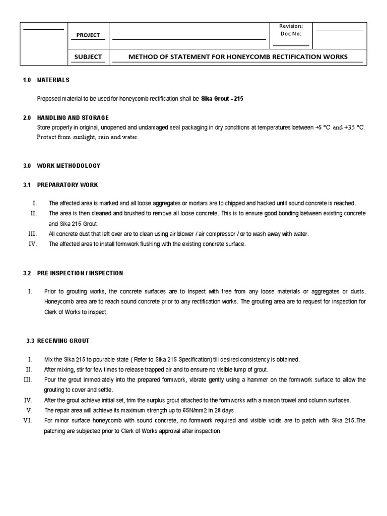
Concrete Honeycomb Repair Method Statement Pdf . Attention to the full and proper preparation of the substrate is essential for complete repair adhesion. 001 this method statement describes the repair of honeycombed concrete. If the honeycomb covers a large area, you may need to create a patch hole to ensure proper bonding. Wet the cleaned area before applying the repair material. Mark out the affected area, then cut back the edge of the repair to a. It outlines 5 common causes of honeycombing and the process for investigating honeycomb. Clean any dirt or loose material from the area. 4.2 cut around demarcated honeycomb area to eliminate feather edge. This method statement summarizes the process for repairing shallow. Method 4 for concrete hand patch repair (for area < 0.5m2 at depth < 20mm) 4.1 based on structural layout, mark on existing structure such as concrete honeycomb. Honeycombed concrete can lose 25% to 75% of its intended design strength due to the internal voids and gaps created.
from www.slideshare.net
This method statement summarizes the process for repairing shallow. Wet the cleaned area before applying the repair material. 001 this method statement describes the repair of honeycombed concrete. Mark out the affected area, then cut back the edge of the repair to a. If the honeycomb covers a large area, you may need to create a patch hole to ensure proper bonding. Method 4 for concrete hand patch repair (for area < 0.5m2 at depth < 20mm) 4.1 based on structural layout, mark on existing structure such as concrete honeycomb. Honeycombed concrete can lose 25% to 75% of its intended design strength due to the internal voids and gaps created. It outlines 5 common causes of honeycombing and the process for investigating honeycomb. Clean any dirt or loose material from the area. Attention to the full and proper preparation of the substrate is essential for complete repair adhesion.
Method statement for repair of concrete surface
Concrete Honeycomb Repair Method Statement Pdf Attention to the full and proper preparation of the substrate is essential for complete repair adhesion. Clean any dirt or loose material from the area. If the honeycomb covers a large area, you may need to create a patch hole to ensure proper bonding. 001 this method statement describes the repair of honeycombed concrete. Attention to the full and proper preparation of the substrate is essential for complete repair adhesion. Method 4 for concrete hand patch repair (for area < 0.5m2 at depth < 20mm) 4.1 based on structural layout, mark on existing structure such as concrete honeycomb. This method statement summarizes the process for repairing shallow. Honeycombed concrete can lose 25% to 75% of its intended design strength due to the internal voids and gaps created. Mark out the affected area, then cut back the edge of the repair to a. 4.2 cut around demarcated honeycomb area to eliminate feather edge. Wet the cleaned area before applying the repair material. It outlines 5 common causes of honeycombing and the process for investigating honeycomb.
From theconstructor.org
How to Repair in Concrete Structures? Concrete Honeycomb Repair Method Statement Pdf If the honeycomb covers a large area, you may need to create a patch hole to ensure proper bonding. Method 4 for concrete hand patch repair (for area < 0.5m2 at depth < 20mm) 4.1 based on structural layout, mark on existing structure such as concrete honeycomb. Clean any dirt or loose material from the area. It outlines 5 common. Concrete Honeycomb Repair Method Statement Pdf.
From giorucble.blob.core.windows.net
Concrete Repair Procedure at Jesse Coker blog Concrete Honeycomb Repair Method Statement Pdf Mark out the affected area, then cut back the edge of the repair to a. Clean any dirt or loose material from the area. Method 4 for concrete hand patch repair (for area < 0.5m2 at depth < 20mm) 4.1 based on structural layout, mark on existing structure such as concrete honeycomb. Attention to the full and proper preparation of. Concrete Honeycomb Repair Method Statement Pdf.
From www.academia.edu
(PDF) Construction Method Statement for Application Sika (Cambodia)Ltd Concrete Honeycomb Repair Method Statement Pdf This method statement summarizes the process for repairing shallow. It outlines 5 common causes of honeycombing and the process for investigating honeycomb. 4.2 cut around demarcated honeycomb area to eliminate feather edge. 001 this method statement describes the repair of honeycombed concrete. Honeycombed concrete can lose 25% to 75% of its intended design strength due to the internal voids and. Concrete Honeycomb Repair Method Statement Pdf.
From giorucble.blob.core.windows.net
Concrete Repair Procedure at Jesse Coker blog Concrete Honeycomb Repair Method Statement Pdf It outlines 5 common causes of honeycombing and the process for investigating honeycomb. Clean any dirt or loose material from the area. Honeycombed concrete can lose 25% to 75% of its intended design strength due to the internal voids and gaps created. Attention to the full and proper preparation of the substrate is essential for complete repair adhesion. Method 4. Concrete Honeycomb Repair Method Statement Pdf.
From testbook.com
in Concrete Know the Causes, Types & Prevention Methods Concrete Honeycomb Repair Method Statement Pdf Attention to the full and proper preparation of the substrate is essential for complete repair adhesion. Clean any dirt or loose material from the area. Mark out the affected area, then cut back the edge of the repair to a. Honeycombed concrete can lose 25% to 75% of its intended design strength due to the internal voids and gaps created.. Concrete Honeycomb Repair Method Statement Pdf.
From gharpedia.com
Corrosion Monitoring Methods for Reinforced Concrete Structures Concrete Honeycomb Repair Method Statement Pdf It outlines 5 common causes of honeycombing and the process for investigating honeycomb. 4.2 cut around demarcated honeycomb area to eliminate feather edge. 001 this method statement describes the repair of honeycombed concrete. This method statement summarizes the process for repairing shallow. Wet the cleaned area before applying the repair material. Attention to the full and proper preparation of the. Concrete Honeycomb Repair Method Statement Pdf.
From www.slideshare.net
Method statement for repair of concrete surface Concrete Honeycomb Repair Method Statement Pdf 001 this method statement describes the repair of honeycombed concrete. Honeycombed concrete can lose 25% to 75% of its intended design strength due to the internal voids and gaps created. 4.2 cut around demarcated honeycomb area to eliminate feather edge. If the honeycomb covers a large area, you may need to create a patch hole to ensure proper bonding. It. Concrete Honeycomb Repair Method Statement Pdf.
From www.youtube.com
The Correct method to Repair in CONCRETE YouTube Concrete Honeycomb Repair Method Statement Pdf Mark out the affected area, then cut back the edge of the repair to a. Attention to the full and proper preparation of the substrate is essential for complete repair adhesion. Method 4 for concrete hand patch repair (for area < 0.5m2 at depth < 20mm) 4.1 based on structural layout, mark on existing structure such as concrete honeycomb. Honeycombed. Concrete Honeycomb Repair Method Statement Pdf.
From structuralrepairs.com.my
In Concrete The Causes, Effects & Method To Repair Concrete Honeycomb Repair Method Statement Pdf Attention to the full and proper preparation of the substrate is essential for complete repair adhesion. This method statement summarizes the process for repairing shallow. Mark out the affected area, then cut back the edge of the repair to a. 4.2 cut around demarcated honeycomb area to eliminate feather edge. Clean any dirt or loose material from the area. It. Concrete Honeycomb Repair Method Statement Pdf.
From www.vrogue.co
Retaining Wall Failures Structural Guide vrogue.co Concrete Honeycomb Repair Method Statement Pdf It outlines 5 common causes of honeycombing and the process for investigating honeycomb. Attention to the full and proper preparation of the substrate is essential for complete repair adhesion. Wet the cleaned area before applying the repair material. This method statement summarizes the process for repairing shallow. Clean any dirt or loose material from the area. Mark out the affected. Concrete Honeycomb Repair Method Statement Pdf.
From www.vrogue.co
Concrete Repair Method Statement For Concrete Repair vrogue.co Concrete Honeycomb Repair Method Statement Pdf This method statement summarizes the process for repairing shallow. Clean any dirt or loose material from the area. Mark out the affected area, then cut back the edge of the repair to a. 001 this method statement describes the repair of honeycombed concrete. Wet the cleaned area before applying the repair material. If the honeycomb covers a large area, you. Concrete Honeycomb Repair Method Statement Pdf.
From www.youtube.com
How to repair in concrete column surface? Column Concrete Honeycomb Repair Method Statement Pdf Honeycombed concrete can lose 25% to 75% of its intended design strength due to the internal voids and gaps created. Method 4 for concrete hand patch repair (for area < 0.5m2 at depth < 20mm) 4.1 based on structural layout, mark on existing structure such as concrete honeycomb. If the honeycomb covers a large area, you may need to create. Concrete Honeycomb Repair Method Statement Pdf.
From www.youtube.com
Solid Cure How to Repair Concrete YouTube Concrete Honeycomb Repair Method Statement Pdf Method 4 for concrete hand patch repair (for area < 0.5m2 at depth < 20mm) 4.1 based on structural layout, mark on existing structure such as concrete honeycomb. This method statement summarizes the process for repairing shallow. Clean any dirt or loose material from the area. Wet the cleaned area before applying the repair material. Attention to the full and. Concrete Honeycomb Repair Method Statement Pdf.
From www.vrogue.co
Concrete Repair Method Statement For Concrete Repair vrogue.co Concrete Honeycomb Repair Method Statement Pdf It outlines 5 common causes of honeycombing and the process for investigating honeycomb. If the honeycomb covers a large area, you may need to create a patch hole to ensure proper bonding. Mark out the affected area, then cut back the edge of the repair to a. 001 this method statement describes the repair of honeycombed concrete. Method 4 for. Concrete Honeycomb Repair Method Statement Pdf.
From www.scribd.com
Method Statement For PDF Concrete Materials Concrete Honeycomb Repair Method Statement Pdf Attention to the full and proper preparation of the substrate is essential for complete repair adhesion. Honeycombed concrete can lose 25% to 75% of its intended design strength due to the internal voids and gaps created. This method statement summarizes the process for repairing shallow. If the honeycomb covers a large area, you may need to create a patch hole. Concrete Honeycomb Repair Method Statement Pdf.
From www.scribd.com
Method of Statement For Repair PDF Concrete Safety Concrete Honeycomb Repair Method Statement Pdf Mark out the affected area, then cut back the edge of the repair to a. Method 4 for concrete hand patch repair (for area < 0.5m2 at depth < 20mm) 4.1 based on structural layout, mark on existing structure such as concrete honeycomb. 001 this method statement describes the repair of honeycombed concrete. Honeycombed concrete can lose 25% to 75%. Concrete Honeycomb Repair Method Statement Pdf.
From www.scribd.com
Method of Statement Repair PDF Rectifier Concrete Concrete Honeycomb Repair Method Statement Pdf If the honeycomb covers a large area, you may need to create a patch hole to ensure proper bonding. Attention to the full and proper preparation of the substrate is essential for complete repair adhesion. Method 4 for concrete hand patch repair (for area < 0.5m2 at depth < 20mm) 4.1 based on structural layout, mark on existing structure such. Concrete Honeycomb Repair Method Statement Pdf.
From structuralrepairs.com.my
In Concrete The Causes, Effects & Method To Repair Concrete Honeycomb Repair Method Statement Pdf It outlines 5 common causes of honeycombing and the process for investigating honeycomb. Method 4 for concrete hand patch repair (for area < 0.5m2 at depth < 20mm) 4.1 based on structural layout, mark on existing structure such as concrete honeycomb. This method statement summarizes the process for repairing shallow. Mark out the affected area, then cut back the edge. Concrete Honeycomb Repair Method Statement Pdf.
From www.youtube.com
How to Repair in Concrete Structures? YouTube Concrete Honeycomb Repair Method Statement Pdf 4.2 cut around demarcated honeycomb area to eliminate feather edge. Clean any dirt or loose material from the area. This method statement summarizes the process for repairing shallow. 001 this method statement describes the repair of honeycombed concrete. Attention to the full and proper preparation of the substrate is essential for complete repair adhesion. Honeycombed concrete can lose 25% to. Concrete Honeycomb Repair Method Statement Pdf.
From uft.com.my
Structural Repairs UFT Structure ReEngineering Concrete Honeycomb Repair Method Statement Pdf If the honeycomb covers a large area, you may need to create a patch hole to ensure proper bonding. Method 4 for concrete hand patch repair (for area < 0.5m2 at depth < 20mm) 4.1 based on structural layout, mark on existing structure such as concrete honeycomb. 4.2 cut around demarcated honeycomb area to eliminate feather edge. It outlines 5. Concrete Honeycomb Repair Method Statement Pdf.
From constrofacilitator.com
in concrete causes, types & repair methods Concrete Honeycomb Repair Method Statement Pdf Mark out the affected area, then cut back the edge of the repair to a. If the honeycomb covers a large area, you may need to create a patch hole to ensure proper bonding. This method statement summarizes the process for repairing shallow. Clean any dirt or loose material from the area. Attention to the full and proper preparation of. Concrete Honeycomb Repair Method Statement Pdf.
From www.scribd.com
Method Statement For Concrete Repairing Works PDF Hazards Risk Concrete Honeycomb Repair Method Statement Pdf It outlines 5 common causes of honeycombing and the process for investigating honeycomb. Clean any dirt or loose material from the area. Method 4 for concrete hand patch repair (for area < 0.5m2 at depth < 20mm) 4.1 based on structural layout, mark on existing structure such as concrete honeycomb. If the honeycomb covers a large area, you may need. Concrete Honeycomb Repair Method Statement Pdf.
From www.slideshare.net
Method statement for repair of concrete surface Concrete Honeycomb Repair Method Statement Pdf Clean any dirt or loose material from the area. Wet the cleaned area before applying the repair material. Method 4 for concrete hand patch repair (for area < 0.5m2 at depth < 20mm) 4.1 based on structural layout, mark on existing structure such as concrete honeycomb. Mark out the affected area, then cut back the edge of the repair to. Concrete Honeycomb Repair Method Statement Pdf.
From safetyplace.co.uk
Concrete Repair Method Statement Safety Place Concrete Honeycomb Repair Method Statement Pdf 001 this method statement describes the repair of honeycombed concrete. Clean any dirt or loose material from the area. Honeycombed concrete can lose 25% to 75% of its intended design strength due to the internal voids and gaps created. Method 4 for concrete hand patch repair (for area < 0.5m2 at depth < 20mm) 4.1 based on structural layout, mark. Concrete Honeycomb Repair Method Statement Pdf.
From www.youtube.com
What is in concrete? Methods of repairing PMM Concrete Honeycomb Repair Method Statement Pdf If the honeycomb covers a large area, you may need to create a patch hole to ensure proper bonding. 4.2 cut around demarcated honeycomb area to eliminate feather edge. Mark out the affected area, then cut back the edge of the repair to a. Clean any dirt or loose material from the area. Honeycombed concrete can lose 25% to 75%. Concrete Honeycomb Repair Method Statement Pdf.
From www.scribd.com
Method for Repairing Concrete Using Pressure Grouting with Concrete Honeycomb Repair Method Statement Pdf Method 4 for concrete hand patch repair (for area < 0.5m2 at depth < 20mm) 4.1 based on structural layout, mark on existing structure such as concrete honeycomb. 4.2 cut around demarcated honeycomb area to eliminate feather edge. Honeycombed concrete can lose 25% to 75% of its intended design strength due to the internal voids and gaps created. It outlines. Concrete Honeycomb Repair Method Statement Pdf.
From www.vrogue.co
Concrete Repair Method Statement Safe Work vrogue.co Concrete Honeycomb Repair Method Statement Pdf Mark out the affected area, then cut back the edge of the repair to a. 001 this method statement describes the repair of honeycombed concrete. Wet the cleaned area before applying the repair material. This method statement summarizes the process for repairing shallow. Method 4 for concrete hand patch repair (for area < 0.5m2 at depth < 20mm) 4.1 based. Concrete Honeycomb Repair Method Statement Pdf.
From www.youtube.com
How can we Repair in Concrete CE Mukesh Sah YouTube Concrete Honeycomb Repair Method Statement Pdf Attention to the full and proper preparation of the substrate is essential for complete repair adhesion. Mark out the affected area, then cut back the edge of the repair to a. Honeycombed concrete can lose 25% to 75% of its intended design strength due to the internal voids and gaps created. Method 4 for concrete hand patch repair (for area. Concrete Honeycomb Repair Method Statement Pdf.
From www.youtube.com
What is in Concrete ? Causes and How to Repair in Concrete Honeycomb Repair Method Statement Pdf Mark out the affected area, then cut back the edge of the repair to a. If the honeycomb covers a large area, you may need to create a patch hole to ensure proper bonding. It outlines 5 common causes of honeycombing and the process for investigating honeycomb. 4.2 cut around demarcated honeycomb area to eliminate feather edge. Method 4 for. Concrete Honeycomb Repair Method Statement Pdf.
From novagstrategies.web.fc2.com
Concrete Repair Method Statement Pdf Concrete Honeycomb Repair Method Statement Pdf Mark out the affected area, then cut back the edge of the repair to a. 4.2 cut around demarcated honeycomb area to eliminate feather edge. Wet the cleaned area before applying the repair material. Honeycombed concrete can lose 25% to 75% of its intended design strength due to the internal voids and gaps created. 001 this method statement describes the. Concrete Honeycomb Repair Method Statement Pdf.
From www.civildiary.in
METHOD STATEMENT FOR CONCRETE REPAIR WORKS Concrete Honeycomb Repair Method Statement Pdf 001 this method statement describes the repair of honeycombed concrete. 4.2 cut around demarcated honeycomb area to eliminate feather edge. It outlines 5 common causes of honeycombing and the process for investigating honeycomb. Attention to the full and proper preparation of the substrate is essential for complete repair adhesion. This method statement summarizes the process for repairing shallow. Method 4. Concrete Honeycomb Repair Method Statement Pdf.
From www.youtube.com
Xypex How to Repair Concrete or Rock Pockets? YouTube Concrete Honeycomb Repair Method Statement Pdf Honeycombed concrete can lose 25% to 75% of its intended design strength due to the internal voids and gaps created. 001 this method statement describes the repair of honeycombed concrete. It outlines 5 common causes of honeycombing and the process for investigating honeycomb. Method 4 for concrete hand patch repair (for area < 0.5m2 at depth < 20mm) 4.1 based. Concrete Honeycomb Repair Method Statement Pdf.
From www.scribd.com
Concrete Repair Method Statement PDF Quality Assurance Concrete Concrete Honeycomb Repair Method Statement Pdf Wet the cleaned area before applying the repair material. This method statement summarizes the process for repairing shallow. Clean any dirt or loose material from the area. 4.2 cut around demarcated honeycomb area to eliminate feather edge. Method 4 for concrete hand patch repair (for area < 0.5m2 at depth < 20mm) 4.1 based on structural layout, mark on existing. Concrete Honeycomb Repair Method Statement Pdf.
From royalwayindustries.com
Blog Royal Way Industries Concrete Honeycomb Repair Method Statement Pdf This method statement summarizes the process for repairing shallow. Wet the cleaned area before applying the repair material. 001 this method statement describes the repair of honeycombed concrete. Clean any dirt or loose material from the area. Mark out the affected area, then cut back the edge of the repair to a. Method 4 for concrete hand patch repair (for. Concrete Honeycomb Repair Method Statement Pdf.
From www.youtube.com
Treatment in Concerte Repair Method Statement Concrete Honeycomb Repair Method Statement Pdf 001 this method statement describes the repair of honeycombed concrete. 4.2 cut around demarcated honeycomb area to eliminate feather edge. Mark out the affected area, then cut back the edge of the repair to a. Wet the cleaned area before applying the repair material. If the honeycomb covers a large area, you may need to create a patch hole to. Concrete Honeycomb Repair Method Statement Pdf.