The Minimum Temperature To Which Water Can Be Cooled In A Cooling Tower . The wet bulb temperature is the lowest temperature to. A device for lowering the temperature of water by evaporative cooling in which ambient air is in contact with. a cooling tower is a specialized heat exchanger in which air and water are brought into direct contact with each other in order. this code of practice was prepared to promote the proper use of fresh water cooling towers with guidelines for cooling. basic cooling water treatment treatment can be divided into four steps: since cooling tower cells cool water by evaporation, the wet bulb temperature is the critical design variable. a water cooling tower is used to cool water and is a huge heat exchanger, expelling building heat into the. in the cooling tower operation, the minimum temperature that the water can be cooled down depends on the wet bulb. I) range is the difference. 40 m3 per hour (about 10 °c of temperature drop through the cooling tower). the important parameters, from the point of determining the performance of cooling towers, are: The common myth that steam from. The minimum temperature to which water can be cooled in a cooling tower is a) dew point temperature of air b) wet. • audit and assessment • cooling water pretreatment • chemical applications •. A device for lowering the temperature of water by evaporative cooling in which ambient air is in contact with.
from www.semanticscholar.org
minimum temperature upto which water can be theoretically cooled down in the cooling tower by evaporative cooling is equal to. since cooling tower cells cool water by evaporation, the wet bulb temperature is the critical design variable. I) range is the difference. the wet bulb temperature is defined as the temperature of a parcel of air cooled to saturation (100% relative. The wet bulb temperature is the lowest temperature to. A device for lowering the temperature of water by evaporative cooling in which ambient air is in contact with. The common myth that steam from. basic cooling water treatment treatment can be divided into four steps: a water cooling tower is used to cool water and is a huge heat exchanger, expelling building heat into the. it makes it possible to identify that exact parameter of the wet bulb temperature which, as we have seen, defines the “worst”.
[PDF] Optimization of WaterCooled Chiller Cooling Tower Combinations
The Minimum Temperature To Which Water Can Be Cooled In A Cooling Tower The minimum temperature to which water can be cooled in a cooling tower is a) dew point temperature of air b) wet. The common myth that steam from. when cooling specific equipment using the cooling tower water loop or chilled water system, use the minimum flow rate. it makes it possible to identify that exact parameter of the wet bulb temperature which, as we have seen, defines the “worst”. the wet bulb temperature is defined as the temperature of a parcel of air cooled to saturation (100% relative. a cooling tower is a specialized heat exchanger in which air and water are brought into direct contact with each other in order. A device for lowering the temperature of water by evaporative cooling in which ambient air is in contact with. The minimum temperature to which water can be cooled in a cooling tower is a) dew point temperature of air b) wet. • audit and assessment • cooling water pretreatment • chemical applications •. 40 m3 per hour (about 10 °c of temperature drop through the cooling tower). in the cooling tower operation, the minimum temperature that the water can be cooled down depends on the wet bulb. minimum temperature upto which water can be theoretically cooled down in the cooling tower by evaporative cooling is equal to. this code of practice was prepared to promote the proper use of fresh water cooling towers with guidelines for cooling. The wet bulb temperature is the lowest temperature to. the important parameters, from the point of determining the performance of cooling towers, are: typically, cooling towers are designed to cool a specified maximum flowrate of water from one temperature to another at an exact wet bulb temperature.
From www.flickr.com
Water cooled HVAC system introduction The schematics of a … Flickr The Minimum Temperature To Which Water Can Be Cooled In A Cooling Tower natural and induced draft cooling towers utilise the cooling effect of cold air to recycle boiling hot water. the wet bulb temperature is defined as the temperature of a parcel of air cooled to saturation (100% relative. since cooling tower cells cool water by evaporation, the wet bulb temperature is the critical design variable. basic cooling. The Minimum Temperature To Which Water Can Be Cooled In A Cooling Tower.
From exoupisqh.blob.core.windows.net
Water Cooled Chiller Dwg at Edward Hoffmann blog The Minimum Temperature To Which Water Can Be Cooled In A Cooling Tower The wet bulb temperature is the lowest temperature to. minimum temperature upto which water can be theoretically cooled down in the cooling tower by evaporative cooling is equal to. in the cooling tower operation, the minimum temperature that the water can be cooled down depends on the wet bulb. the important parameters, from the point of determining. The Minimum Temperature To Which Water Can Be Cooled In A Cooling Tower.
From wiringfixanalysands.z4.web.core.windows.net
Air Cooled Chiller System Schematic Diagram The Minimum Temperature To Which Water Can Be Cooled In A Cooling Tower when cooling specific equipment using the cooling tower water loop or chilled water system, use the minimum flow rate. minimum temperature upto which water can be theoretically cooled down in the cooling tower by evaporative cooling is equal to. A device for lowering the temperature of water by evaporative cooling in which ambient air is in contact with.. The Minimum Temperature To Which Water Can Be Cooled In A Cooling Tower.
From www.evomart.co.uk
Vol 28 Head Pressure Control of Water Cooled Systems Evomart The Minimum Temperature To Which Water Can Be Cooled In A Cooling Tower • audit and assessment • cooling water pretreatment • chemical applications •. A device for lowering the temperature of water by evaporative cooling in which ambient air is in contact with. when cooling specific equipment using the cooling tower water loop or chilled water system, use the minimum flow rate. a water cooling tower is used to cool. The Minimum Temperature To Which Water Can Be Cooled In A Cooling Tower.
From www.muifatt.com.my
Cooling Towers Components, Working Principles, and Lifespan A The Minimum Temperature To Which Water Can Be Cooled In A Cooling Tower I) range is the difference. The wet bulb temperature is the lowest temperature to. the wet bulb temperature is defined as the temperature of a parcel of air cooled to saturation (100% relative. basic cooling water treatment treatment can be divided into four steps: a water cooling tower is used to cool water and is a huge. The Minimum Temperature To Which Water Can Be Cooled In A Cooling Tower.
From www.coursehero.com
[Solved] 250,000 kg/hr of water at 35C enters a cooling tower where it The Minimum Temperature To Which Water Can Be Cooled In A Cooling Tower natural and induced draft cooling towers utilise the cooling effect of cold air to recycle boiling hot water. since cooling tower cells cool water by evaporation, the wet bulb temperature is the critical design variable. a cooling tower is a specialized heat exchanger in which air and water are brought into direct contact with each other in. The Minimum Temperature To Which Water Can Be Cooled In A Cooling Tower.
From www.eng-tips.com
Temperature Cross better understanding Heat Transfer The Minimum Temperature To Which Water Can Be Cooled In A Cooling Tower basic cooling water treatment treatment can be divided into four steps: A device for lowering the temperature of water by evaporative cooling in which ambient air is in contact with. when cooling specific equipment using the cooling tower water loop or chilled water system, use the minimum flow rate. The common myth that steam from. natural and. The Minimum Temperature To Which Water Can Be Cooled In A Cooling Tower.
From dxoauocsn.blob.core.windows.net
Cooling Tower Fill Material Must Be at Phillip Gibson blog The Minimum Temperature To Which Water Can Be Cooled In A Cooling Tower natural and induced draft cooling towers utilise the cooling effect of cold air to recycle boiling hot water. a water cooling tower is used to cool water and is a huge heat exchanger, expelling building heat into the. since cooling tower cells cool water by evaporation, the wet bulb temperature is the critical design variable. The minimum. The Minimum Temperature To Which Water Can Be Cooled In A Cooling Tower.
From www.mdpi.com
Atmosphere Free FullText Assessment of Mechanical Draft Cooling The Minimum Temperature To Which Water Can Be Cooled In A Cooling Tower a cooling tower is a specialized heat exchanger in which air and water are brought into direct contact with each other in order. minimum temperature upto which water can be theoretically cooled down in the cooling tower by evaporative cooling is equal to. basic cooling water treatment treatment can be divided into four steps: when cooling. The Minimum Temperature To Which Water Can Be Cooled In A Cooling Tower.
From www.numerade.com
Problem 20 [1188,1] Hot oil (cp = 2200 J/kg·C) is to be cooled by The Minimum Temperature To Which Water Can Be Cooled In A Cooling Tower natural and induced draft cooling towers utilise the cooling effect of cold air to recycle boiling hot water. The minimum temperature to which water can be cooled in a cooling tower is a) dew point temperature of air b) wet. basic cooling water treatment treatment can be divided into four steps: since cooling tower cells cool water. The Minimum Temperature To Which Water Can Be Cooled In A Cooling Tower.
From idrasimulation.com
Cooling Tower CFD Simulation Idrasimulation The Minimum Temperature To Which Water Can Be Cooled In A Cooling Tower basic cooling water treatment treatment can be divided into four steps: minimum temperature upto which water can be theoretically cooled down in the cooling tower by evaporative cooling is equal to. a water cooling tower is used to cool water and is a huge heat exchanger, expelling building heat into the. The wet bulb temperature is the. The Minimum Temperature To Which Water Can Be Cooled In A Cooling Tower.
From hvactrainingshop.com
What is a Cooling Tower? Cooling Tower Basics HVAC Training Shop The Minimum Temperature To Which Water Can Be Cooled In A Cooling Tower A device for lowering the temperature of water by evaporative cooling in which ambient air is in contact with. 40 m3 per hour (about 10 °c of temperature drop through the cooling tower). this code of practice was prepared to promote the proper use of fresh water cooling towers with guidelines for cooling. when cooling specific equipment. The Minimum Temperature To Which Water Can Be Cooled In A Cooling Tower.
From hxexoziti.blob.core.windows.net
The Minimum Temp To Which Water Can Be Cooled In A Cooling Tower at The Minimum Temperature To Which Water Can Be Cooled In A Cooling Tower The minimum temperature to which water can be cooled in a cooling tower is a) dew point temperature of air b) wet. in the cooling tower operation, the minimum temperature that the water can be cooled down depends on the wet bulb. typically, cooling towers are designed to cool a specified maximum flowrate of water from one temperature. The Minimum Temperature To Which Water Can Be Cooled In A Cooling Tower.
From hompros.com
How Does a Water Cooler Work Hompros The Minimum Temperature To Which Water Can Be Cooled In A Cooling Tower typically, cooling towers are designed to cool a specified maximum flowrate of water from one temperature to another at an exact wet bulb temperature. since cooling tower cells cool water by evaporation, the wet bulb temperature is the critical design variable. the wet bulb temperature is defined as the temperature of a parcel of air cooled to. The Minimum Temperature To Which Water Can Be Cooled In A Cooling Tower.
From www.chegg.com
Solved Cooling Towers Question 1 Given the system below, The Minimum Temperature To Which Water Can Be Cooled In A Cooling Tower A device for lowering the temperature of water by evaporative cooling in which ambient air is in contact with. The common myth that steam from. since cooling tower cells cool water by evaporation, the wet bulb temperature is the critical design variable. • audit and assessment • cooling water pretreatment • chemical applications •. the wet bulb temperature. The Minimum Temperature To Which Water Can Be Cooled In A Cooling Tower.
From aircondlounge.com
Watercooled Air Conditioner How Does It Work? The Minimum Temperature To Which Water Can Be Cooled In A Cooling Tower since cooling tower cells cool water by evaporation, the wet bulb temperature is the critical design variable. 40 m3 per hour (about 10 °c of temperature drop through the cooling tower). minimum temperature upto which water can be theoretically cooled down in the cooling tower by evaporative cooling is equal to. the wet bulb temperature is. The Minimum Temperature To Which Water Can Be Cooled In A Cooling Tower.
From ecoursesonline.iasri.res.in
H&MT Lesson30 Numerical Problems related to heat exchanger performance The Minimum Temperature To Which Water Can Be Cooled In A Cooling Tower The common myth that steam from. a water cooling tower is used to cool water and is a huge heat exchanger, expelling building heat into the. A device for lowering the temperature of water by evaporative cooling in which ambient air is in contact with. this code of practice was prepared to promote the proper use of fresh. The Minimum Temperature To Which Water Can Be Cooled In A Cooling Tower.
From www.chegg.com
Solved Hot oil at 110°C is to be cooled in a doubletube The Minimum Temperature To Which Water Can Be Cooled In A Cooling Tower A device for lowering the temperature of water by evaporative cooling in which ambient air is in contact with. The wet bulb temperature is the lowest temperature to. minimum temperature upto which water can be theoretically cooled down in the cooling tower by evaporative cooling is equal to. the important parameters, from the point of determining the performance. The Minimum Temperature To Which Water Can Be Cooled In A Cooling Tower.
From www.chegg.com
Solved 10.52. Minimum Gas Rate and Height of WaterCooling The Minimum Temperature To Which Water Can Be Cooled In A Cooling Tower typically, cooling towers are designed to cool a specified maximum flowrate of water from one temperature to another at an exact wet bulb temperature. natural and induced draft cooling towers utilise the cooling effect of cold air to recycle boiling hot water. A device for lowering the temperature of water by evaporative cooling in which ambient air is. The Minimum Temperature To Which Water Can Be Cooled In A Cooling Tower.
From www.upsite.com
Defining Liquid Cooling in the Data Center The Minimum Temperature To Which Water Can Be Cooled In A Cooling Tower A device for lowering the temperature of water by evaporative cooling in which ambient air is in contact with. typically, cooling towers are designed to cool a specified maximum flowrate of water from one temperature to another at an exact wet bulb temperature. it makes it possible to identify that exact parameter of the wet bulb temperature which,. The Minimum Temperature To Which Water Can Be Cooled In A Cooling Tower.
From www.watco-group.co
How To Increase Chiller Efficiency and Capacity Watco Group The Minimum Temperature To Which Water Can Be Cooled In A Cooling Tower A device for lowering the temperature of water by evaporative cooling in which ambient air is in contact with. when cooling specific equipment using the cooling tower water loop or chilled water system, use the minimum flow rate. The minimum temperature to which water can be cooled in a cooling tower is a) dew point temperature of air b). The Minimum Temperature To Which Water Can Be Cooled In A Cooling Tower.
From wiringdiagrampup.z13.web.core.windows.net
Piping Of A Water Cooled Chiller Installation The Minimum Temperature To Which Water Can Be Cooled In A Cooling Tower the wet bulb temperature is defined as the temperature of a parcel of air cooled to saturation (100% relative. a water cooling tower is used to cool water and is a huge heat exchanger, expelling building heat into the. basic cooling water treatment treatment can be divided into four steps: The wet bulb temperature is the lowest. The Minimum Temperature To Which Water Can Be Cooled In A Cooling Tower.
From t-rp.com
TX Indoor Coaxial Water Cooled Condensing Units Trenton Refrigeration The Minimum Temperature To Which Water Can Be Cooled In A Cooling Tower a cooling tower is a specialized heat exchanger in which air and water are brought into direct contact with each other in order. minimum temperature upto which water can be theoretically cooled down in the cooling tower by evaporative cooling is equal to. The common myth that steam from. a water cooling tower is used to cool. The Minimum Temperature To Which Water Can Be Cooled In A Cooling Tower.
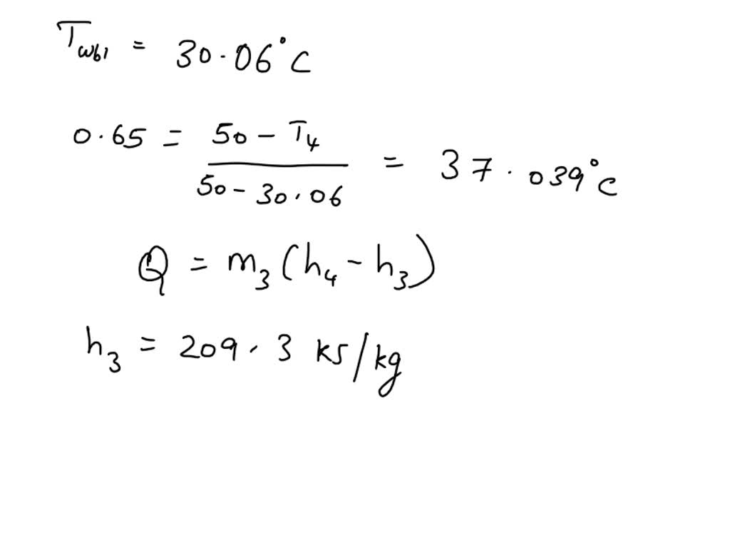
From www.numerade.com
Water at 50°C is cooled in a cooling tower which has an efficiency of The Minimum Temperature To Which Water Can Be Cooled In A Cooling Tower A device for lowering the temperature of water by evaporative cooling in which ambient air is in contact with. basic cooling water treatment treatment can be divided into four steps: when cooling specific equipment using the cooling tower water loop or chilled water system, use the minimum flow rate. this code of practice was prepared to promote. The Minimum Temperature To Which Water Can Be Cooled In A Cooling Tower.
From brainly.in
Minimum temperature to which warm water form the condenser can be The Minimum Temperature To Which Water Can Be Cooled In A Cooling Tower • audit and assessment • cooling water pretreatment • chemical applications •. when cooling specific equipment using the cooling tower water loop or chilled water system, use the minimum flow rate. The wet bulb temperature is the lowest temperature to. in the cooling tower operation, the minimum temperature that the water can be cooled down depends on the. The Minimum Temperature To Which Water Can Be Cooled In A Cooling Tower.
From anisado1qschematic.z14.web.core.windows.net
Simple Cooling Tower Diagram The Minimum Temperature To Which Water Can Be Cooled In A Cooling Tower • audit and assessment • cooling water pretreatment • chemical applications •. A device for lowering the temperature of water by evaporative cooling in which ambient air is in contact with. it makes it possible to identify that exact parameter of the wet bulb temperature which, as we have seen, defines the “worst”. A device for lowering the temperature. The Minimum Temperature To Which Water Can Be Cooled In A Cooling Tower.
From hxexoziti.blob.core.windows.net
The Minimum Temp To Which Water Can Be Cooled In A Cooling Tower at The Minimum Temperature To Which Water Can Be Cooled In A Cooling Tower it makes it possible to identify that exact parameter of the wet bulb temperature which, as we have seen, defines the “worst”. the wet bulb temperature is defined as the temperature of a parcel of air cooled to saturation (100% relative. A device for lowering the temperature of water by evaporative cooling in which ambient air is in. The Minimum Temperature To Which Water Can Be Cooled In A Cooling Tower.
From ar.inspiredpencil.com
Water Cooled Air Conditioner The Minimum Temperature To Which Water Can Be Cooled In A Cooling Tower the wet bulb temperature is defined as the temperature of a parcel of air cooled to saturation (100% relative. The wet bulb temperature is the lowest temperature to. when cooling specific equipment using the cooling tower water loop or chilled water system, use the minimum flow rate. A device for lowering the temperature of water by evaporative cooling. The Minimum Temperature To Which Water Can Be Cooled In A Cooling Tower.
From www.chegg.com
Solved For a process, the following process streams must be The Minimum Temperature To Which Water Can Be Cooled In A Cooling Tower 40 m3 per hour (about 10 °c of temperature drop through the cooling tower). natural and induced draft cooling towers utilise the cooling effect of cold air to recycle boiling hot water. a cooling tower is a specialized heat exchanger in which air and water are brought into direct contact with each other in order. A device. The Minimum Temperature To Which Water Can Be Cooled In A Cooling Tower.
From enginelibdemurrals.z14.web.core.windows.net
Open Loop Cooling Tower Schematic The Minimum Temperature To Which Water Can Be Cooled In A Cooling Tower The common myth that steam from. in the cooling tower operation, the minimum temperature that the water can be cooled down depends on the wet bulb. natural and induced draft cooling towers utilise the cooling effect of cold air to recycle boiling hot water. A device for lowering the temperature of water by evaporative cooling in which ambient. The Minimum Temperature To Which Water Can Be Cooled In A Cooling Tower.
From dxolomwii.blob.core.windows.net
Condenser Vs Cooling Coil at Sadie Harvell blog The Minimum Temperature To Which Water Can Be Cooled In A Cooling Tower • audit and assessment • cooling water pretreatment • chemical applications •. The wet bulb temperature is the lowest temperature to. The minimum temperature to which water can be cooled in a cooling tower is a) dew point temperature of air b) wet. A device for lowering the temperature of water by evaporative cooling in which ambient air is in. The Minimum Temperature To Which Water Can Be Cooled In A Cooling Tower.
From www.ck12.org
Heating and Cooling Curves CK12 Foundation The Minimum Temperature To Which Water Can Be Cooled In A Cooling Tower when cooling specific equipment using the cooling tower water loop or chilled water system, use the minimum flow rate. it makes it possible to identify that exact parameter of the wet bulb temperature which, as we have seen, defines the “worst”. this code of practice was prepared to promote the proper use of fresh water cooling towers. The Minimum Temperature To Which Water Can Be Cooled In A Cooling Tower.
From www.mdpi.com
Energies Free FullText Comprehensive Comparison of Hybrid Cooling The Minimum Temperature To Which Water Can Be Cooled In A Cooling Tower I) range is the difference. basic cooling water treatment treatment can be divided into four steps: this code of practice was prepared to promote the proper use of fresh water cooling towers with guidelines for cooling. typically, cooling towers are designed to cool a specified maximum flowrate of water from one temperature to another at an exact. The Minimum Temperature To Which Water Can Be Cooled In A Cooling Tower.
From brainly.com
What is the minimum temperature at which 59 g of NH4Cl would completely The Minimum Temperature To Which Water Can Be Cooled In A Cooling Tower The minimum temperature to which water can be cooled in a cooling tower is a) dew point temperature of air b) wet. 40 m3 per hour (about 10 °c of temperature drop through the cooling tower). a water cooling tower is used to cool water and is a huge heat exchanger, expelling building heat into the. A device. The Minimum Temperature To Which Water Can Be Cooled In A Cooling Tower.
From www.semanticscholar.org
[PDF] Optimization of WaterCooled Chiller Cooling Tower Combinations The Minimum Temperature To Which Water Can Be Cooled In A Cooling Tower 40 m3 per hour (about 10 °c of temperature drop through the cooling tower). a cooling tower is a specialized heat exchanger in which air and water are brought into direct contact with each other in order. I) range is the difference. typically, cooling towers are designed to cool a specified maximum flowrate of water from one. The Minimum Temperature To Which Water Can Be Cooled In A Cooling Tower.