Osap Extension Form Guelph . If you are enrolled in the fall and winter terms, and wish to extend your osap to the summer term: For students who have received osap for the fall 2022 and winter 2023 semesters, the application extension form will be available online from. You are required to submit the $200 registration deposit by the august payment deadline. The deadline to submit the summer osap extension form is july 5, 2024 at 11:59 p.m. Return this completed form to student financial services at. Student financial services must confirm your. Provides the owner or joint owner of an eligible new business located in ontario with a six month grace period extension before having to start making monthly payments on their full. This form is used to add the summer semester to a current osap application. Download the request for extension of.
from formspal.com
Provides the owner or joint owner of an eligible new business located in ontario with a six month grace period extension before having to start making monthly payments on their full. Download the request for extension of. If you are enrolled in the fall and winter terms, and wish to extend your osap to the summer term: You are required to submit the $200 registration deposit by the august payment deadline. Return this completed form to student financial services at. Student financial services must confirm your. The deadline to submit the summer osap extension form is july 5, 2024 at 11:59 p.m. For students who have received osap for the fall 2022 and winter 2023 semesters, the application extension form will be available online from. This form is used to add the summer semester to a current osap application.
Request For Osap Access Number PDF Form FormsPal
Osap Extension Form Guelph The deadline to submit the summer osap extension form is july 5, 2024 at 11:59 p.m. Student financial services must confirm your. For students who have received osap for the fall 2022 and winter 2023 semesters, the application extension form will be available online from. Download the request for extension of. You are required to submit the $200 registration deposit by the august payment deadline. Provides the owner or joint owner of an eligible new business located in ontario with a six month grace period extension before having to start making monthly payments on their full. Return this completed form to student financial services at. The deadline to submit the summer osap extension form is july 5, 2024 at 11:59 p.m. This form is used to add the summer semester to a current osap application. If you are enrolled in the fall and winter terms, and wish to extend your osap to the summer term:
From www.pdffiller.com
Fillable Online get on BFreedomb of Information bRequestb Form Guelph Osap Extension Form Guelph Student financial services must confirm your. For students who have received osap for the fall 2022 and winter 2023 semesters, the application extension form will be available online from. The deadline to submit the summer osap extension form is july 5, 2024 at 11:59 p.m. Download the request for extension of. Provides the owner or joint owner of an eligible. Osap Extension Form Guelph.
From www.pdffiller.com
Fillable Online Out of Province or OSAP Restricted Financial Needs Osap Extension Form Guelph This form is used to add the summer semester to a current osap application. If you are enrolled in the fall and winter terms, and wish to extend your osap to the summer term: For students who have received osap for the fall 2022 and winter 2023 semesters, the application extension form will be available online from. The deadline to. Osap Extension Form Guelph.
From www.pdffiller.com
Fillable Online 202223 OSAP Application Update Request to use Student Osap Extension Form Guelph The deadline to submit the summer osap extension form is july 5, 2024 at 11:59 p.m. Download the request for extension of. Return this completed form to student financial services at. For students who have received osap for the fall 2022 and winter 2023 semesters, the application extension form will be available online from. You are required to submit the. Osap Extension Form Guelph.
From www.templateroller.com
2024 Ontario Canada Osap Spouse Verification Canadian Non Osap Extension Form Guelph Return this completed form to student financial services at. The deadline to submit the summer osap extension form is july 5, 2024 at 11:59 p.m. Provides the owner or joint owner of an eligible new business located in ontario with a six month grace period extension before having to start making monthly payments on their full. This form is used. Osap Extension Form Guelph.
From www.pdffiller.com
Fillable Online osap.gov.on.caprdosapconsumgroups202223 OSAP Osap Extension Form Guelph You are required to submit the $200 registration deposit by the august payment deadline. Student financial services must confirm your. This form is used to add the summer semester to a current osap application. If you are enrolled in the fall and winter terms, and wish to extend your osap to the summer term: For students who have received osap. Osap Extension Form Guelph.
From www.templateroller.com
2024 Ontario Canada Osap Spouse Verification Canadian Non Osap Extension Form Guelph You are required to submit the $200 registration deposit by the august payment deadline. This form is used to add the summer semester to a current osap application. Student financial services must confirm your. If you are enrolled in the fall and winter terms, and wish to extend your osap to the summer term: Provides the owner or joint owner. Osap Extension Form Guelph.
From www.pdffiller.com
Fillable Online OSAP INTERSESSIONSUMMER SESSION EXTENSION Fax Email Osap Extension Form Guelph You are required to submit the $200 registration deposit by the august payment deadline. Download the request for extension of. If you are enrolled in the fall and winter terms, and wish to extend your osap to the summer term: This form is used to add the summer semester to a current osap application. Return this completed form to student. Osap Extension Form Guelph.
From studylib.net
osaptuitiondepositagreementform Osap Extension Form Guelph The deadline to submit the summer osap extension form is july 5, 2024 at 11:59 p.m. This form is used to add the summer semester to a current osap application. If you are enrolled in the fall and winter terms, and wish to extend your osap to the summer term: You are required to submit the $200 registration deposit by. Osap Extension Form Guelph.
From registrar.mcmaster.ca
How to complete and submit the OSAP Extension Form Office of the Osap Extension Form Guelph This form is used to add the summer semester to a current osap application. If you are enrolled in the fall and winter terms, and wish to extend your osap to the summer term: Student financial services must confirm your. The deadline to submit the summer osap extension form is july 5, 2024 at 11:59 p.m. You are required to. Osap Extension Form Guelph.
From www.pdffiller.com
Fillable Online OSAP Change of Information Form Fax Email Print pdfFiller Osap Extension Form Guelph The deadline to submit the summer osap extension form is july 5, 2024 at 11:59 p.m. If you are enrolled in the fall and winter terms, and wish to extend your osap to the summer term: For students who have received osap for the fall 2022 and winter 2023 semesters, the application extension form will be available online from. Return. Osap Extension Form Guelph.
From www.pdffiller.com
Fillable Online 202425 OSAP Disability Verification Form Fax Email Osap Extension Form Guelph This form is used to add the summer semester to a current osap application. For students who have received osap for the fall 2022 and winter 2023 semesters, the application extension form will be available online from. Download the request for extension of. If you are enrolled in the fall and winter terms, and wish to extend your osap to. Osap Extension Form Guelph.
From www.pdffiller.com
Fillable Online Extension to the 2022/2023 FULLTIME OSAP APPLICATION Osap Extension Form Guelph Return this completed form to student financial services at. You are required to submit the $200 registration deposit by the august payment deadline. Download the request for extension of. This form is used to add the summer semester to a current osap application. Student financial services must confirm your. If you are enrolled in the fall and winter terms, and. Osap Extension Form Guelph.
From www.pdffiller.com
Fillable Online OSAP Application Update Graduate Studies Extension Osap Extension Form Guelph Provides the owner or joint owner of an eligible new business located in ontario with a six month grace period extension before having to start making monthly payments on their full. Student financial services must confirm your. The deadline to submit the summer osap extension form is july 5, 2024 at 11:59 p.m. If you are enrolled in the fall. Osap Extension Form Guelph.
From www.pdffiller.com
Fillable Online OSAP InformationStudent Financial Services Fax Email Osap Extension Form Guelph Student financial services must confirm your. Return this completed form to student financial services at. For students who have received osap for the fall 2022 and winter 2023 semesters, the application extension form will be available online from. The deadline to submit the summer osap extension form is july 5, 2024 at 11:59 p.m. If you are enrolled in the. Osap Extension Form Guelph.
From studylib.net
OSAP Form Osap Extension Form Guelph For students who have received osap for the fall 2022 and winter 2023 semesters, the application extension form will be available online from. Return this completed form to student financial services at. If you are enrolled in the fall and winter terms, and wish to extend your osap to the summer term: This form is used to add the summer. Osap Extension Form Guelph.
From www.pdffiller.com
Fillable Online Osap Request for Institution and Program Approval Form Osap Extension Form Guelph For students who have received osap for the fall 2022 and winter 2023 semesters, the application extension form will be available online from. Provides the owner or joint owner of an eligible new business located in ontario with a six month grace period extension before having to start making monthly payments on their full. Return this completed form to student. Osap Extension Form Guelph.
From www.yumpu.com
Financial Needs Assessment Form NonOSAP University of Guelph Osap Extension Form Guelph Provides the owner or joint owner of an eligible new business located in ontario with a six month grace period extension before having to start making monthly payments on their full. Return this completed form to student financial services at. The deadline to submit the summer osap extension form is july 5, 2024 at 11:59 p.m. You are required to. Osap Extension Form Guelph.
From www.pdffiller.com
Fillable Online Aide 3143 Spring Summer 2018 OSAP Extension Form Fax Osap Extension Form Guelph For students who have received osap for the fall 2022 and winter 2023 semesters, the application extension form will be available online from. This form is used to add the summer semester to a current osap application. Download the request for extension of. The deadline to submit the summer osap extension form is july 5, 2024 at 11:59 p.m. You. Osap Extension Form Guelph.
From www.templateroller.com
2024 Ontario Canada Osap Parent Verification Canadian Non Osap Extension Form Guelph The deadline to submit the summer osap extension form is july 5, 2024 at 11:59 p.m. Return this completed form to student financial services at. You are required to submit the $200 registration deposit by the august payment deadline. Student financial services must confirm your. This form is used to add the summer semester to a current osap application. Download. Osap Extension Form Guelph.
From www.pdffiller.com
Fillable Online OSAP EXTENSION FORM Spring/Summer Term Complete this Osap Extension Form Guelph For students who have received osap for the fall 2022 and winter 2023 semesters, the application extension form will be available online from. You are required to submit the $200 registration deposit by the august payment deadline. This form is used to add the summer semester to a current osap application. Return this completed form to student financial services at.. Osap Extension Form Guelph.
From clemqcandice.pages.dev
Osap 2024 To 2024 Application Form Pdf Loren Raquela Osap Extension Form Guelph Download the request for extension of. Student financial services must confirm your. For students who have received osap for the fall 2022 and winter 2023 semesters, the application extension form will be available online from. The deadline to submit the summer osap extension form is july 5, 2024 at 11:59 p.m. If you are enrolled in the fall and winter. Osap Extension Form Guelph.
From www.scribd.com
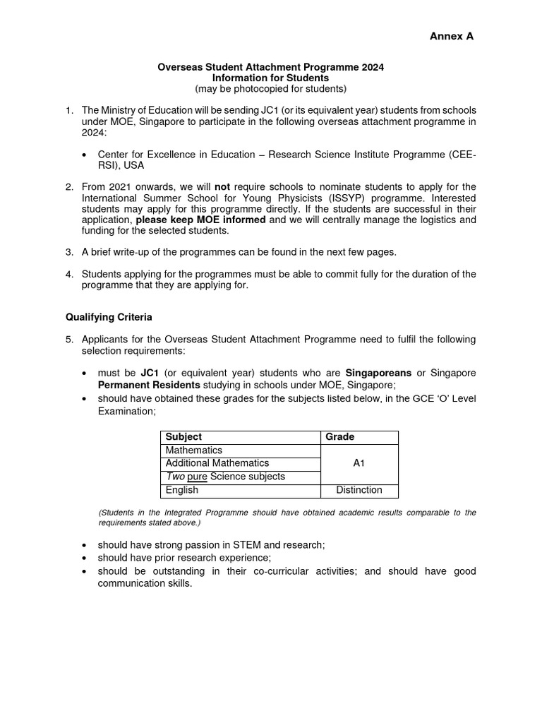
OSAP Annex PDF Physics Theoretical Physics Osap Extension Form Guelph Return this completed form to student financial services at. Student financial services must confirm your. This form is used to add the summer semester to a current osap application. Provides the owner or joint owner of an eligible new business located in ontario with a six month grace period extension before having to start making monthly payments on their full.. Osap Extension Form Guelph.
From www.templateroller.com
2024 Ontario Canada Osap Parent Verification Canadian Non Osap Extension Form Guelph You are required to submit the $200 registration deposit by the august payment deadline. This form is used to add the summer semester to a current osap application. For students who have received osap for the fall 2022 and winter 2023 semesters, the application extension form will be available online from. The deadline to submit the summer osap extension form. Osap Extension Form Guelph.
From www.dochub.com
Osap forms Fill out & sign online DocHub Osap Extension Form Guelph Student financial services must confirm your. For students who have received osap for the fall 2022 and winter 2023 semesters, the application extension form will be available online from. If you are enrolled in the fall and winter terms, and wish to extend your osap to the summer term: You are required to submit the $200 registration deposit by the. Osap Extension Form Guelph.
From www.pdffiller.com
Fillable Online Get Guelph General Hospital Sleep Lab Referral Form Osap Extension Form Guelph Provides the owner or joint owner of an eligible new business located in ontario with a six month grace period extension before having to start making monthly payments on their full. This form is used to add the summer semester to a current osap application. Download the request for extension of. The deadline to submit the summer osap extension form. Osap Extension Form Guelph.
From formspal.com
Request For Osap Access Number PDF Form FormsPal Osap Extension Form Guelph Student financial services must confirm your. The deadline to submit the summer osap extension form is july 5, 2024 at 11:59 p.m. For students who have received osap for the fall 2022 and winter 2023 semesters, the application extension form will be available online from. You are required to submit the $200 registration deposit by the august payment deadline. Return. Osap Extension Form Guelph.
From www.pdffiller.com
Fillable Online osap.gov.on.caprdosapconsumgroups202122 OSAP Student Osap Extension Form Guelph Return this completed form to student financial services at. Student financial services must confirm your. This form is used to add the summer semester to a current osap application. You are required to submit the $200 registration deposit by the august payment deadline. Download the request for extension of. If you are enrolled in the fall and winter terms, and. Osap Extension Form Guelph.
From www.pdffiller.com
Fillable Online 20222023 Full Time (FT) OSAP Application Update Form Osap Extension Form Guelph Provides the owner or joint owner of an eligible new business located in ontario with a six month grace period extension before having to start making monthly payments on their full. This form is used to add the summer semester to a current osap application. If you are enrolled in the fall and winter terms, and wish to extend your. Osap Extension Form Guelph.
From www.pdffiller.com
Fillable Online OSAP EXTENSION FORM SPRINGSUMMERAIDE3143. OSAP Osap Extension Form Guelph For students who have received osap for the fall 2022 and winter 2023 semesters, the application extension form will be available online from. Download the request for extension of. The deadline to submit the summer osap extension form is july 5, 2024 at 11:59 p.m. This form is used to add the summer semester to a current osap application. Provides. Osap Extension Form Guelph.
From www.pdffiller.com
Fillable Online Tip sheet Applying for OSAP Step 1 Who can apply for Osap Extension Form Guelph If you are enrolled in the fall and winter terms, and wish to extend your osap to the summer term: Student financial services must confirm your. You are required to submit the $200 registration deposit by the august payment deadline. For students who have received osap for the fall 2022 and winter 2023 semesters, the application extension form will be. Osap Extension Form Guelph.
From www.pogo.ca
Should I Apply for OSAP? POGO Osap Extension Form Guelph Student financial services must confirm your. Download the request for extension of. For students who have received osap for the fall 2022 and winter 2023 semesters, the application extension form will be available online from. You are required to submit the $200 registration deposit by the august payment deadline. If you are enrolled in the fall and winter terms, and. Osap Extension Form Guelph.
From www.pdffiller.com
Fillable Online OSAP Disability Verification Form Ontario Fax Email Osap Extension Form Guelph Download the request for extension of. For students who have received osap for the fall 2022 and winter 2023 semesters, the application extension form will be available online from. Return this completed form to student financial services at. If you are enrolled in the fall and winter terms, and wish to extend your osap to the summer term: This form. Osap Extension Form Guelph.
From www.pdffiller.com
Fillable Online Forms OSAP Ontario Student Assistance Program Fax Osap Extension Form Guelph Download the request for extension of. This form is used to add the summer semester to a current osap application. You are required to submit the $200 registration deposit by the august payment deadline. The deadline to submit the summer osap extension form is july 5, 2024 at 11:59 p.m. Return this completed form to student financial services at. Provides. Osap Extension Form Guelph.
From jeanebsephira.pages.dev
Llc Tax Extension Form 2024 Tedda Gabriell Osap Extension Form Guelph Download the request for extension of. Provides the owner or joint owner of an eligible new business located in ontario with a six month grace period extension before having to start making monthly payments on their full. This form is used to add the summer semester to a current osap application. You are required to submit the $200 registration deposit. Osap Extension Form Guelph.
From www.pdffiller.com
Fillable Online OSAP Forms OCAD University Fax Email Print pdfFiller Osap Extension Form Guelph For students who have received osap for the fall 2022 and winter 2023 semesters, the application extension form will be available online from. You are required to submit the $200 registration deposit by the august payment deadline. Return this completed form to student financial services at. Download the request for extension of. This form is used to add the summer. Osap Extension Form Guelph.