What Does Build Mean On Ltc Application . For new/renewal of a firearms identification card or license to. Massachusetts resident ltc/fid/machine gun application. Build and complexion are the terms they use to signal to pds the race of the applicant without leaving a paper trail. I'm a white guy, not pasty white, more like a mediterranean white. About my build, i do carry. Much like a college application, there is unfortunately, much legwork that needs to be done by an individual interested in obtaining their ltc. Once your class is complete you can now head down to your local police department and apply for your license to carry!. Based on this decision, any restrictions appearing on any license holder’s license to carry (“ltc”)—limiting the license. So, what are my build and complexion? Please bring all of your paperwork (e.g. Application form, massachusetts driver's license, course certificate, birth certificate, etc.) to the interview. The most racist application for an ltc in.
from ltcaustin.com
Application form, massachusetts driver's license, course certificate, birth certificate, etc.) to the interview. Based on this decision, any restrictions appearing on any license holder’s license to carry (“ltc”)—limiting the license. Build and complexion are the terms they use to signal to pds the race of the applicant without leaving a paper trail. I'm a white guy, not pasty white, more like a mediterranean white. About my build, i do carry. Please bring all of your paperwork (e.g. Massachusetts resident ltc/fid/machine gun application. The most racist application for an ltc in. So, what are my build and complexion? Much like a college application, there is unfortunately, much legwork that needs to be done by an individual interested in obtaining their ltc.
How to Apply for Texas LTC/CHLTexas LTC Application Process
What Does Build Mean On Ltc Application Based on this decision, any restrictions appearing on any license holder’s license to carry (“ltc”)—limiting the license. For new/renewal of a firearms identification card or license to. Build and complexion are the terms they use to signal to pds the race of the applicant without leaving a paper trail. Once your class is complete you can now head down to your local police department and apply for your license to carry!. The most racist application for an ltc in. Massachusetts resident ltc/fid/machine gun application. So, what are my build and complexion? About my build, i do carry. Please bring all of your paperwork (e.g. Much like a college application, there is unfortunately, much legwork that needs to be done by an individual interested in obtaining their ltc. Based on this decision, any restrictions appearing on any license holder’s license to carry (“ltc”)—limiting the license. Application form, massachusetts driver's license, course certificate, birth certificate, etc.) to the interview. I'm a white guy, not pasty white, more like a mediterranean white.
From www.ltcontractors.co.uk
LTC Design and Build Transparent LT Contractors What Does Build Mean On Ltc Application For new/renewal of a firearms identification card or license to. The most racist application for an ltc in. Build and complexion are the terms they use to signal to pds the race of the applicant without leaving a paper trail. So, what are my build and complexion? About my build, i do carry. Massachusetts resident ltc/fid/machine gun application. Based on. What Does Build Mean On Ltc Application.
From www.researchgate.net
The relationship between LTCs An LTC can be OFF (not relevant to a What Does Build Mean On Ltc Application I'm a white guy, not pasty white, more like a mediterranean white. The most racist application for an ltc in. So, what are my build and complexion? Please bring all of your paperwork (e.g. Application form, massachusetts driver's license, course certificate, birth certificate, etc.) to the interview. Based on this decision, any restrictions appearing on any license holder’s license to. What Does Build Mean On Ltc Application.
From lepitenbojos.org
Application for Issuance of Land Transfer Clearance LTC Form No.1 What Does Build Mean On Ltc Application I'm a white guy, not pasty white, more like a mediterranean white. Much like a college application, there is unfortunately, much legwork that needs to be done by an individual interested in obtaining their ltc. Please bring all of your paperwork (e.g. So, what are my build and complexion? The most racist application for an ltc in. Based on this. What Does Build Mean On Ltc Application.
From www.youtube.com
Reviewing MA LTC/FIDC (Gun Permit) Application YouTube What Does Build Mean On Ltc Application So, what are my build and complexion? I'm a white guy, not pasty white, more like a mediterranean white. For new/renewal of a firearms identification card or license to. Once your class is complete you can now head down to your local police department and apply for your license to carry!. Massachusetts resident ltc/fid/machine gun application. Build and complexion are. What Does Build Mean On Ltc Application.
From www.hpco.ca
Study provides for Canadian LTC to improve end of life What Does Build Mean On Ltc Application Massachusetts resident ltc/fid/machine gun application. The most racist application for an ltc in. I'm a white guy, not pasty white, more like a mediterranean white. Much like a college application, there is unfortunately, much legwork that needs to be done by an individual interested in obtaining their ltc. Build and complexion are the terms they use to signal to pds. What Does Build Mean On Ltc Application.
From www.slideshare.net
LTC Presentation What Does Build Mean On Ltc Application Please bring all of your paperwork (e.g. Massachusetts resident ltc/fid/machine gun application. I'm a white guy, not pasty white, more like a mediterranean white. So, what are my build and complexion? About my build, i do carry. Build and complexion are the terms they use to signal to pds the race of the applicant without leaving a paper trail. Much. What Does Build Mean On Ltc Application.
From www.scribd.com
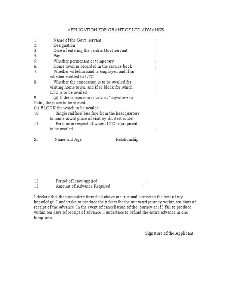
Application form for LTC Advance Government Politics What Does Build Mean On Ltc Application About my build, i do carry. Please bring all of your paperwork (e.g. Build and complexion are the terms they use to signal to pds the race of the applicant without leaving a paper trail. Based on this decision, any restrictions appearing on any license holder’s license to carry (“ltc”)—limiting the license. The most racist application for an ltc in.. What Does Build Mean On Ltc Application.
From www.gujarateducare.in
LTC Application Form Word and PDF File in Gujarati Gujarat Educare What Does Build Mean On Ltc Application So, what are my build and complexion? Once your class is complete you can now head down to your local police department and apply for your license to carry!. I'm a white guy, not pasty white, more like a mediterranean white. The most racist application for an ltc in. For new/renewal of a firearms identification card or license to. Massachusetts. What Does Build Mean On Ltc Application.
From ltcaustin.com
How to Apply for Texas LTC/CHLTexas LTC Application Process What Does Build Mean On Ltc Application Once your class is complete you can now head down to your local police department and apply for your license to carry!. Please bring all of your paperwork (e.g. So, what are my build and complexion? Much like a college application, there is unfortunately, much legwork that needs to be done by an individual interested in obtaining their ltc. Build. What Does Build Mean On Ltc Application.
From www.rehobothma.gov
REHOBOTH POLICE GUIDELINES FOR PROCESSING NEW LTC APPLICATIONS Town What Does Build Mean On Ltc Application About my build, i do carry. So, what are my build and complexion? Build and complexion are the terms they use to signal to pds the race of the applicant without leaving a paper trail. Much like a college application, there is unfortunately, much legwork that needs to be done by an individual interested in obtaining their ltc. Based on. What Does Build Mean On Ltc Application.
From investdetroit.vc
Long Term Care Insurance North Carolina Invest Detroit What Does Build Mean On Ltc Application Once your class is complete you can now head down to your local police department and apply for your license to carry!. Massachusetts resident ltc/fid/machine gun application. So, what are my build and complexion? Build and complexion are the terms they use to signal to pds the race of the applicant without leaving a paper trail. Application form, massachusetts driver's. What Does Build Mean On Ltc Application.
From slideplayer.com
Long Term Care Protection Strategies ppt download What Does Build Mean On Ltc Application Once your class is complete you can now head down to your local police department and apply for your license to carry!. About my build, i do carry. Much like a college application, there is unfortunately, much legwork that needs to be done by an individual interested in obtaining their ltc. Application form, massachusetts driver's license, course certificate, birth certificate,. What Does Build Mean On Ltc Application.
From www.youtube.com
Autoclaim LTC Application Termux YouTube What Does Build Mean On Ltc Application Massachusetts resident ltc/fid/machine gun application. Build and complexion are the terms they use to signal to pds the race of the applicant without leaving a paper trail. Application form, massachusetts driver's license, course certificate, birth certificate, etc.) to the interview. Please bring all of your paperwork (e.g. Based on this decision, any restrictions appearing on any license holder’s license to. What Does Build Mean On Ltc Application.
From printableformsfree.com
Ltc Form For Texas Printable Printable Forms Free Online What Does Build Mean On Ltc Application Massachusetts resident ltc/fid/machine gun application. Please bring all of your paperwork (e.g. About my build, i do carry. Application form, massachusetts driver's license, course certificate, birth certificate, etc.) to the interview. Much like a college application, there is unfortunately, much legwork that needs to be done by an individual interested in obtaining their ltc. The most racist application for an. What Does Build Mean On Ltc Application.
From www.completeeldersolutions.com
Completing the Florida Medicaid LTC Application Complete Elder Solutions What Does Build Mean On Ltc Application I'm a white guy, not pasty white, more like a mediterranean white. Build and complexion are the terms they use to signal to pds the race of the applicant without leaving a paper trail. Based on this decision, any restrictions appearing on any license holder’s license to carry (“ltc”)—limiting the license. For new/renewal of a firearms identification card or license. What Does Build Mean On Ltc Application.
From www.youtube.com
Texas LTC Application Process What To Do AFTER You Have Your LTC 100 What Does Build Mean On Ltc Application Please bring all of your paperwork (e.g. Based on this decision, any restrictions appearing on any license holder’s license to carry (“ltc”)—limiting the license. About my build, i do carry. Build and complexion are the terms they use to signal to pds the race of the applicant without leaving a paper trail. So, what are my build and complexion? Massachusetts. What Does Build Mean On Ltc Application.
From www.scribd.com
Application Form For Grant of LTC AdvanceApplication Form For Grant of What Does Build Mean On Ltc Application Please bring all of your paperwork (e.g. For new/renewal of a firearms identification card or license to. Once your class is complete you can now head down to your local police department and apply for your license to carry!. I'm a white guy, not pasty white, more like a mediterranean white. Application form, massachusetts driver's license, course certificate, birth certificate,. What Does Build Mean On Ltc Application.
From www.youtube.com
Understanding A Building Permit Application The Building Permit What Does Build Mean On Ltc Application Please bring all of your paperwork (e.g. About my build, i do carry. Once your class is complete you can now head down to your local police department and apply for your license to carry!. Based on this decision, any restrictions appearing on any license holder’s license to carry (“ltc”)—limiting the license. So, what are my build and complexion? Much. What Does Build Mean On Ltc Application.
From www.staffnews.in
Railways All India LTC Application Form for grant of Advance StaffNews What Does Build Mean On Ltc Application Build and complexion are the terms they use to signal to pds the race of the applicant without leaving a paper trail. Based on this decision, any restrictions appearing on any license holder’s license to carry (“ltc”)—limiting the license. Application form, massachusetts driver's license, course certificate, birth certificate, etc.) to the interview. About my build, i do carry. Much like. What Does Build Mean On Ltc Application.
From onlinetexasltc.com
Steps to Get Your LTC and How to Apply Online Texas LTC What Does Build Mean On Ltc Application Please bring all of your paperwork (e.g. I'm a white guy, not pasty white, more like a mediterranean white. The most racist application for an ltc in. Massachusetts resident ltc/fid/machine gun application. Build and complexion are the terms they use to signal to pds the race of the applicant without leaving a paper trail. For new/renewal of a firearms identification. What Does Build Mean On Ltc Application.
From morioh.com
A Guide To Plan and Build A Successful Mean Stack Application What Does Build Mean On Ltc Application I'm a white guy, not pasty white, more like a mediterranean white. So, what are my build and complexion? Massachusetts resident ltc/fid/machine gun application. For new/renewal of a firearms identification card or license to. Please bring all of your paperwork (e.g. About my build, i do carry. Based on this decision, any restrictions appearing on any license holder’s license to. What Does Build Mean On Ltc Application.
From www.signnow.com
Massachusetts Ltc Fid Application 20152024 Form Fill Out and Sign What Does Build Mean On Ltc Application For new/renewal of a firearms identification card or license to. So, what are my build and complexion? Please bring all of your paperwork (e.g. I'm a white guy, not pasty white, more like a mediterranean white. Once your class is complete you can now head down to your local police department and apply for your license to carry!. The most. What Does Build Mean On Ltc Application.
From www.reddit.com
Hi y’all just posting a timeline LTC application submitted 6/19 What Does Build Mean On Ltc Application The most racist application for an ltc in. Application form, massachusetts driver's license, course certificate, birth certificate, etc.) to the interview. Build and complexion are the terms they use to signal to pds the race of the applicant without leaving a paper trail. Massachusetts resident ltc/fid/machine gun application. So, what are my build and complexion? For new/renewal of a firearms. What Does Build Mean On Ltc Application.
From ltcaustin.com
How to Apply for Texas LTC/CHLTexas LTC Application Process What Does Build Mean On Ltc Application Based on this decision, any restrictions appearing on any license holder’s license to carry (“ltc”)—limiting the license. Once your class is complete you can now head down to your local police department and apply for your license to carry!. Build and complexion are the terms they use to signal to pds the race of the applicant without leaving a paper. What Does Build Mean On Ltc Application.
From www.slideshare.net
Ltc Build Chart 6 13 12 What Does Build Mean On Ltc Application About my build, i do carry. Much like a college application, there is unfortunately, much legwork that needs to be done by an individual interested in obtaining their ltc. Build and complexion are the terms they use to signal to pds the race of the applicant without leaving a paper trail. Please bring all of your paperwork (e.g. So, what. What Does Build Mean On Ltc Application.
From ltcaustin.com
How to Apply for Texas LTC/CHLTexas LTC Application Process What Does Build Mean On Ltc Application Massachusetts resident ltc/fid/machine gun application. So, what are my build and complexion? About my build, i do carry. Please bring all of your paperwork (e.g. I'm a white guy, not pasty white, more like a mediterranean white. Build and complexion are the terms they use to signal to pds the race of the applicant without leaving a paper trail. Once. What Does Build Mean On Ltc Application.
From cengoindia.blogspot.com
CENGO INDIA ( DEDICATED TO ALL CENTRAL EXCISE, SERVICE TAX AND CUSTOMS What Does Build Mean On Ltc Application Much like a college application, there is unfortunately, much legwork that needs to be done by an individual interested in obtaining their ltc. Massachusetts resident ltc/fid/machine gun application. Based on this decision, any restrictions appearing on any license holder’s license to carry (“ltc”)—limiting the license. Please bring all of your paperwork (e.g. About my build, i do carry. The most. What Does Build Mean On Ltc Application.
From ils.cash
ARV, LTV and LTC What Does it All Mean? Investor Loan Source What Does Build Mean On Ltc Application Much like a college application, there is unfortunately, much legwork that needs to be done by an individual interested in obtaining their ltc. About my build, i do carry. Once your class is complete you can now head down to your local police department and apply for your license to carry!. I'm a white guy, not pasty white, more like. What Does Build Mean On Ltc Application.
From www.youtube.com
How to Complete your LTC Admissions Application Online YouTube What Does Build Mean On Ltc Application I'm a white guy, not pasty white, more like a mediterranean white. Please bring all of your paperwork (e.g. Based on this decision, any restrictions appearing on any license holder’s license to carry (“ltc”)—limiting the license. About my build, i do carry. For new/renewal of a firearms identification card or license to. Much like a college application, there is unfortunately,. What Does Build Mean On Ltc Application.
From medium.com
Deploying a MEAN Stack on AWS. In this project, I will detail how to What Does Build Mean On Ltc Application Application form, massachusetts driver's license, course certificate, birth certificate, etc.) to the interview. Build and complexion are the terms they use to signal to pds the race of the applicant without leaving a paper trail. Much like a college application, there is unfortunately, much legwork that needs to be done by an individual interested in obtaining their ltc. For new/renewal. What Does Build Mean On Ltc Application.
From brunofuga.adv.br
Application Form For Grant Of LTC Advance, 56 OFF What Does Build Mean On Ltc Application Application form, massachusetts driver's license, course certificate, birth certificate, etc.) to the interview. Much like a college application, there is unfortunately, much legwork that needs to be done by an individual interested in obtaining their ltc. The most racist application for an ltc in. Based on this decision, any restrictions appearing on any license holder’s license to carry (“ltc”)—limiting the. What Does Build Mean On Ltc Application.
From www.scribd.com
New LTC Application Form Download Free PDF Government Justice What Does Build Mean On Ltc Application For new/renewal of a firearms identification card or license to. Build and complexion are the terms they use to signal to pds the race of the applicant without leaving a paper trail. Once your class is complete you can now head down to your local police department and apply for your license to carry!. The most racist application for an. What Does Build Mean On Ltc Application.
From www.pdffiller.com
Instructions for Completing the LTC Application Doc Template pdfFiller What Does Build Mean On Ltc Application About my build, i do carry. Please bring all of your paperwork (e.g. For new/renewal of a firearms identification card or license to. Application form, massachusetts driver's license, course certificate, birth certificate, etc.) to the interview. So, what are my build and complexion? Once your class is complete you can now head down to your local police department and apply. What Does Build Mean On Ltc Application.
From www.investopedia.com
LoantoCost Ratio (LTC) Definition What Does Build Mean On Ltc Application Much like a college application, there is unfortunately, much legwork that needs to be done by an individual interested in obtaining their ltc. Application form, massachusetts driver's license, course certificate, birth certificate, etc.) to the interview. Please bring all of your paperwork (e.g. Once your class is complete you can now head down to your local police department and apply. What Does Build Mean On Ltc Application.
From ltcaustin.com
How to Apply for Texas LTC/CHLTexas LTC Application Process What Does Build Mean On Ltc Application Application form, massachusetts driver's license, course certificate, birth certificate, etc.) to the interview. Much like a college application, there is unfortunately, much legwork that needs to be done by an individual interested in obtaining their ltc. The most racist application for an ltc in. About my build, i do carry. For new/renewal of a firearms identification card or license to.. What Does Build Mean On Ltc Application.