Using A Kettle To Calculate The Specific Heat Of Water . In this required practical activity it is important to: There are different ways to determine the specific heat capacity of water. • calculating specific heats • that electrical power can be transformed into heat that changes the temperature of. This exercise is designed to give you an understanding of: This quantity determines the amount of energy needed to change the temperature of a substance. The specific heat capacity is measured in units. Energy = power × time. Calculate the mass of water in the kettle. Our water heating calculator can help you determine both the amount of heat required to raise the temperature of some h 2 o and the time it will take. It considers the heat capacities. Place the sensor in the water and switch on the kettle. Measure the temperature of the water as it gets. Calculate the energy from the power and time. Specific heat is the amount of thermal energy you need to supply to a sample weighing 1 kg to increase its temperature by 1 k. Calculate the specific heat capacity of the liquid.
from www.studocu.com
This quantity determines the amount of energy needed to change the temperature of a substance. This exercise is designed to give you an understanding of: Place the sensor in the water and switch on the kettle. The specific heat capacity is measured in units. Calculate the energy from the power and time. • calculating specific heats • that electrical power can be transformed into heat that changes the temperature of. It considers the heat capacities. There are different ways to determine the specific heat capacity of water. In this required practical activity it is important to: Specific heat is the amount of thermal energy you need to supply to a sample weighing 1 kg to increase its temperature by 1 k.
Investigation 1 Using a Kettle to calculate the specific heat of water
Using A Kettle To Calculate The Specific Heat Of Water This exercise is designed to give you an understanding of: In this required practical activity it is important to: Measure the temperature of the water as it gets. It considers the heat capacities. Calculate the mass of water in the kettle. There are different ways to determine the specific heat capacity of water. This exercise is designed to give you an understanding of: Our water heating calculator can help you determine both the amount of heat required to raise the temperature of some h 2 o and the time it will take. • calculating specific heats • that electrical power can be transformed into heat that changes the temperature of. Place the sensor in the water and switch on the kettle. Calculate the specific heat capacity of the liquid. Energy = power × time. This quantity determines the amount of energy needed to change the temperature of a substance. Calculate the energy from the power and time. Specific heat is the amount of thermal energy you need to supply to a sample weighing 1 kg to increase its temperature by 1 k. The specific heat capacity is measured in units.
From fyohqoqgp.blob.core.windows.net
Calorimeter Formula In Physics at Caroline Graig blog Using A Kettle To Calculate The Specific Heat Of Water There are different ways to determine the specific heat capacity of water. • calculating specific heats • that electrical power can be transformed into heat that changes the temperature of. This quantity determines the amount of energy needed to change the temperature of a substance. It considers the heat capacities. This exercise is designed to give you an understanding of:. Using A Kettle To Calculate The Specific Heat Of Water.
From www.toppr.com
Specific Heat Formula Definition, Equations, Examples Using A Kettle To Calculate The Specific Heat Of Water The specific heat capacity is measured in units. Calculate the specific heat capacity of the liquid. This exercise is designed to give you an understanding of: It considers the heat capacities. • calculating specific heats • that electrical power can be transformed into heat that changes the temperature of. This quantity determines the amount of energy needed to change the. Using A Kettle To Calculate The Specific Heat Of Water.
From www.studocu.com
Investigation 1 Calculating the specific heat of water The Specific Using A Kettle To Calculate The Specific Heat Of Water Energy = power × time. This exercise is designed to give you an understanding of: Specific heat is the amount of thermal energy you need to supply to a sample weighing 1 kg to increase its temperature by 1 k. Measure the temperature of the water as it gets. It considers the heat capacities. Place the sensor in the water. Using A Kettle To Calculate The Specific Heat Of Water.
From www.studocu.com
Investigation 1 Using a Kettle to calculate the specific heat of water Using A Kettle To Calculate The Specific Heat Of Water This exercise is designed to give you an understanding of: • calculating specific heats • that electrical power can be transformed into heat that changes the temperature of. This quantity determines the amount of energy needed to change the temperature of a substance. The specific heat capacity is measured in units. Specific heat is the amount of thermal energy you. Using A Kettle To Calculate The Specific Heat Of Water.
From www.studocu.com
PHYS1110 Report 1 Report One Using a kettle to calculate the Using A Kettle To Calculate The Specific Heat Of Water This exercise is designed to give you an understanding of: Our water heating calculator can help you determine both the amount of heat required to raise the temperature of some h 2 o and the time it will take. Calculate the mass of water in the kettle. This quantity determines the amount of energy needed to change the temperature of. Using A Kettle To Calculate The Specific Heat Of Water.
From www.studocu.com
Seminar assignments investigation 1 (specific heat of water using a Using A Kettle To Calculate The Specific Heat Of Water • calculating specific heats • that electrical power can be transformed into heat that changes the temperature of. Place the sensor in the water and switch on the kettle. Energy = power × time. Measure the temperature of the water as it gets. In this required practical activity it is important to: Calculate the mass of water in the kettle.. Using A Kettle To Calculate The Specific Heat Of Water.
From www.studocu.com
Using A Kettle To Calculate The Specific Heat Of Water PHYS1110 Using A Kettle To Calculate The Specific Heat Of Water Measure the temperature of the water as it gets. Energy = power × time. This exercise is designed to give you an understanding of: It considers the heat capacities. There are different ways to determine the specific heat capacity of water. Calculate the specific heat capacity of the liquid. In this required practical activity it is important to: Place the. Using A Kettle To Calculate The Specific Heat Of Water.
From www.studocu.com
Investigation 1 Investigation 1 Using a kettle to calculate the Using A Kettle To Calculate The Specific Heat Of Water In this required practical activity it is important to: Place the sensor in the water and switch on the kettle. Calculate the specific heat capacity of the liquid. There are different ways to determine the specific heat capacity of water. Measure the temperature of the water as it gets. Our water heating calculator can help you determine both the amount. Using A Kettle To Calculate The Specific Heat Of Water.
From www.thinkswap.com
Investigation 1 Using a Kettle to Calculate the Specific Heat of Water Using A Kettle To Calculate The Specific Heat Of Water There are different ways to determine the specific heat capacity of water. The specific heat capacity is measured in units. Specific heat is the amount of thermal energy you need to supply to a sample weighing 1 kg to increase its temperature by 1 k. Measure the temperature of the water as it gets. Calculate the energy from the power. Using A Kettle To Calculate The Specific Heat Of Water.
From www.thinkswap.com
Investigation 1 Using a Kettle to Calculate the Specific Heat of Water Using A Kettle To Calculate The Specific Heat Of Water Calculate the specific heat capacity of the liquid. Calculate the energy from the power and time. Measure the temperature of the water as it gets. The specific heat capacity is measured in units. Calculate the mass of water in the kettle. This quantity determines the amount of energy needed to change the temperature of a substance. Energy = power ×. Using A Kettle To Calculate The Specific Heat Of Water.
From www.numerade.com
QUESTION 3 Calculate the mass of water boiled away in a 3 kW electric Using A Kettle To Calculate The Specific Heat Of Water In this required practical activity it is important to: There are different ways to determine the specific heat capacity of water. This exercise is designed to give you an understanding of: This quantity determines the amount of energy needed to change the temperature of a substance. The specific heat capacity is measured in units. Place the sensor in the water. Using A Kettle To Calculate The Specific Heat Of Water.
From www.numerade.com
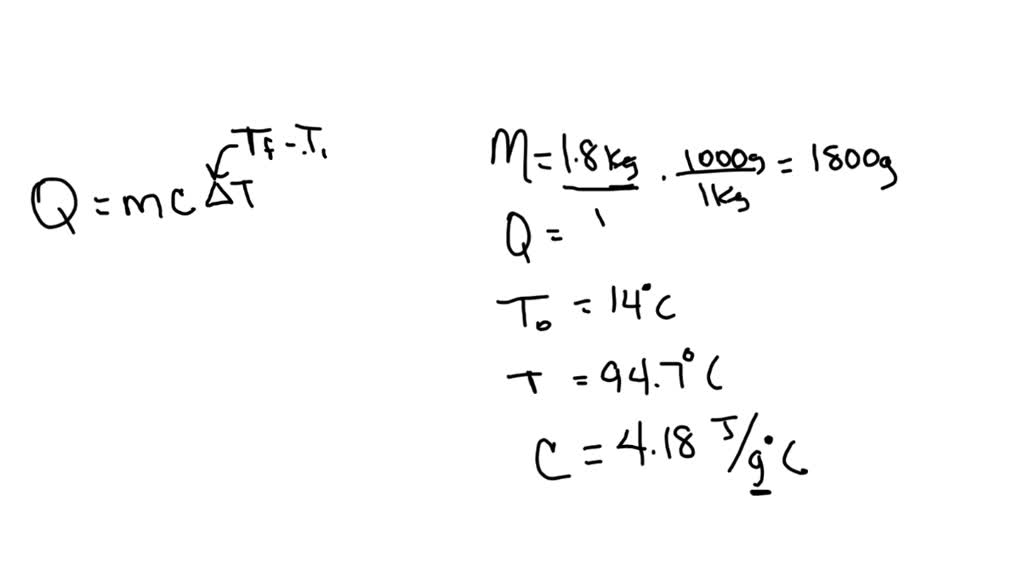
SOLVED There is a 1.80 kg of water in a kettle. Calculate the quantity Using A Kettle To Calculate The Specific Heat Of Water In this required practical activity it is important to: This exercise is designed to give you an understanding of: The specific heat capacity is measured in units. Calculate the specific heat capacity of the liquid. Calculate the mass of water in the kettle. Our water heating calculator can help you determine both the amount of heat required to raise the. Using A Kettle To Calculate The Specific Heat Of Water.
From www.thinkswap.com
Investigation 1 Using a Kettle to Calculate the Specific Heat of Water Using A Kettle To Calculate The Specific Heat Of Water Measure the temperature of the water as it gets. • calculating specific heats • that electrical power can be transformed into heat that changes the temperature of. This exercise is designed to give you an understanding of: There are different ways to determine the specific heat capacity of water. Calculate the specific heat capacity of the liquid. Energy = power. Using A Kettle To Calculate The Specific Heat Of Water.
From www.youtube.com
Specific Heat Calculations YouTube Using A Kettle To Calculate The Specific Heat Of Water Our water heating calculator can help you determine both the amount of heat required to raise the temperature of some h 2 o and the time it will take. Place the sensor in the water and switch on the kettle. It considers the heat capacities. • calculating specific heats • that electrical power can be transformed into heat that changes. Using A Kettle To Calculate The Specific Heat Of Water.
From www.thinkswap.com
PHYS1110 Using A Kettle To Calculate The Specific Heat Of Water Using A Kettle To Calculate The Specific Heat Of Water Calculate the mass of water in the kettle. Measure the temperature of the water as it gets. This quantity determines the amount of energy needed to change the temperature of a substance. Place the sensor in the water and switch on the kettle. • calculating specific heats • that electrical power can be transformed into heat that changes the temperature. Using A Kettle To Calculate The Specific Heat Of Water.
From www.studocu.com
Using a kettle to calculate the specific heat capacity of water Using A Kettle To Calculate The Specific Heat Of Water Place the sensor in the water and switch on the kettle. Specific heat is the amount of thermal energy you need to supply to a sample weighing 1 kg to increase its temperature by 1 k. Our water heating calculator can help you determine both the amount of heat required to raise the temperature of some h 2 o and. Using A Kettle To Calculate The Specific Heat Of Water.
From worksheetlibrarysteins.z19.web.core.windows.net
Formula To Calculate Specific Heat Using A Kettle To Calculate The Specific Heat Of Water Our water heating calculator can help you determine both the amount of heat required to raise the temperature of some h 2 o and the time it will take. Measure the temperature of the water as it gets. Place the sensor in the water and switch on the kettle. This exercise is designed to give you an understanding of: In. Using A Kettle To Calculate The Specific Heat Of Water.
From www.slideserve.com
PPT Thermochemistry PowerPoint Presentation, free download ID6811859 Using A Kettle To Calculate The Specific Heat Of Water In this required practical activity it is important to: This quantity determines the amount of energy needed to change the temperature of a substance. Energy = power × time. • calculating specific heats • that electrical power can be transformed into heat that changes the temperature of. Specific heat is the amount of thermal energy you need to supply to. Using A Kettle To Calculate The Specific Heat Of Water.
From www.studocu.com
Phys1110 Investigation 1 Investigation 1 Using a Kettle to Using A Kettle To Calculate The Specific Heat Of Water Specific heat is the amount of thermal energy you need to supply to a sample weighing 1 kg to increase its temperature by 1 k. Place the sensor in the water and switch on the kettle. It considers the heat capacities. Energy = power × time. This quantity determines the amount of energy needed to change the temperature of a. Using A Kettle To Calculate The Specific Heat Of Water.
From www.thinkswap.com
Investigation 1 Using a Kettle to Calculate the Specific Heat of Using A Kettle To Calculate The Specific Heat Of Water Measure the temperature of the water as it gets. There are different ways to determine the specific heat capacity of water. Specific heat is the amount of thermal energy you need to supply to a sample weighing 1 kg to increase its temperature by 1 k. Calculate the energy from the power and time. It considers the heat capacities. In. Using A Kettle To Calculate The Specific Heat Of Water.
From www.thinkswap.com
Investigation 1 Using a kettle to calculate the specific heat of water Using A Kettle To Calculate The Specific Heat Of Water Our water heating calculator can help you determine both the amount of heat required to raise the temperature of some h 2 o and the time it will take. There are different ways to determine the specific heat capacity of water. Measure the temperature of the water as it gets. It considers the heat capacities. Place the sensor in the. Using A Kettle To Calculate The Specific Heat Of Water.
From www.youtube.com
A electric kettle ( rated accurately at `2.5 kW`) is used to heat `3 kg Using A Kettle To Calculate The Specific Heat Of Water • calculating specific heats • that electrical power can be transformed into heat that changes the temperature of. There are different ways to determine the specific heat capacity of water. Calculate the mass of water in the kettle. Specific heat is the amount of thermal energy you need to supply to a sample weighing 1 kg to increase its temperature. Using A Kettle To Calculate The Specific Heat Of Water.
From www.studocu.com
investigation 1 Kettle investigation [Using a kettle to calculate Using A Kettle To Calculate The Specific Heat Of Water Specific heat is the amount of thermal energy you need to supply to a sample weighing 1 kg to increase its temperature by 1 k. Our water heating calculator can help you determine both the amount of heat required to raise the temperature of some h 2 o and the time it will take. In this required practical activity it. Using A Kettle To Calculate The Specific Heat Of Water.
From www.slideserve.com
PPT Specific Heat PowerPoint Presentation, free download ID3721637 Using A Kettle To Calculate The Specific Heat Of Water This exercise is designed to give you an understanding of: Calculate the specific heat capacity of the liquid. • calculating specific heats • that electrical power can be transformed into heat that changes the temperature of. This quantity determines the amount of energy needed to change the temperature of a substance. In this required practical activity it is important to:. Using A Kettle To Calculate The Specific Heat Of Water.
From www.studocu.com
investigation 1 full mark Investigation 1 Using a kettle to Using A Kettle To Calculate The Specific Heat Of Water • calculating specific heats • that electrical power can be transformed into heat that changes the temperature of. Measure the temperature of the water as it gets. Calculate the energy from the power and time. In this required practical activity it is important to: The specific heat capacity is measured in units. It considers the heat capacities. Calculate the specific. Using A Kettle To Calculate The Specific Heat Of Water.
From www.studocu.com
Everyday Physics, PHYS1110, Investigation 1 Using a Kettle to Using A Kettle To Calculate The Specific Heat Of Water This quantity determines the amount of energy needed to change the temperature of a substance. Place the sensor in the water and switch on the kettle. Our water heating calculator can help you determine both the amount of heat required to raise the temperature of some h 2 o and the time it will take. Calculate the mass of water. Using A Kettle To Calculate The Specific Heat Of Water.
From www.thinkswap.com
Using a kettle to calculate the specific heat of water Assignment Using A Kettle To Calculate The Specific Heat Of Water Place the sensor in the water and switch on the kettle. This quantity determines the amount of energy needed to change the temperature of a substance. This exercise is designed to give you an understanding of: Energy = power × time. • calculating specific heats • that electrical power can be transformed into heat that changes the temperature of. Measure. Using A Kettle To Calculate The Specific Heat Of Water.
From www.chegg.com
Solved Specific Heat Capacity of Water Lab Aim To determine Using A Kettle To Calculate The Specific Heat Of Water Calculate the mass of water in the kettle. • calculating specific heats • that electrical power can be transformed into heat that changes the temperature of. Energy = power × time. This quantity determines the amount of energy needed to change the temperature of a substance. The specific heat capacity is measured in units. It considers the heat capacities. There. Using A Kettle To Calculate The Specific Heat Of Water.
From www.thinkswap.com
Investigation 1 Using a Kettle to Calculate the Specific Heat of Water Using A Kettle To Calculate The Specific Heat Of Water • calculating specific heats • that electrical power can be transformed into heat that changes the temperature of. This quantity determines the amount of energy needed to change the temperature of a substance. There are different ways to determine the specific heat capacity of water. This exercise is designed to give you an understanding of: Measure the temperature of the. Using A Kettle To Calculate The Specific Heat Of Water.
From classschoolpfeiffer.z21.web.core.windows.net
Calculating Specific Heat Extra Practice Worksheet Using A Kettle To Calculate The Specific Heat Of Water Measure the temperature of the water as it gets. This quantity determines the amount of energy needed to change the temperature of a substance. It considers the heat capacities. There are different ways to determine the specific heat capacity of water. Calculate the specific heat capacity of the liquid. In this required practical activity it is important to: Our water. Using A Kettle To Calculate The Specific Heat Of Water.
From www.electricrate.com
Calculate Your Electric Kettle Wattage [Power Consumption] Using A Kettle To Calculate The Specific Heat Of Water Specific heat is the amount of thermal energy you need to supply to a sample weighing 1 kg to increase its temperature by 1 k. There are different ways to determine the specific heat capacity of water. This quantity determines the amount of energy needed to change the temperature of a substance. Measure the temperature of the water as it. Using A Kettle To Calculate The Specific Heat Of Water.
From www.studocu.com
PHYS1110 Investigation 1 PHYS Investigation 1 Using a kettle to Using A Kettle To Calculate The Specific Heat Of Water In this required practical activity it is important to: The specific heat capacity is measured in units. There are different ways to determine the specific heat capacity of water. Calculate the specific heat capacity of the liquid. Place the sensor in the water and switch on the kettle. Energy = power × time. Specific heat is the amount of thermal. Using A Kettle To Calculate The Specific Heat Of Water.
From www.studocu.com
Heat Capacity using Kettle Experimental physics Using a kettle to Using A Kettle To Calculate The Specific Heat Of Water In this required practical activity it is important to: • calculating specific heats • that electrical power can be transformed into heat that changes the temperature of. Specific heat is the amount of thermal energy you need to supply to a sample weighing 1 kg to increase its temperature by 1 k. Our water heating calculator can help you determine. Using A Kettle To Calculate The Specific Heat Of Water.
From www.thinkswap.com
Investigation 1 Using a Kettle to Calculate the Specific Heat of Water Using A Kettle To Calculate The Specific Heat Of Water Energy = power × time. Place the sensor in the water and switch on the kettle. Calculate the energy from the power and time. This quantity determines the amount of energy needed to change the temperature of a substance. The specific heat capacity is measured in units. Our water heating calculator can help you determine both the amount of heat. Using A Kettle To Calculate The Specific Heat Of Water.
From www.chegg.com
The kettle shown below is used to boil water on a Using A Kettle To Calculate The Specific Heat Of Water Energy = power × time. This quantity determines the amount of energy needed to change the temperature of a substance. Calculate the specific heat capacity of the liquid. Calculate the mass of water in the kettle. Place the sensor in the water and switch on the kettle. This exercise is designed to give you an understanding of: Our water heating. Using A Kettle To Calculate The Specific Heat Of Water.