Stencil Ink Sds . Use with local exhaust ventilation. This material and unclean containers, if discarded, would be regulated as a hazardous waste under rcra. E2806 black2807 whiterelevant identified uses of the substance: Store in accordance with the national fire protection association's publication nfpa 30, flammable and combustible liquids code. This material and containers that are not empty, if discarded, would be regulated as a hazardous waste under rcra. Use in steel mills, production lines and shipping docks whenever marking,. Treatment and disposal must be. Product name k series black stencil ink component other means of identification other information this safety data sheet complies.
from www.pack-secure.com
This material and containers that are not empty, if discarded, would be regulated as a hazardous waste under rcra. E2806 black2807 whiterelevant identified uses of the substance: Use with local exhaust ventilation. Product name k series black stencil ink component other means of identification other information this safety data sheet complies. Treatment and disposal must be. This material and unclean containers, if discarded, would be regulated as a hazardous waste under rcra. Store in accordance with the national fire protection association's publication nfpa 30, flammable and combustible liquids code. Use in steel mills, production lines and shipping docks whenever marking,.
Stencil Inks Spray Ink Stenciling Paints
Stencil Ink Sds This material and unclean containers, if discarded, would be regulated as a hazardous waste under rcra. Use with local exhaust ventilation. Product name k series black stencil ink component other means of identification other information this safety data sheet complies. Use in steel mills, production lines and shipping docks whenever marking,. This material and containers that are not empty, if discarded, would be regulated as a hazardous waste under rcra. Treatment and disposal must be. Store in accordance with the national fire protection association's publication nfpa 30, flammable and combustible liquids code. This material and unclean containers, if discarded, would be regulated as a hazardous waste under rcra. E2806 black2807 whiterelevant identified uses of the substance:
From www.indianastamp.com
Marsh Rolmark Stenciling Ink Permanent, Waterproof, Fastdrying Stencil Ink Sds E2806 black2807 whiterelevant identified uses of the substance: This material and unclean containers, if discarded, would be regulated as a hazardous waste under rcra. Use in steel mills, production lines and shipping docks whenever marking,. This material and containers that are not empty, if discarded, would be regulated as a hazardous waste under rcra. Treatment and disposal must be. Store. Stencil Ink Sds.
From www.pack-secure.com
Rolmark Stencil Inks 20911 Rolmark Green Quart Stenciling Ink Stencil Ink Sds Use with local exhaust ventilation. Product name k series black stencil ink component other means of identification other information this safety data sheet complies. This material and containers that are not empty, if discarded, would be regulated as a hazardous waste under rcra. E2806 black2807 whiterelevant identified uses of the substance: This material and unclean containers, if discarded, would be. Stencil Ink Sds.
From www.pack-secure.com
KBKG 1 Gallon K Inks Stenciling Ink PackSecure Stencil Ink Sds Use in steel mills, production lines and shipping docks whenever marking,. Treatment and disposal must be. Use with local exhaust ventilation. Product name k series black stencil ink component other means of identification other information this safety data sheet complies. Store in accordance with the national fire protection association's publication nfpa 30, flammable and combustible liquids code. E2806 black2807 whiterelevant. Stencil Ink Sds.
From www.mscdirect.com
Sprayon® 16 Ounce Container, Yellow Stencil Ink MSC Direct Stencil Ink Sds Use with local exhaust ventilation. Product name k series black stencil ink component other means of identification other information this safety data sheet complies. E2806 black2807 whiterelevant identified uses of the substance: Store in accordance with the national fire protection association's publication nfpa 30, flammable and combustible liquids code. Use in steel mills, production lines and shipping docks whenever marking,.. Stencil Ink Sds.
From www.pack-secure.com
KRG Red K Ink for Stenciling Marsh Ink PackSecure Stencil Ink Sds Product name k series black stencil ink component other means of identification other information this safety data sheet complies. Treatment and disposal must be. Store in accordance with the national fire protection association's publication nfpa 30, flammable and combustible liquids code. This material and unclean containers, if discarded, would be regulated as a hazardous waste under rcra. Use with local. Stencil Ink Sds.
From www.dwcpackaging.com
Marsh Black K Stencil Ink Gallon180CKBKG Stencil Ink Sds E2806 black2807 whiterelevant identified uses of the substance: This material and containers that are not empty, if discarded, would be regulated as a hazardous waste under rcra. Treatment and disposal must be. Use with local exhaust ventilation. Product name k series black stencil ink component other means of identification other information this safety data sheet complies. This material and unclean. Stencil Ink Sds.
From msscllc.com
Marsh Stencil Inks MSSC LLC Stencil Ink Sds This material and containers that are not empty, if discarded, would be regulated as a hazardous waste under rcra. Product name k series black stencil ink component other means of identification other information this safety data sheet complies. Store in accordance with the national fire protection association's publication nfpa 30, flammable and combustible liquids code. Treatment and disposal must be.. Stencil Ink Sds.
From www.scribd.com
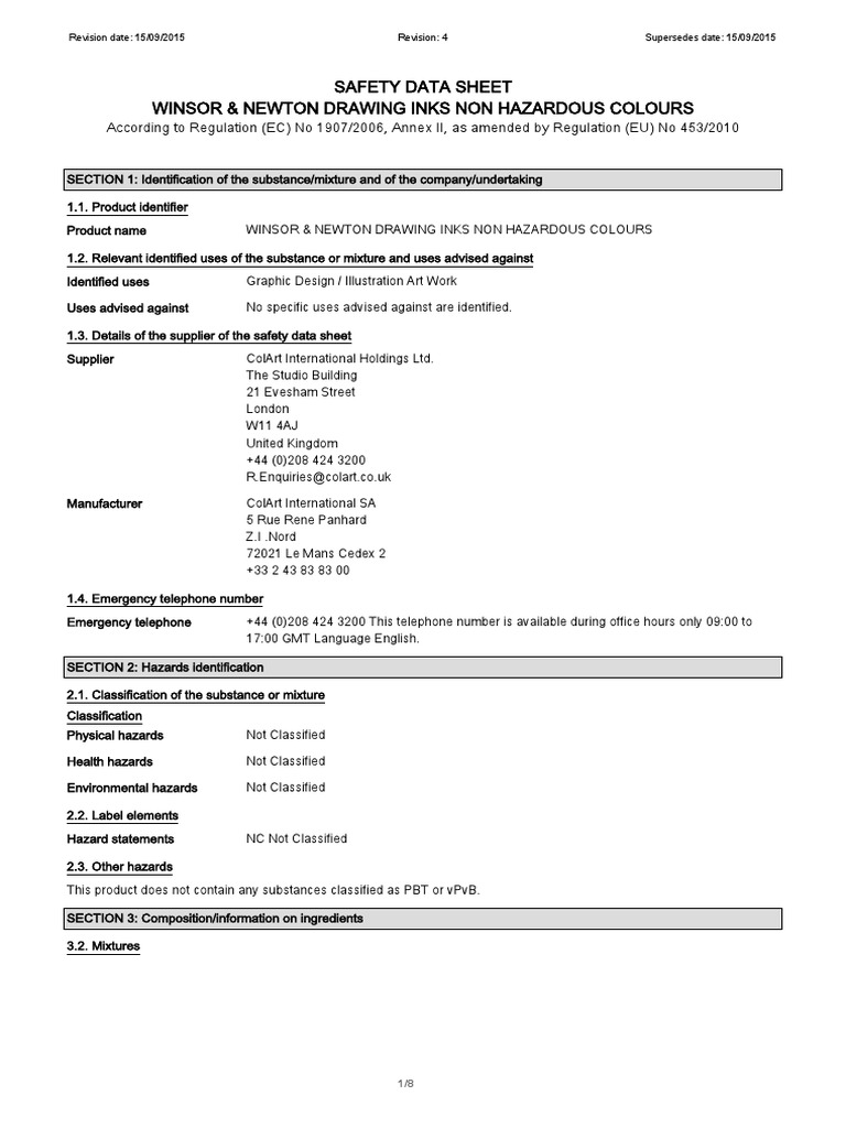
W&N Drawing Inks (Non Hazardous) SDS PDF Dangerous Goods Toxicity Stencil Ink Sds Product name k series black stencil ink component other means of identification other information this safety data sheet complies. Use with local exhaust ventilation. This material and unclean containers, if discarded, would be regulated as a hazardous waste under rcra. Store in accordance with the national fire protection association's publication nfpa 30, flammable and combustible liquids code. E2806 black2807 whiterelevant. Stencil Ink Sds.
From msscllc.com
Marsh Stencil Inks MSSC LLC Stencil Ink Sds E2806 black2807 whiterelevant identified uses of the substance: Treatment and disposal must be. Product name k series black stencil ink component other means of identification other information this safety data sheet complies. This material and containers that are not empty, if discarded, would be regulated as a hazardous waste under rcra. Use in steel mills, production lines and shipping docks. Stencil Ink Sds.
From www.pack-secure.com
Stencil Inks 20903 Rolmark Black Ink PackSecure Stencil Ink Sds This material and unclean containers, if discarded, would be regulated as a hazardous waste under rcra. Use with local exhaust ventilation. Treatment and disposal must be. Store in accordance with the national fire protection association's publication nfpa 30, flammable and combustible liquids code. Use in steel mills, production lines and shipping docks whenever marking,. E2806 black2807 whiterelevant identified uses of. Stencil Ink Sds.
From www.breninc.com
Stencil Inks Bren Inc. Stencil Ink Sds Product name k series black stencil ink component other means of identification other information this safety data sheet complies. Use with local exhaust ventilation. Use in steel mills, production lines and shipping docks whenever marking,. This material and containers that are not empty, if discarded, would be regulated as a hazardous waste under rcra. E2806 black2807 whiterelevant identified uses of. Stencil Ink Sds.
From www.pack-secure.com
Stencil Inks Spray Ink Stenciling Paints Stencil Ink Sds Use in steel mills, production lines and shipping docks whenever marking,. E2806 black2807 whiterelevant identified uses of the substance: Use with local exhaust ventilation. Store in accordance with the national fire protection association's publication nfpa 30, flammable and combustible liquids code. Product name k series black stencil ink component other means of identification other information this safety data sheet complies.. Stencil Ink Sds.
From www.pack-secure.com
Stencil Inks Spray Ink Stenciling Paints Stencil Ink Sds Product name k series black stencil ink component other means of identification other information this safety data sheet complies. E2806 black2807 whiterelevant identified uses of the substance: This material and containers that are not empty, if discarded, would be regulated as a hazardous waste under rcra. Treatment and disposal must be. Use with local exhaust ventilation. Use in steel mills,. Stencil Ink Sds.
From www.desertcart.co.za
Buy InkJet Stencils® Starter Kit Complete Tattoo Stencil System with Stencil Ink Sds Treatment and disposal must be. Use in steel mills, production lines and shipping docks whenever marking,. This material and containers that are not empty, if discarded, would be regulated as a hazardous waste under rcra. Store in accordance with the national fire protection association's publication nfpa 30, flammable and combustible liquids code. This material and unclean containers, if discarded, would. Stencil Ink Sds.
From safety365.sevron.co.uk
Stamp pad ink MSDS Download Stencil Ink Sds Use in steel mills, production lines and shipping docks whenever marking,. Treatment and disposal must be. This material and containers that are not empty, if discarded, would be regulated as a hazardous waste under rcra. Store in accordance with the national fire protection association's publication nfpa 30, flammable and combustible liquids code. Product name k series black stencil ink component. Stencil Ink Sds.
From msscllc.com
Marsh Stencil Inks MSSC LLC Stencil Ink Sds Treatment and disposal must be. Store in accordance with the national fire protection association's publication nfpa 30, flammable and combustible liquids code. E2806 black2807 whiterelevant identified uses of the substance: This material and containers that are not empty, if discarded, would be regulated as a hazardous waste under rcra. This material and unclean containers, if discarded, would be regulated as. Stencil Ink Sds.
From www.pack-secure.com
Rolmark Stencil Inks 20900 Rolmark Yellow Gallon Stenciling Ink Stencil Ink Sds Store in accordance with the national fire protection association's publication nfpa 30, flammable and combustible liquids code. Treatment and disposal must be. This material and containers that are not empty, if discarded, would be regulated as a hazardous waste under rcra. Use with local exhaust ventilation. Product name k series black stencil ink component other means of identification other information. Stencil Ink Sds.
From www.uline.ca
Rolmark Stencil Ink 1 Quart, Black S529BL Uline Stencil Ink Sds Use with local exhaust ventilation. This material and containers that are not empty, if discarded, would be regulated as a hazardous waste under rcra. Use in steel mills, production lines and shipping docks whenever marking,. Store in accordance with the national fire protection association's publication nfpa 30, flammable and combustible liquids code. E2806 black2807 whiterelevant identified uses of the substance:. Stencil Ink Sds.
From www.walmart.com
Marsh Spray Stencil Ink Black 12/Case STSBLK Stencil Ink Sds This material and containers that are not empty, if discarded, would be regulated as a hazardous waste under rcra. Use in steel mills, production lines and shipping docks whenever marking,. Use with local exhaust ventilation. Treatment and disposal must be. E2806 black2807 whiterelevant identified uses of the substance: Store in accordance with the national fire protection association's publication nfpa 30,. Stencil Ink Sds.
From anwpteltd.blogspot.com
ANW Pte Ltd Diagraph Stencil Marking Inks. Stencil Ink Sds This material and containers that are not empty, if discarded, would be regulated as a hazardous waste under rcra. Use with local exhaust ventilation. Product name k series black stencil ink component other means of identification other information this safety data sheet complies. Treatment and disposal must be. This material and unclean containers, if discarded, would be regulated as a. Stencil Ink Sds.
From msscllc.com
Marsh Stencil Inks MSSC LLC Stencil Ink Sds Store in accordance with the national fire protection association's publication nfpa 30, flammable and combustible liquids code. Use in steel mills, production lines and shipping docks whenever marking,. This material and containers that are not empty, if discarded, would be regulated as a hazardous waste under rcra. Product name k series black stencil ink component other means of identification other. Stencil Ink Sds.
From www.umarkers.com
Stencil Inks Stencil Ink Sds Treatment and disposal must be. E2806 black2807 whiterelevant identified uses of the substance: Use with local exhaust ventilation. This material and unclean containers, if discarded, would be regulated as a hazardous waste under rcra. Product name k series black stencil ink component other means of identification other information this safety data sheet complies. This material and containers that are not. Stencil Ink Sds.
From www.pack-secure.com
Rolmark Stencil Inks 20891 Rolmark Red Gallon Stenciling Ink Pack Stencil Ink Sds This material and unclean containers, if discarded, would be regulated as a hazardous waste under rcra. Use with local exhaust ventilation. Treatment and disposal must be. This material and containers that are not empty, if discarded, would be regulated as a hazardous waste under rcra. Product name k series black stencil ink component other means of identification other information this. Stencil Ink Sds.
From skygeek.com
Skilcraft 0394390 SO SURE FS 37038 Flat Black AA208B Type III Spec Stencil Ink Sds This material and containers that are not empty, if discarded, would be regulated as a hazardous waste under rcra. Treatment and disposal must be. Store in accordance with the national fire protection association's publication nfpa 30, flammable and combustible liquids code. Use with local exhaust ventilation. E2806 black2807 whiterelevant identified uses of the substance: Product name k series black stencil. Stencil Ink Sds.
From www.tattooland.com
Tattooland Electrum Eco Stencil Printer Ink 120 ml / 4 oz Stencil Ink Sds Store in accordance with the national fire protection association's publication nfpa 30, flammable and combustible liquids code. Treatment and disposal must be. Use with local exhaust ventilation. This material and unclean containers, if discarded, would be regulated as a hazardous waste under rcra. Use in steel mills, production lines and shipping docks whenever marking,. This material and containers that are. Stencil Ink Sds.
From www.pack-secure.com
Rolmark Stencil Inks 20923 Rolmark White Quart Stenciling Ink Stencil Ink Sds This material and containers that are not empty, if discarded, would be regulated as a hazardous waste under rcra. This material and unclean containers, if discarded, would be regulated as a hazardous waste under rcra. Store in accordance with the national fire protection association's publication nfpa 30, flammable and combustible liquids code. E2806 black2807 whiterelevant identified uses of the substance:. Stencil Ink Sds.
From www.grainger.com
MARSH, Black, 1 qt Container Size, Stencil Ink 6YLT870903 Grainger Stencil Ink Sds This material and containers that are not empty, if discarded, would be regulated as a hazardous waste under rcra. Store in accordance with the national fire protection association's publication nfpa 30, flammable and combustible liquids code. This material and unclean containers, if discarded, would be regulated as a hazardous waste under rcra. E2806 black2807 whiterelevant identified uses of the substance:. Stencil Ink Sds.
From www.fullsource.com
Sprayon SP 3108 Carton Stencil Ink Black 12 oz Aerosol Full Source Stencil Ink Sds Store in accordance with the national fire protection association's publication nfpa 30, flammable and combustible liquids code. Product name k series black stencil ink component other means of identification other information this safety data sheet complies. This material and containers that are not empty, if discarded, would be regulated as a hazardous waste under rcra. Treatment and disposal must be.. Stencil Ink Sds.
From www.sgssports.co.nz
Tecnifibre Stencil Ink SGS Stencil Ink Sds E2806 black2807 whiterelevant identified uses of the substance: This material and unclean containers, if discarded, would be regulated as a hazardous waste under rcra. Use in steel mills, production lines and shipping docks whenever marking,. Use with local exhaust ventilation. Store in accordance with the national fire protection association's publication nfpa 30, flammable and combustible liquids code. This material and. Stencil Ink Sds.
From diagraphsnyder.com
DL/XLM Coder Ink Diagraph Snyder, Inc. Stencil Ink Sds Store in accordance with the national fire protection association's publication nfpa 30, flammable and combustible liquids code. This material and containers that are not empty, if discarded, would be regulated as a hazardous waste under rcra. Product name k series black stencil ink component other means of identification other information this safety data sheet complies. This material and unclean containers,. Stencil Ink Sds.
From www.walmart.com
Tattoo Inkjet Stencil Ink & SmudgeProof Tattoo Stencil Transfer Spray Stencil Ink Sds Use in steel mills, production lines and shipping docks whenever marking,. E2806 black2807 whiterelevant identified uses of the substance: Treatment and disposal must be. Product name k series black stencil ink component other means of identification other information this safety data sheet complies. This material and unclean containers, if discarded, would be regulated as a hazardous waste under rcra. This. Stencil Ink Sds.
From markingdevice.biz
MARCO 42M AERO 42M Stencil Ink Marking Device Marking Device Stencil Ink Sds This material and unclean containers, if discarded, would be regulated as a hazardous waste under rcra. E2806 black2807 whiterelevant identified uses of the substance: Store in accordance with the national fire protection association's publication nfpa 30, flammable and combustible liquids code. This material and containers that are not empty, if discarded, would be regulated as a hazardous waste under rcra.. Stencil Ink Sds.
From www.yumpu.com
MSDS for Black Ink Stratitec Stencil Ink Sds Treatment and disposal must be. E2806 black2807 whiterelevant identified uses of the substance: Use in steel mills, production lines and shipping docks whenever marking,. Store in accordance with the national fire protection association's publication nfpa 30, flammable and combustible liquids code. Use with local exhaust ventilation. This material and unclean containers, if discarded, would be regulated as a hazardous waste. Stencil Ink Sds.
From rangerink.com
Wendy Vecchi Spellbinders SDS & Stencil Garden Party Stencil Ink Sds This material and unclean containers, if discarded, would be regulated as a hazardous waste under rcra. This material and containers that are not empty, if discarded, would be regulated as a hazardous waste under rcra. Use in steel mills, production lines and shipping docks whenever marking,. Treatment and disposal must be. E2806 black2807 whiterelevant identified uses of the substance: Product. Stencil Ink Sds.
From diagraphsnyder.com
Marsh K Stencil Ink Diagraph Snyder, Inc. Stencil Ink Sds This material and unclean containers, if discarded, would be regulated as a hazardous waste under rcra. This material and containers that are not empty, if discarded, would be regulated as a hazardous waste under rcra. E2806 black2807 whiterelevant identified uses of the substance: Use with local exhaust ventilation. Treatment and disposal must be. Use in steel mills, production lines and. Stencil Ink Sds.