How To Find The Distance A Pendulum Travels . The distance traveled by a pendulum can be calculated using its length and the angle of displacement. Time taken by the pendulum to finish one. We first need to find the moment of inertia of the beam. Calculates the distance a mass connected to the end of a pendulum of length (r) travels through a measured angle (m degrees), 1, 2, or 4 times. Distance between the point of suspension to the center of the bob. We are asked to find the length of the physical pendulum with a known mass. To analyze the motion, start with the net torque. Here, the length l of the radius arm is the distance between the point of rotation and the cm. Like the simple pendulum, consider only small. Play with one or two pendulums and discover how the period of a simple pendulum depends on the length of the string, the mass of the pendulum. Play with one or two pendulums and discover how the period of a simple pendulum depends on the length of the string, the mass of the pendulum bob, and the amplitude of the swing.
from mungfali.com
Distance between the point of suspension to the center of the bob. Here, the length l of the radius arm is the distance between the point of rotation and the cm. To analyze the motion, start with the net torque. Time taken by the pendulum to finish one. Play with one or two pendulums and discover how the period of a simple pendulum depends on the length of the string, the mass of the pendulum. Like the simple pendulum, consider only small. We first need to find the moment of inertia of the beam. Calculates the distance a mass connected to the end of a pendulum of length (r) travels through a measured angle (m degrees), 1, 2, or 4 times. Play with one or two pendulums and discover how the period of a simple pendulum depends on the length of the string, the mass of the pendulum bob, and the amplitude of the swing. We are asked to find the length of the physical pendulum with a known mass.
Simple Pendulum Equation
How To Find The Distance A Pendulum Travels Play with one or two pendulums and discover how the period of a simple pendulum depends on the length of the string, the mass of the pendulum bob, and the amplitude of the swing. We are asked to find the length of the physical pendulum with a known mass. To analyze the motion, start with the net torque. Like the simple pendulum, consider only small. Play with one or two pendulums and discover how the period of a simple pendulum depends on the length of the string, the mass of the pendulum. Play with one or two pendulums and discover how the period of a simple pendulum depends on the length of the string, the mass of the pendulum bob, and the amplitude of the swing. Calculates the distance a mass connected to the end of a pendulum of length (r) travels through a measured angle (m degrees), 1, 2, or 4 times. Distance between the point of suspension to the center of the bob. Time taken by the pendulum to finish one. The distance traveled by a pendulum can be calculated using its length and the angle of displacement. We first need to find the moment of inertia of the beam. Here, the length l of the radius arm is the distance between the point of rotation and the cm.
From www.numerade.com
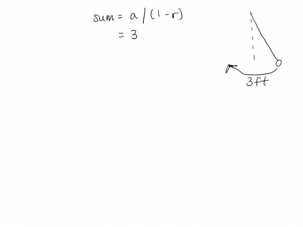
SOLVEDA pendulum travels a distance of 3 feet on its first swing. On How To Find The Distance A Pendulum Travels Calculates the distance a mass connected to the end of a pendulum of length (r) travels through a measured angle (m degrees), 1, 2, or 4 times. We first need to find the moment of inertia of the beam. We are asked to find the length of the physical pendulum with a known mass. Like the simple pendulum, consider only. How To Find The Distance A Pendulum Travels.
From www.chegg.com
Solved 31/4 1/4 02 4. The simple pendulum shown above How To Find The Distance A Pendulum Travels To analyze the motion, start with the net torque. We are asked to find the length of the physical pendulum with a known mass. Like the simple pendulum, consider only small. Calculates the distance a mass connected to the end of a pendulum of length (r) travels through a measured angle (m degrees), 1, 2, or 4 times. We first. How To Find The Distance A Pendulum Travels.
From ucscphysicsdemo.sites.ucsc.edu
Simple Pendulum UCSC Physics Demonstration Room How To Find The Distance A Pendulum Travels Like the simple pendulum, consider only small. Play with one or two pendulums and discover how the period of a simple pendulum depends on the length of the string, the mass of the pendulum bob, and the amplitude of the swing. We first need to find the moment of inertia of the beam. The distance traveled by a pendulum can. How To Find The Distance A Pendulum Travels.
From www.slideserve.com
PPT 12.4 Simple Pendulum PowerPoint Presentation, free download ID How To Find The Distance A Pendulum Travels Play with one or two pendulums and discover how the period of a simple pendulum depends on the length of the string, the mass of the pendulum bob, and the amplitude of the swing. Like the simple pendulum, consider only small. Distance between the point of suspension to the center of the bob. Calculates the distance a mass connected to. How To Find The Distance A Pendulum Travels.
From www.youtube.com
Simple Harmonic Motion (6 of 16) Pendulum Velocity from Angle of How To Find The Distance A Pendulum Travels Like the simple pendulum, consider only small. Play with one or two pendulums and discover how the period of a simple pendulum depends on the length of the string, the mass of the pendulum bob, and the amplitude of the swing. Distance between the point of suspension to the center of the bob. Here, the length l of the radius. How To Find The Distance A Pendulum Travels.
From solvedlib.com
The pendulum shown in the figure sweeps out an angle … SolvedLib How To Find The Distance A Pendulum Travels Distance between the point of suspension to the center of the bob. Play with one or two pendulums and discover how the period of a simple pendulum depends on the length of the string, the mass of the pendulum bob, and the amplitude of the swing. Play with one or two pendulums and discover how the period of a simple. How To Find The Distance A Pendulum Travels.
From www.sciencefacts.net
Simple Pendulum Theory, Diagram, and Formula. How To Find The Distance A Pendulum Travels Time taken by the pendulum to finish one. Like the simple pendulum, consider only small. Here, the length l of the radius arm is the distance between the point of rotation and the cm. Play with one or two pendulums and discover how the period of a simple pendulum depends on the length of the string, the mass of the. How To Find The Distance A Pendulum Travels.
From www.youtube.com
Let `theta` denote the angular displacement of a simple pendulum How To Find The Distance A Pendulum Travels To analyze the motion, start with the net torque. We first need to find the moment of inertia of the beam. Time taken by the pendulum to finish one. Like the simple pendulum, consider only small. Play with one or two pendulums and discover how the period of a simple pendulum depends on the length of the string, the mass. How To Find The Distance A Pendulum Travels.
From www.youtube.com
The Physical Pendulum YouTube How To Find The Distance A Pendulum Travels Calculates the distance a mass connected to the end of a pendulum of length (r) travels through a measured angle (m degrees), 1, 2, or 4 times. The distance traveled by a pendulum can be calculated using its length and the angle of displacement. To analyze the motion, start with the net torque. Play with one or two pendulums and. How To Find The Distance A Pendulum Travels.
From infinitylearn.com
Using a Simple Pendulum, Plot its LT2 Graph and Use it to Find the How To Find The Distance A Pendulum Travels Like the simple pendulum, consider only small. Distance between the point of suspension to the center of the bob. Play with one or two pendulums and discover how the period of a simple pendulum depends on the length of the string, the mass of the pendulum bob, and the amplitude of the swing. We are asked to find the length. How To Find The Distance A Pendulum Travels.
From www.youtube.com
Physics Finding the Height of a Pendulum Given Length and Theta YouTube How To Find The Distance A Pendulum Travels To analyze the motion, start with the net torque. Calculates the distance a mass connected to the end of a pendulum of length (r) travels through a measured angle (m degrees), 1, 2, or 4 times. Distance between the point of suspension to the center of the bob. Time taken by the pendulum to finish one. We are asked to. How To Find The Distance A Pendulum Travels.
From www.teachoo.com
Ex 3.1, 7 Find angle in radian though which pendulum swings How To Find The Distance A Pendulum Travels Distance between the point of suspension to the center of the bob. Calculates the distance a mass connected to the end of a pendulum of length (r) travels through a measured angle (m degrees), 1, 2, or 4 times. To analyze the motion, start with the net torque. We first need to find the moment of inertia of the beam.. How To Find The Distance A Pendulum Travels.
From www.chegg.com
Solved Note The pendulum bob is released at a height below How To Find The Distance A Pendulum Travels Play with one or two pendulums and discover how the period of a simple pendulum depends on the length of the string, the mass of the pendulum. The distance traveled by a pendulum can be calculated using its length and the angle of displacement. Calculates the distance a mass connected to the end of a pendulum of length (r) travels. How To Find The Distance A Pendulum Travels.
From www.teachoo.com
Conservation of Energy in Simple Pendulum Teachoo Science How To Find The Distance A Pendulum Travels To analyze the motion, start with the net torque. Here, the length l of the radius arm is the distance between the point of rotation and the cm. The distance traveled by a pendulum can be calculated using its length and the angle of displacement. We first need to find the moment of inertia of the beam. Calculates the distance. How To Find The Distance A Pendulum Travels.
From socratic.org
If a pendulum makes and angle of 3 radians as it travels 18 feet, how How To Find The Distance A Pendulum Travels Play with one or two pendulums and discover how the period of a simple pendulum depends on the length of the string, the mass of the pendulum bob, and the amplitude of the swing. The distance traveled by a pendulum can be calculated using its length and the angle of displacement. Calculates the distance a mass connected to the end. How To Find The Distance A Pendulum Travels.
From byjus.com
What do you understand by the amplitude of a simple pendulum? How To Find The Distance A Pendulum Travels Play with one or two pendulums and discover how the period of a simple pendulum depends on the length of the string, the mass of the pendulum. Play with one or two pendulums and discover how the period of a simple pendulum depends on the length of the string, the mass of the pendulum bob, and the amplitude of the. How To Find The Distance A Pendulum Travels.
From www.gauthmath.com
Solved A pendulum of length 17 cm is swinging from a fixed point, as How To Find The Distance A Pendulum Travels The distance traveled by a pendulum can be calculated using its length and the angle of displacement. We are asked to find the length of the physical pendulum with a known mass. Here, the length l of the radius arm is the distance between the point of rotation and the cm. Like the simple pendulum, consider only small. Distance between. How To Find The Distance A Pendulum Travels.
From www.pearson.com
Simple pendulum find the pendulum speed at the bottom and tensio How To Find The Distance A Pendulum Travels The distance traveled by a pendulum can be calculated using its length and the angle of displacement. Play with one or two pendulums and discover how the period of a simple pendulum depends on the length of the string, the mass of the pendulum bob, and the amplitude of the swing. Calculates the distance a mass connected to the end. How To Find The Distance A Pendulum Travels.
From byjus.com
How do you find the maximum speed of a pendulum? How To Find The Distance A Pendulum Travels The distance traveled by a pendulum can be calculated using its length and the angle of displacement. To analyze the motion, start with the net torque. Distance between the point of suspension to the center of the bob. Time taken by the pendulum to finish one. Play with one or two pendulums and discover how the period of a simple. How To Find The Distance A Pendulum Travels.
From www.sliderbase.com
The Pendulum How To Find The Distance A Pendulum Travels The distance traveled by a pendulum can be calculated using its length and the angle of displacement. We are asked to find the length of the physical pendulum with a known mass. Calculates the distance a mass connected to the end of a pendulum of length (r) travels through a measured angle (m degrees), 1, 2, or 4 times. Play. How To Find The Distance A Pendulum Travels.
From www.youtube.com
Find the VELOCITY Of A Pendulum at It's Lowest Point YouTube How To Find The Distance A Pendulum Travels To analyze the motion, start with the net torque. We first need to find the moment of inertia of the beam. Play with one or two pendulums and discover how the period of a simple pendulum depends on the length of the string, the mass of the pendulum bob, and the amplitude of the swing. Play with one or two. How To Find The Distance A Pendulum Travels.
From www.numerade.com
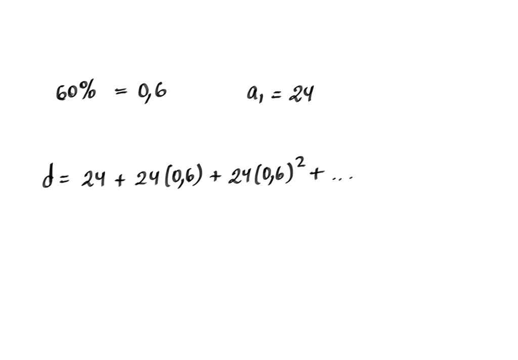
SOLVED A pendulum swing exactly 60 of its previous distance. If the How To Find The Distance A Pendulum Travels Play with one or two pendulums and discover how the period of a simple pendulum depends on the length of the string, the mass of the pendulum. We first need to find the moment of inertia of the beam. To analyze the motion, start with the net torque. Like the simple pendulum, consider only small. Play with one or two. How To Find The Distance A Pendulum Travels.
From www.chegg.com
Solved Consider the simple pendulum shown. The pendulum is How To Find The Distance A Pendulum Travels We are asked to find the length of the physical pendulum with a known mass. We first need to find the moment of inertia of the beam. Play with one or two pendulums and discover how the period of a simple pendulum depends on the length of the string, the mass of the pendulum bob, and the amplitude of the. How To Find The Distance A Pendulum Travels.
From kcollinsphysics.weebly.com
Ballistic Pendulum Lab Kyle Collins Physics How To Find The Distance A Pendulum Travels Calculates the distance a mass connected to the end of a pendulum of length (r) travels through a measured angle (m degrees), 1, 2, or 4 times. Here, the length l of the radius arm is the distance between the point of rotation and the cm. To analyze the motion, start with the net torque. We are asked to find. How To Find The Distance A Pendulum Travels.
From mungfali.com
Simple Pendulum Equation How To Find The Distance A Pendulum Travels We are asked to find the length of the physical pendulum with a known mass. Time taken by the pendulum to finish one. Here, the length l of the radius arm is the distance between the point of rotation and the cm. Play with one or two pendulums and discover how the period of a simple pendulum depends on the. How To Find The Distance A Pendulum Travels.
From www.doubtnut.com
Doubt Solutions Maths, Science, CBSE, NCERT, IIT JEE, NEET How To Find The Distance A Pendulum Travels To analyze the motion, start with the net torque. Here, the length l of the radius arm is the distance between the point of rotation and the cm. We are asked to find the length of the physical pendulum with a known mass. Time taken by the pendulum to finish one. Distance between the point of suspension to the center. How To Find The Distance A Pendulum Travels.
From www.coursehero.com
[Solved] The pendulum on a grandfather clock swings from side to side How To Find The Distance A Pendulum Travels The distance traveled by a pendulum can be calculated using its length and the angle of displacement. Distance between the point of suspension to the center of the bob. Calculates the distance a mass connected to the end of a pendulum of length (r) travels through a measured angle (m degrees), 1, 2, or 4 times. We first need to. How To Find The Distance A Pendulum Travels.
From www.gauthmath.com
Solved 10. A pendulum swing exactly 60 of 1 its previous distance. If How To Find The Distance A Pendulum Travels Like the simple pendulum, consider only small. To analyze the motion, start with the net torque. The distance traveled by a pendulum can be calculated using its length and the angle of displacement. We are asked to find the length of the physical pendulum with a known mass. Play with one or two pendulums and discover how the period of. How To Find The Distance A Pendulum Travels.
From www.reddit.com
The anatomy of Pendulum Pendulum How To Find The Distance A Pendulum Travels Distance between the point of suspension to the center of the bob. Play with one or two pendulums and discover how the period of a simple pendulum depends on the length of the string, the mass of the pendulum bob, and the amplitude of the swing. Like the simple pendulum, consider only small. We are asked to find the length. How To Find The Distance A Pendulum Travels.
From www.chegg.com
Solved 3. Consider The Pendulum System Model Shown In The... How To Find The Distance A Pendulum Travels The distance traveled by a pendulum can be calculated using its length and the angle of displacement. Time taken by the pendulum to finish one. We are asked to find the length of the physical pendulum with a known mass. Play with one or two pendulums and discover how the period of a simple pendulum depends on the length of. How To Find The Distance A Pendulum Travels.
From www.youtube.com
Practice Problem Pendulum Velocity YouTube How To Find The Distance A Pendulum Travels Play with one or two pendulums and discover how the period of a simple pendulum depends on the length of the string, the mass of the pendulum. Like the simple pendulum, consider only small. We first need to find the moment of inertia of the beam. We are asked to find the length of the physical pendulum with a known. How To Find The Distance A Pendulum Travels.
From www.youtube.com
Distance travelled by pendulum till it stops Geometric Infinite Series How To Find The Distance A Pendulum Travels We are asked to find the length of the physical pendulum with a known mass. Distance between the point of suspension to the center of the bob. Play with one or two pendulums and discover how the period of a simple pendulum depends on the length of the string, the mass of the pendulum bob, and the amplitude of the. How To Find The Distance A Pendulum Travels.
From nigerianscholars.com
The Simple Pendulum Oscillatory Motion and Waves How To Find The Distance A Pendulum Travels Play with one or two pendulums and discover how the period of a simple pendulum depends on the length of the string, the mass of the pendulum. We are asked to find the length of the physical pendulum with a known mass. Distance between the point of suspension to the center of the bob. Like the simple pendulum, consider only. How To Find The Distance A Pendulum Travels.
From www.reddit.com
How to find a moment of innertia of physical pendulum AskPhysics How To Find The Distance A Pendulum Travels Like the simple pendulum, consider only small. To analyze the motion, start with the net torque. Here, the length l of the radius arm is the distance between the point of rotation and the cm. Play with one or two pendulums and discover how the period of a simple pendulum depends on the length of the string, the mass of. How To Find The Distance A Pendulum Travels.
From www.britannica.com
Mechanics Motion, Dimensions, Particle Britannica How To Find The Distance A Pendulum Travels Play with one or two pendulums and discover how the period of a simple pendulum depends on the length of the string, the mass of the pendulum. To analyze the motion, start with the net torque. Time taken by the pendulum to finish one. Play with one or two pendulums and discover how the period of a simple pendulum depends. How To Find The Distance A Pendulum Travels.