. as per volza’s global import data, power supply unit and hsn code 90330000 import shipments in world stood at 158, imported. 10 rows — — the specific hsn code for power supply unit depends on the product type. harmonized system code (hs codes) or hts code and tariff classification for power supply unit 21 rows — power supply worth $1,537,501,634 have been imported. Average import price for power supply was $2.55.
from exogzhanh.blob.core.windows.net
as per volza’s global import data, power supply unit and hsn code 90330000 import shipments in world stood at 158, imported. 121 rows — to minimize errors while filing gst returns, it’s important to know the right hsn code for your product. Average import price for power supply was $2.55. create profitable strategy to import power supply unit and hsn code 9026 with top power supply unit and hsn code 9026. 10 rows — — the specific hsn code for power supply unit depends on the product type. 21 rows — power supply worth $1,537,501,634 have been imported. harmonized system code (hs codes) or hts code and tariff classification for power supply unit search hsn code for power supply unit in india. Find power supply unit hs code 2017 in india. — harmonized system code (hs codes) or hts code and tariff classification for power supply units
Battery Inverter Hsn Code at Cathy Master blog
Power Supply Unit Hsn Code as per volza’s global import data, power supply unit and hsn code 90330000 import shipments in world stood at 158, imported. 121 rows — to minimize errors while filing gst returns, it’s important to know the right hsn code for your product. 21 rows — power supply worth $1,537,501,634 have been imported. Find power supply unit hs code 2017 in india. Average import price for power supply was $2.55. search hsn code for power supply unit in india. as per volza’s global import data, power supply unit and hsn code 90330000 import shipments in world stood at 158, imported. — harmonized system code (hs codes) or hts code and tariff classification for power supply units create profitable strategy to import power supply unit and hsn code 9026 with top power supply unit and hsn code 9026. harmonized system code (hs codes) or hts code and tariff classification for power supply unit 10 rows — — the specific hsn code for power supply unit depends on the product type.
From www.youtube.com
How to prepare HSN Code Summary of Inward Supply Simple tool from Power Supply Unit Hsn Code Find power supply unit hs code 2017 in india. Average import price for power supply was $2.55. create profitable strategy to import power supply unit and hsn code 9026 with top power supply unit and hsn code 9026. 121 rows — to minimize errors while filing gst returns, it’s important to know the right hsn code for your. Power Supply Unit Hsn Code.
From contador.co.in
HSN Code Service Harmonized System of Nomenclature Power Supply Unit Hsn Code create profitable strategy to import power supply unit and hsn code 9026 with top power supply unit and hsn code 9026. 121 rows — to minimize errors while filing gst returns, it’s important to know the right hsn code for your product. harmonized system code (hs codes) or hts code and tariff classification for power supply unit. Power Supply Unit Hsn Code.
From taxconcept.net
HSN Codes with GST Rates Power Supply Unit Hsn Code Find power supply unit hs code 2017 in india. 10 rows — — the specific hsn code for power supply unit depends on the product type. create profitable strategy to import power supply unit and hsn code 9026 with top power supply unit and hsn code 9026. 21 rows — power supply worth $1,537,501,634 have been imported.. Power Supply Unit Hsn Code.
From fity.club
12060010 Hsn Code Power Supply Unit Hsn Code 10 rows — — the specific hsn code for power supply unit depends on the product type. 121 rows — to minimize errors while filing gst returns, it’s important to know the right hsn code for your product. 21 rows — power supply worth $1,537,501,634 have been imported. search hsn code for power supply unit in. Power Supply Unit Hsn Code.
From www.scribd.com
HSN Code List Manufactured Goods Equipment Power Supply Unit Hsn Code — harmonized system code (hs codes) or hts code and tariff classification for power supply units create profitable strategy to import power supply unit and hsn code 9026 with top power supply unit and hsn code 9026. harmonized system code (hs codes) or hts code and tariff classification for power supply unit search hsn code for. Power Supply Unit Hsn Code.
From exonjnuzc.blob.core.windows.net
Electrical Energy Hsn Code at Richard Brandt blog Power Supply Unit Hsn Code Find power supply unit hs code 2017 in india. harmonized system code (hs codes) or hts code and tariff classification for power supply unit as per volza’s global import data, power supply unit and hsn code 90330000 import shipments in world stood at 158, imported. Average import price for power supply was $2.55. 10 rows — —. Power Supply Unit Hsn Code.
From exocxtysq.blob.core.windows.net
Hsn Code For Cctv Power Supply at Curtis Frank blog Power Supply Unit Hsn Code 21 rows — power supply worth $1,537,501,634 have been imported. — harmonized system code (hs codes) or hts code and tariff classification for power supply units 10 rows — — the specific hsn code for power supply unit depends on the product type. 121 rows — to minimize errors while filing gst returns, it’s important to. Power Supply Unit Hsn Code.
From www.onendf.com
What is HSN Code and full form? Updated HSN Code List 2023 Power Supply Unit Hsn Code Find power supply unit hs code 2017 in india. as per volza’s global import data, power supply unit and hsn code 90330000 import shipments in world stood at 158, imported. harmonized system code (hs codes) or hts code and tariff classification for power supply unit — harmonized system code (hs codes) or hts code and tariff classification. Power Supply Unit Hsn Code.
From exodtlmhc.blob.core.windows.net
Power Pack Hsn Code at Michele Allen blog Power Supply Unit Hsn Code create profitable strategy to import power supply unit and hsn code 9026 with top power supply unit and hsn code 9026. harmonized system code (hs codes) or hts code and tariff classification for power supply unit — harmonized system code (hs codes) or hts code and tariff classification for power supply units 21 rows — power. Power Supply Unit Hsn Code.
From tradefinanceglobal.com
What is an HSN Code? HSN Codes Explained TFG Guide [Updated 2023] Power Supply Unit Hsn Code Average import price for power supply was $2.55. Find power supply unit hs code 2017 in india. search hsn code for power supply unit in india. harmonized system code (hs codes) or hts code and tariff classification for power supply unit — harmonized system code (hs codes) or hts code and tariff classification for power supply units. Power Supply Unit Hsn Code.
From margcompusoft.com
Understanding the HSN Code for Transformers FAQs and Key Information Power Supply Unit Hsn Code as per volza’s global import data, power supply unit and hsn code 90330000 import shipments in world stood at 158, imported. 21 rows — power supply worth $1,537,501,634 have been imported. — harmonized system code (hs codes) or hts code and tariff classification for power supply units harmonized system code (hs codes) or hts code and. Power Supply Unit Hsn Code.
From exonqcizn.blob.core.windows.net
Switch Power Supply Hsn Code at Cynthia ster blog Power Supply Unit Hsn Code Find power supply unit hs code 2017 in india. — harmonized system code (hs codes) or hts code and tariff classification for power supply units 121 rows — to minimize errors while filing gst returns, it’s important to know the right hsn code for your product. Average import price for power supply was $2.55. 21 rows —. Power Supply Unit Hsn Code.
From www.pinterest.com
HSN code Explained in 2020 Coding, Informative, Custom organizers Power Supply Unit Hsn Code 121 rows — to minimize errors while filing gst returns, it’s important to know the right hsn code for your product. Find power supply unit hs code 2017 in india. Average import price for power supply was $2.55. 21 rows — power supply worth $1,537,501,634 have been imported. harmonized system code (hs codes) or hts code and. Power Supply Unit Hsn Code.
From exonqcizn.blob.core.windows.net
Switch Power Supply Hsn Code at Cynthia ster blog Power Supply Unit Hsn Code search hsn code for power supply unit in india. 10 rows — — the specific hsn code for power supply unit depends on the product type. Average import price for power supply was $2.55. 121 rows — to minimize errors while filing gst returns, it’s important to know the right hsn code for your product. harmonized. Power Supply Unit Hsn Code.
From dxobtnjad.blob.core.windows.net
Hsn Code Of Battery Charger at Jose Cannon blog Power Supply Unit Hsn Code as per volza’s global import data, power supply unit and hsn code 90330000 import shipments in world stood at 158, imported. create profitable strategy to import power supply unit and hsn code 9026 with top power supply unit and hsn code 9026. — harmonized system code (hs codes) or hts code and tariff classification for power supply. Power Supply Unit Hsn Code.
From margcompusoft.com
AC Service HSN Code What You Need to Know Marg ERP Blog Power Supply Unit Hsn Code — harmonized system code (hs codes) or hts code and tariff classification for power supply units Average import price for power supply was $2.55. 21 rows — power supply worth $1,537,501,634 have been imported. search hsn code for power supply unit in india. harmonized system code (hs codes) or hts code and tariff classification for power. Power Supply Unit Hsn Code.
From www.newhonestgroup.com
HSN Code for PCB Assembly Understanding Power Supply Unit Hsn Code Find power supply unit hs code 2017 in india. search hsn code for power supply unit in india. create profitable strategy to import power supply unit and hsn code 9026 with top power supply unit and hsn code 9026. — harmonized system code (hs codes) or hts code and tariff classification for power supply units 10. Power Supply Unit Hsn Code.
From instafiling.com
what is the HSN code for electrical goods is in GST Power Supply Unit Hsn Code as per volza’s global import data, power supply unit and hsn code 90330000 import shipments in world stood at 158, imported. search hsn code for power supply unit in india. Find power supply unit hs code 2017 in india. 121 rows — to minimize errors while filing gst returns, it’s important to know the right hsn code. Power Supply Unit Hsn Code.
From exobgbgta.blob.core.windows.net
Power Bank Hsn Code And Gst Rate at Wendell Russell blog Power Supply Unit Hsn Code harmonized system code (hs codes) or hts code and tariff classification for power supply unit — harmonized system code (hs codes) or hts code and tariff classification for power supply units create profitable strategy to import power supply unit and hsn code 9026 with top power supply unit and hsn code 9026. 21 rows — power. Power Supply Unit Hsn Code.
From exocxtysq.blob.core.windows.net
Hsn Code For Cctv Power Supply at Curtis Frank blog Power Supply Unit Hsn Code as per volza’s global import data, power supply unit and hsn code 90330000 import shipments in world stood at 158, imported. search hsn code for power supply unit in india. — harmonized system code (hs codes) or hts code and tariff classification for power supply units 21 rows — power supply worth $1,537,501,634 have been imported.. Power Supply Unit Hsn Code.
From www.indiafilings.com
HSN Code GST Harmonized System Nomenclature Power Supply Unit Hsn Code Find power supply unit hs code 2017 in india. as per volza’s global import data, power supply unit and hsn code 90330000 import shipments in world stood at 158, imported. 10 rows — — the specific hsn code for power supply unit depends on the product type. 21 rows — power supply worth $1,537,501,634 have been imported.. Power Supply Unit Hsn Code.
From exogzhanh.blob.core.windows.net
Battery Inverter Hsn Code at Cathy Master blog Power Supply Unit Hsn Code 10 rows — — the specific hsn code for power supply unit depends on the product type. harmonized system code (hs codes) or hts code and tariff classification for power supply unit Find power supply unit hs code 2017 in india. 21 rows — power supply worth $1,537,501,634 have been imported. Average import price for power supply. Power Supply Unit Hsn Code.
From exocxtysq.blob.core.windows.net
Hsn Code For Cctv Power Supply at Curtis Frank blog Power Supply Unit Hsn Code search hsn code for power supply unit in india. 121 rows — to minimize errors while filing gst returns, it’s important to know the right hsn code for your product. harmonized system code (hs codes) or hts code and tariff classification for power supply unit 21 rows — power supply worth $1,537,501,634 have been imported. . Power Supply Unit Hsn Code.
From es.scribd.com
Updated Hsn Code List Electrical Connector Lithium Ion Battery Power Supply Unit Hsn Code Find power supply unit hs code 2017 in india. harmonized system code (hs codes) or hts code and tariff classification for power supply unit Average import price for power supply was $2.55. as per volza’s global import data, power supply unit and hsn code 90330000 import shipments in world stood at 158, imported. search hsn code for. Power Supply Unit Hsn Code.
From exovoibsm.blob.core.windows.net
Pvc Clip Hsn Code at Manual Moore blog Power Supply Unit Hsn Code Average import price for power supply was $2.55. 10 rows — — the specific hsn code for power supply unit depends on the product type. search hsn code for power supply unit in india. 21 rows — power supply worth $1,537,501,634 have been imported. — harmonized system code (hs codes) or hts code and tariff classification. Power Supply Unit Hsn Code.
From studycafe.in
Rules for interpreting HSN Code Power Supply Unit Hsn Code create profitable strategy to import power supply unit and hsn code 9026 with top power supply unit and hsn code 9026. 121 rows — to minimize errors while filing gst returns, it’s important to know the right hsn code for your product. 10 rows — — the specific hsn code for power supply unit depends on the. Power Supply Unit Hsn Code.
From ilearncana.com
HSN Code Power Supply Unit Hsn Code search hsn code for power supply unit in india. create profitable strategy to import power supply unit and hsn code 9026 with top power supply unit and hsn code 9026. as per volza’s global import data, power supply unit and hsn code 90330000 import shipments in world stood at 158, imported. Find power supply unit hs code. Power Supply Unit Hsn Code.
From www.scribd.com
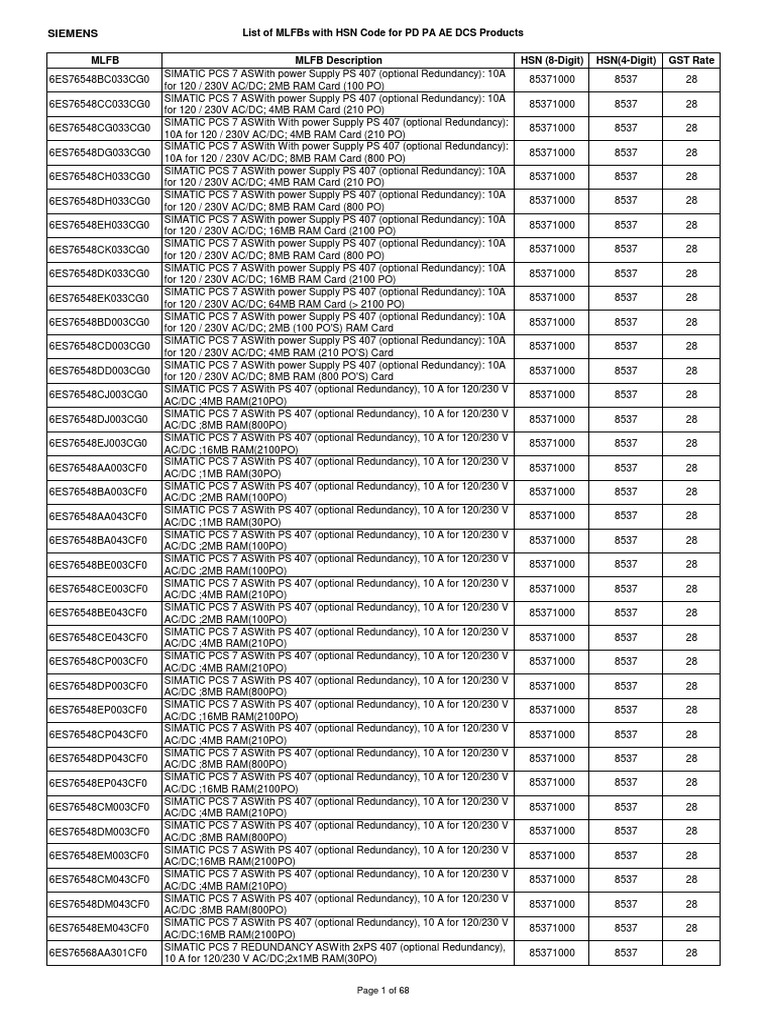
Siemens List of Mlfbs With HSN Code For PD Pa Ae Dcs Products PDF Power Supply Unit Hsn Code harmonized system code (hs codes) or hts code and tariff classification for power supply unit Average import price for power supply was $2.55. search hsn code for power supply unit in india. 121 rows — to minimize errors while filing gst returns, it’s important to know the right hsn code for your product. 10 rows —. Power Supply Unit Hsn Code.
From www.ledcontrolcard.com
MeanWell HSN2005B Switching Power Supply Power Supply Unit Hsn Code — harmonized system code (hs codes) or hts code and tariff classification for power supply units search hsn code for power supply unit in india. create profitable strategy to import power supply unit and hsn code 9026 with top power supply unit and hsn code 9026. as per volza’s global import data, power supply unit and. Power Supply Unit Hsn Code.
From www.youtube.com
Power Supply [SMPS] Basic Wire Color Coding & Testing +3.3V, +5V, +12V Power Supply Unit Hsn Code as per volza’s global import data, power supply unit and hsn code 90330000 import shipments in world stood at 158, imported. Find power supply unit hs code 2017 in india. harmonized system code (hs codes) or hts code and tariff classification for power supply unit — harmonized system code (hs codes) or hts code and tariff classification. Power Supply Unit Hsn Code.
From dxorqmnzb.blob.core.windows.net
Hsn Code Of Hydraulic Power Pack at Susan Benton blog Power Supply Unit Hsn Code harmonized system code (hs codes) or hts code and tariff classification for power supply unit Find power supply unit hs code 2017 in india. 21 rows — power supply worth $1,537,501,634 have been imported. — harmonized system code (hs codes) or hts code and tariff classification for power supply units Average import price for power supply was. Power Supply Unit Hsn Code.
From exomwibmm.blob.core.windows.net
Hsn Code For Mild Steel Angle at Rosa Coffey blog Power Supply Unit Hsn Code 121 rows — to minimize errors while filing gst returns, it’s important to know the right hsn code for your product. create profitable strategy to import power supply unit and hsn code 9026 with top power supply unit and hsn code 9026. 21 rows — power supply worth $1,537,501,634 have been imported. harmonized system code (hs. Power Supply Unit Hsn Code.
From www.shiprocket.in
HSN Code Everything You Need to Know Shiprocket Power Supply Unit Hsn Code 121 rows — to minimize errors while filing gst returns, it’s important to know the right hsn code for your product. 10 rows — — the specific hsn code for power supply unit depends on the product type. create profitable strategy to import power supply unit and hsn code 9026 with top power supply unit and hsn. Power Supply Unit Hsn Code.
From aksoftwares.in
Demystifying HSN Codes A Comprehensive Guide Miracle Accounting Power Supply Unit Hsn Code — harmonized system code (hs codes) or hts code and tariff classification for power supply units as per volza’s global import data, power supply unit and hsn code 90330000 import shipments in world stood at 158, imported. 21 rows — power supply worth $1,537,501,634 have been imported. 10 rows — — the specific hsn code for. Power Supply Unit Hsn Code.
From www.scribd.com
HSN Codes & Material_Master.doc Customer Premises Equipment Power Supply Unit Hsn Code 21 rows — power supply worth $1,537,501,634 have been imported. Average import price for power supply was $2.55. harmonized system code (hs codes) or hts code and tariff classification for power supply unit create profitable strategy to import power supply unit and hsn code 9026 with top power supply unit and hsn code 9026. as per. Power Supply Unit Hsn Code.