Vibrational Energy Definition Chemistry . definition of vibrational energy two atoms that can form a bond will do so to create a diatomic molecule when they approach. these complex vibrations can be broken down mathematically into individual vibrational modes, a few of which are. vibrational kinetic energy \(e_{k} = \frac{1}{2}kx^{2}\), is the energy associated with atom's vibrational motion,. vibrational energy levels are quantized states that describe the different energy configurations of molecules as they. vibrational energy is defined as the energy from the environment or external sources, such as mechanical vibrations, light, or. vibrational energy levels refer to the quantized states of a molecule associated with its vibrational motion.
from www.researchgate.net
definition of vibrational energy two atoms that can form a bond will do so to create a diatomic molecule when they approach. vibrational kinetic energy \(e_{k} = \frac{1}{2}kx^{2}\), is the energy associated with atom's vibrational motion,. vibrational energy levels refer to the quantized states of a molecule associated with its vibrational motion. these complex vibrations can be broken down mathematically into individual vibrational modes, a few of which are. vibrational energy is defined as the energy from the environment or external sources, such as mechanical vibrations, light, or. vibrational energy levels are quantized states that describe the different energy configurations of molecules as they.
Vibrational Energy Levels of CH 5 + , with Energies Given in cm −1a
Vibrational Energy Definition Chemistry definition of vibrational energy two atoms that can form a bond will do so to create a diatomic molecule when they approach. these complex vibrations can be broken down mathematically into individual vibrational modes, a few of which are. vibrational kinetic energy \(e_{k} = \frac{1}{2}kx^{2}\), is the energy associated with atom's vibrational motion,. definition of vibrational energy two atoms that can form a bond will do so to create a diatomic molecule when they approach. vibrational energy is defined as the energy from the environment or external sources, such as mechanical vibrations, light, or. vibrational energy levels refer to the quantized states of a molecule associated with its vibrational motion. vibrational energy levels are quantized states that describe the different energy configurations of molecules as they.
From www.researchgate.net
Schematic illustration of changes in the zeropoint vibrational energy Vibrational Energy Definition Chemistry vibrational energy is defined as the energy from the environment or external sources, such as mechanical vibrations, light, or. definition of vibrational energy two atoms that can form a bond will do so to create a diatomic molecule when they approach. vibrational kinetic energy \(e_{k} = \frac{1}{2}kx^{2}\), is the energy associated with atom's vibrational motion,. vibrational. Vibrational Energy Definition Chemistry.
From www.researchgate.net
Vibrational energy levels of transpropenal below 700 cm −1 obtained by Vibrational Energy Definition Chemistry definition of vibrational energy two atoms that can form a bond will do so to create a diatomic molecule when they approach. vibrational energy levels refer to the quantized states of a molecule associated with its vibrational motion. vibrational kinetic energy \(e_{k} = \frac{1}{2}kx^{2}\), is the energy associated with atom's vibrational motion,. vibrational energy is defined. Vibrational Energy Definition Chemistry.
From www.researchgate.net
Schematic representation of a vibrational potential and energy levels Vibrational Energy Definition Chemistry these complex vibrations can be broken down mathematically into individual vibrational modes, a few of which are. vibrational kinetic energy \(e_{k} = \frac{1}{2}kx^{2}\), is the energy associated with atom's vibrational motion,. vibrational energy is defined as the energy from the environment or external sources, such as mechanical vibrations, light, or. definition of vibrational energy two atoms. Vibrational Energy Definition Chemistry.
From www.numerade.com
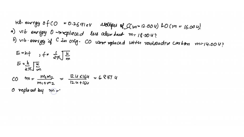
The vibrational energy of CO is 0.2691 eV when the constituents of the Vibrational Energy Definition Chemistry vibrational energy is defined as the energy from the environment or external sources, such as mechanical vibrations, light, or. vibrational energy levels are quantized states that describe the different energy configurations of molecules as they. these complex vibrations can be broken down mathematically into individual vibrational modes, a few of which are. vibrational kinetic energy \(e_{k}. Vibrational Energy Definition Chemistry.
From www.researchgate.net
Schematic energy diagram for the vibrational potentials of ground (V o Vibrational Energy Definition Chemistry vibrational energy levels refer to the quantized states of a molecule associated with its vibrational motion. definition of vibrational energy two atoms that can form a bond will do so to create a diatomic molecule when they approach. vibrational energy levels are quantized states that describe the different energy configurations of molecules as they. vibrational kinetic. Vibrational Energy Definition Chemistry.
From www.researchgate.net
Vibrational energy levels of the X 2 T 2 electronic manifold of CH + 4 Vibrational Energy Definition Chemistry vibrational energy is defined as the energy from the environment or external sources, such as mechanical vibrations, light, or. vibrational kinetic energy \(e_{k} = \frac{1}{2}kx^{2}\), is the energy associated with atom's vibrational motion,. vibrational energy levels are quantized states that describe the different energy configurations of molecules as they. these complex vibrations can be broken down. Vibrational Energy Definition Chemistry.
From www.researchgate.net
Schematic representation of vibrational modes of the H 2 O 2 isolated Vibrational Energy Definition Chemistry definition of vibrational energy two atoms that can form a bond will do so to create a diatomic molecule when they approach. vibrational kinetic energy \(e_{k} = \frac{1}{2}kx^{2}\), is the energy associated with atom's vibrational motion,. these complex vibrations can be broken down mathematically into individual vibrational modes, a few of which are. vibrational energy is. Vibrational Energy Definition Chemistry.
From www.youtube.com
Vibrational Energy of Molecules YouTube Vibrational Energy Definition Chemistry vibrational kinetic energy \(e_{k} = \frac{1}{2}kx^{2}\), is the energy associated with atom's vibrational motion,. vibrational energy levels refer to the quantized states of a molecule associated with its vibrational motion. vibrational energy is defined as the energy from the environment or external sources, such as mechanical vibrations, light, or. vibrational energy levels are quantized states that. Vibrational Energy Definition Chemistry.
From chempedia.info
Electronic, vibrational and rotational energies Big Chemical Encyclopedia Vibrational Energy Definition Chemistry vibrational kinetic energy \(e_{k} = \frac{1}{2}kx^{2}\), is the energy associated with atom's vibrational motion,. vibrational energy is defined as the energy from the environment or external sources, such as mechanical vibrations, light, or. vibrational energy levels are quantized states that describe the different energy configurations of molecules as they. definition of vibrational energy two atoms that. Vibrational Energy Definition Chemistry.
From www.youtube.com
Vibrational energy Meaning YouTube Vibrational Energy Definition Chemistry definition of vibrational energy two atoms that can form a bond will do so to create a diatomic molecule when they approach. vibrational energy levels are quantized states that describe the different energy configurations of molecules as they. vibrational kinetic energy \(e_{k} = \frac{1}{2}kx^{2}\), is the energy associated with atom's vibrational motion,. vibrational energy is defined. Vibrational Energy Definition Chemistry.
From www.researchgate.net
Vibrational energy (E vib l ), entropy (S vib l ) and free energy (F Vibrational Energy Definition Chemistry vibrational energy levels are quantized states that describe the different energy configurations of molecules as they. vibrational energy is defined as the energy from the environment or external sources, such as mechanical vibrations, light, or. these complex vibrations can be broken down mathematically into individual vibrational modes, a few of which are. vibrational energy levels refer. Vibrational Energy Definition Chemistry.
From www.researchgate.net
Vibrational energy redistribution pathways following excitation of the Vibrational Energy Definition Chemistry vibrational energy is defined as the energy from the environment or external sources, such as mechanical vibrations, light, or. vibrational energy levels are quantized states that describe the different energy configurations of molecules as they. these complex vibrations can be broken down mathematically into individual vibrational modes, a few of which are. vibrational kinetic energy \(e_{k}. Vibrational Energy Definition Chemistry.
From www.youtube.com
Vibrational spectrum, Force Constant, Quantitative Relation YouTube Vibrational Energy Definition Chemistry these complex vibrations can be broken down mathematically into individual vibrational modes, a few of which are. vibrational energy levels are quantized states that describe the different energy configurations of molecules as they. vibrational kinetic energy \(e_{k} = \frac{1}{2}kx^{2}\), is the energy associated with atom's vibrational motion,. vibrational energy is defined as the energy from the. Vibrational Energy Definition Chemistry.
From chempedia.info
Vibrational cascade Big Chemical Encyclopedia Vibrational Energy Definition Chemistry vibrational energy levels are quantized states that describe the different energy configurations of molecules as they. vibrational kinetic energy \(e_{k} = \frac{1}{2}kx^{2}\), is the energy associated with atom's vibrational motion,. these complex vibrations can be broken down mathematically into individual vibrational modes, a few of which are. definition of vibrational energy two atoms that can form. Vibrational Energy Definition Chemistry.
From chempedia.info
Electronic, vibrational and rotational energies Big Chemical Encyclopedia Vibrational Energy Definition Chemistry these complex vibrations can be broken down mathematically into individual vibrational modes, a few of which are. vibrational energy levels refer to the quantized states of a molecule associated with its vibrational motion. vibrational energy is defined as the energy from the environment or external sources, such as mechanical vibrations, light, or. vibrational energy levels are. Vibrational Energy Definition Chemistry.
From www.researchgate.net
Vibrational energy levels of an anharmonic oscillator representative of Vibrational Energy Definition Chemistry vibrational energy levels refer to the quantized states of a molecule associated with its vibrational motion. vibrational energy levels are quantized states that describe the different energy configurations of molecules as they. definition of vibrational energy two atoms that can form a bond will do so to create a diatomic molecule when they approach. vibrational energy. Vibrational Energy Definition Chemistry.
From pubs.acs.org
Application of Advanced Vibrational Spectroscopy in Revealing Critical Vibrational Energy Definition Chemistry vibrational energy levels are quantized states that describe the different energy configurations of molecules as they. definition of vibrational energy two atoms that can form a bond will do so to create a diatomic molecule when they approach. vibrational energy levels refer to the quantized states of a molecule associated with its vibrational motion. these complex. Vibrational Energy Definition Chemistry.
From fyoooqdmg.blob.core.windows.net
What Is Vibrational Energy at Anna Biron blog Vibrational Energy Definition Chemistry vibrational energy levels refer to the quantized states of a molecule associated with its vibrational motion. vibrational energy is defined as the energy from the environment or external sources, such as mechanical vibrations, light, or. these complex vibrations can be broken down mathematically into individual vibrational modes, a few of which are. definition of vibrational energy. Vibrational Energy Definition Chemistry.
From www.researchgate.net
Activated vibrational energy (ɛ) states for N2 and CO2 indicating Vibrational Energy Definition Chemistry vibrational energy levels refer to the quantized states of a molecule associated with its vibrational motion. these complex vibrations can be broken down mathematically into individual vibrational modes, a few of which are. vibrational energy levels are quantized states that describe the different energy configurations of molecules as they. vibrational kinetic energy \(e_{k} = \frac{1}{2}kx^{2}\), is. Vibrational Energy Definition Chemistry.
From saylordotorg.github.io
Entropy Changes and the Third Law of Thermodynamics Vibrational Energy Definition Chemistry vibrational energy is defined as the energy from the environment or external sources, such as mechanical vibrations, light, or. definition of vibrational energy two atoms that can form a bond will do so to create a diatomic molecule when they approach. these complex vibrations can be broken down mathematically into individual vibrational modes, a few of which. Vibrational Energy Definition Chemistry.
From www.youtube.com
Calculation of Vibrational Frequency Hooke's Law (1) YouTube Vibrational Energy Definition Chemistry vibrational energy levels refer to the quantized states of a molecule associated with its vibrational motion. vibrational energy is defined as the energy from the environment or external sources, such as mechanical vibrations, light, or. vibrational kinetic energy \(e_{k} = \frac{1}{2}kx^{2}\), is the energy associated with atom's vibrational motion,. vibrational energy levels are quantized states that. Vibrational Energy Definition Chemistry.
From www.chem.ucla.edu
Illustrated Glossary of Organic Chemistry Excited state Vibrational Energy Definition Chemistry these complex vibrations can be broken down mathematically into individual vibrational modes, a few of which are. definition of vibrational energy two atoms that can form a bond will do so to create a diatomic molecule when they approach. vibrational energy is defined as the energy from the environment or external sources, such as mechanical vibrations, light,. Vibrational Energy Definition Chemistry.
From www.researchgate.net
Simple layouts of the vibrational modes associated to a molecular Vibrational Energy Definition Chemistry vibrational energy levels are quantized states that describe the different energy configurations of molecules as they. these complex vibrations can be broken down mathematically into individual vibrational modes, a few of which are. vibrational energy levels refer to the quantized states of a molecule associated with its vibrational motion. vibrational kinetic energy \(e_{k} = \frac{1}{2}kx^{2}\), is. Vibrational Energy Definition Chemistry.
From www.researchgate.net
Vibrational energylevel diagram of DC 3 N up to 1015 cm −1 , where the Vibrational Energy Definition Chemistry vibrational energy is defined as the energy from the environment or external sources, such as mechanical vibrations, light, or. definition of vibrational energy two atoms that can form a bond will do so to create a diatomic molecule when they approach. vibrational energy levels refer to the quantized states of a molecule associated with its vibrational motion.. Vibrational Energy Definition Chemistry.
From www.researchgate.net
Vibrational energy levels of a molecule during light scattering Vibrational Energy Definition Chemistry vibrational energy is defined as the energy from the environment or external sources, such as mechanical vibrations, light, or. definition of vibrational energy two atoms that can form a bond will do so to create a diatomic molecule when they approach. vibrational energy levels refer to the quantized states of a molecule associated with its vibrational motion.. Vibrational Energy Definition Chemistry.
From www.researchgate.net
Vibrational Energy Levels of CH 5 + , with Energies Given in cm −1a Vibrational Energy Definition Chemistry vibrational energy levels refer to the quantized states of a molecule associated with its vibrational motion. these complex vibrations can be broken down mathematically into individual vibrational modes, a few of which are. vibrational kinetic energy \(e_{k} = \frac{1}{2}kx^{2}\), is the energy associated with atom's vibrational motion,. definition of vibrational energy two atoms that can form. Vibrational Energy Definition Chemistry.
From openmopac.net
Vibrational quantities Quantum versus Classical description Vibrational Energy Definition Chemistry vibrational kinetic energy \(e_{k} = \frac{1}{2}kx^{2}\), is the energy associated with atom's vibrational motion,. definition of vibrational energy two atoms that can form a bond will do so to create a diatomic molecule when they approach. these complex vibrations can be broken down mathematically into individual vibrational modes, a few of which are. vibrational energy levels. Vibrational Energy Definition Chemistry.
From www.youtube.com
Molecular Vibration YouTube Vibrational Energy Definition Chemistry vibrational energy levels are quantized states that describe the different energy configurations of molecules as they. definition of vibrational energy two atoms that can form a bond will do so to create a diatomic molecule when they approach. these complex vibrations can be broken down mathematically into individual vibrational modes, a few of which are. vibrational. Vibrational Energy Definition Chemistry.
From www.researchgate.net
Electronic, vibrational, and rotational energy levels for the Vibrational Energy Definition Chemistry vibrational energy levels are quantized states that describe the different energy configurations of molecules as they. these complex vibrations can be broken down mathematically into individual vibrational modes, a few of which are. definition of vibrational energy two atoms that can form a bond will do so to create a diatomic molecule when they approach. vibrational. Vibrational Energy Definition Chemistry.
From www.studocu.com
13. LECT13 Vibrational Energy Levels VIBRATIONAL ENERGY LEVELS A Vibrational Energy Definition Chemistry vibrational energy levels refer to the quantized states of a molecule associated with its vibrational motion. these complex vibrations can be broken down mathematically into individual vibrational modes, a few of which are. vibrational energy levels are quantized states that describe the different energy configurations of molecules as they. vibrational kinetic energy \(e_{k} = \frac{1}{2}kx^{2}\), is. Vibrational Energy Definition Chemistry.
From chem.libretexts.org
20.2 Vibrations and Rotations of Molecules Infrared and Microwave Vibrational Energy Definition Chemistry definition of vibrational energy two atoms that can form a bond will do so to create a diatomic molecule when they approach. vibrational energy levels refer to the quantized states of a molecule associated with its vibrational motion. vibrational kinetic energy \(e_{k} = \frac{1}{2}kx^{2}\), is the energy associated with atom's vibrational motion,. vibrational energy levels are. Vibrational Energy Definition Chemistry.
From www.researchgate.net
Vibrational energy levels of the water molecule. The polyad structure Vibrational Energy Definition Chemistry these complex vibrations can be broken down mathematically into individual vibrational modes, a few of which are. definition of vibrational energy two atoms that can form a bond will do so to create a diatomic molecule when they approach. vibrational energy levels refer to the quantized states of a molecule associated with its vibrational motion. vibrational. Vibrational Energy Definition Chemistry.
From www.degruyter.com
Ground state chemistry under vibrational strong coupling dependence of Vibrational Energy Definition Chemistry definition of vibrational energy two atoms that can form a bond will do so to create a diatomic molecule when they approach. vibrational energy is defined as the energy from the environment or external sources, such as mechanical vibrations, light, or. vibrational energy levels refer to the quantized states of a molecule associated with its vibrational motion.. Vibrational Energy Definition Chemistry.
From www.researchgate.net
Representative vibrational energy levels and rotation of a diatomic Vibrational Energy Definition Chemistry vibrational kinetic energy \(e_{k} = \frac{1}{2}kx^{2}\), is the energy associated with atom's vibrational motion,. vibrational energy levels are quantized states that describe the different energy configurations of molecules as they. vibrational energy levels refer to the quantized states of a molecule associated with its vibrational motion. vibrational energy is defined as the energy from the environment. Vibrational Energy Definition Chemistry.
From openmopac.net
Vibrational quantities Quantum versus Classical description Vibrational Energy Definition Chemistry vibrational kinetic energy \(e_{k} = \frac{1}{2}kx^{2}\), is the energy associated with atom's vibrational motion,. vibrational energy levels are quantized states that describe the different energy configurations of molecules as they. vibrational energy levels refer to the quantized states of a molecule associated with its vibrational motion. definition of vibrational energy two atoms that can form a. Vibrational Energy Definition Chemistry.