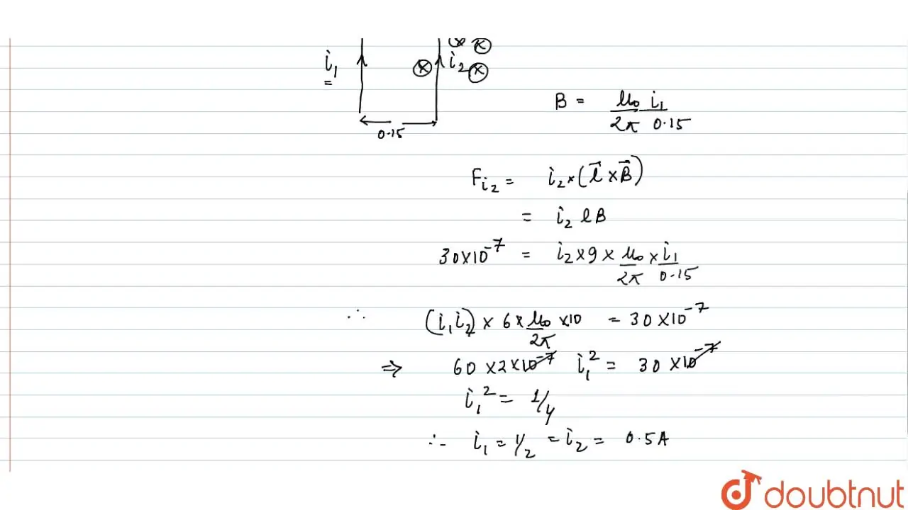
Two Parallel Wires Of Length 9M Each . If they carry currents in the same direction and exert a total force of 30 × 10 − 7 n on each other, then the value of. If they carry equal currents in the same direction and exerts a. If the wires are separated by a distance of ` 0.5m` ,. If they carry equal current in the same direction and exerts a. Two long parallel copper wires carry currents of `5 a` each in opposite directions. Two long parallel copper wires carry currents of `5 a` each in opposite directions. Two parallel wires of length `9 m` each are separated by a distance `0.15 m`.if they carry equal currents in the same direction and. Two parallel wires of length \( 9 m \) each are separated by a distance \( 0.15 \mathrm{~m} \). Two parallel wires of length 9 m each are separated by a distance 0.15 m. Two long straight parallel wires separated by a distance, carrying equal currents exert a force f per unit length on each other. If the wires are separated by a distance of `. To parallel wires of length 9 m each are separated by a distance 0.15 m. Two parallel wires of length 9 m each are separated by a distance 0.15 m. If they carry equal currents in the same direction.
from www.toppr.com
If they carry equal currents in the same direction. To parallel wires of length 9 m each are separated by a distance 0.15 m. If the wires are separated by a distance of ` 0.5m` ,. If they carry currents in the same direction and exert a total force of 30 × 10 − 7 n on each other, then the value of. If they carry equal current in the same direction and exerts a. Two long parallel copper wires carry currents of `5 a` each in opposite directions. Two long parallel copper wires carry currents of `5 a` each in opposite directions. Two long straight parallel wires separated by a distance, carrying equal currents exert a force f per unit length on each other. Two parallel wires of length `9 m` each are separated by a distance `0.15 m`.if they carry equal currents in the same direction and. Two parallel wires of length \( 9 m \) each are separated by a distance \( 0.15 \mathrm{~m} \).
Ilustration. 47 Awater film is formed in between two parallel wires
Two Parallel Wires Of Length 9M Each Two long straight parallel wires separated by a distance, carrying equal currents exert a force f per unit length on each other. Two long parallel copper wires carry currents of `5 a` each in opposite directions. Two parallel wires of length `9 m` each are separated by a distance `0.15 m`.if they carry equal currents in the same direction and. Two long parallel copper wires carry currents of `5 a` each in opposite directions. If they carry equal currents in the same direction. To parallel wires of length 9 m each are separated by a distance 0.15 m. Two parallel wires of length 9 m each are separated by a distance 0.15 m. Two parallel wires of length 9 m each are separated by a distance 0.15 m. If the wires are separated by a distance of ` 0.5m` ,. If they carry equal current in the same direction and exerts a. Two parallel wires of length \( 9 m \) each are separated by a distance \( 0.15 \mathrm{~m} \). If the wires are separated by a distance of `. Two long straight parallel wires separated by a distance, carrying equal currents exert a force f per unit length on each other. If they carry currents in the same direction and exert a total force of 30 × 10 − 7 n on each other, then the value of. If they carry equal currents in the same direction and exerts a.
From www.chegg.com
Two parallel wires of length 2.00 mare hung by cords Two Parallel Wires Of Length 9M Each Two long straight parallel wires separated by a distance, carrying equal currents exert a force f per unit length on each other. If they carry currents in the same direction and exert a total force of 30 × 10 − 7 n on each other, then the value of. If they carry equal current in the same direction and exerts. Two Parallel Wires Of Length 9M Each.
From www.toppr.com
Two conducting wires of the same material and of equal lengths and Two Parallel Wires Of Length 9M Each If they carry equal current in the same direction and exerts a. Two long straight parallel wires separated by a distance, carrying equal currents exert a force f per unit length on each other. Two parallel wires of length 9 m each are separated by a distance 0.15 m. If the wires are separated by a distance of `. Two. Two Parallel Wires Of Length 9M Each.
From www.doubtnut.com
Figure shows two long parallel straight wires distance 5cm apart carry Two Parallel Wires Of Length 9M Each Two long straight parallel wires separated by a distance, carrying equal currents exert a force f per unit length on each other. To parallel wires of length 9 m each are separated by a distance 0.15 m. If they carry equal currents in the same direction. Two long parallel copper wires carry currents of `5 a` each in opposite directions.. Two Parallel Wires Of Length 9M Each.
From www.chegg.com
Solved Parallel Wires 1. Two parallel wires of length L Two Parallel Wires Of Length 9M Each Two parallel wires of length `9 m` each are separated by a distance `0.15 m`.if they carry equal currents in the same direction and. If they carry equal currents in the same direction. If they carry equal currents in the same direction and exerts a. If they carry currents in the same direction and exert a total force of 30. Two Parallel Wires Of Length 9M Each.
From www.chegg.com
Solved Problem 1 Two parallel straight wires of length 100cm Two Parallel Wires Of Length 9M Each If the wires are separated by a distance of `. Two long straight parallel wires separated by a distance, carrying equal currents exert a force f per unit length on each other. Two parallel wires of length \( 9 m \) each are separated by a distance \( 0.15 \mathrm{~m} \). Two long parallel copper wires carry currents of `5. Two Parallel Wires Of Length 9M Each.
From kunduz.com
[ANSWERED] Figure shows two long parallel wires separated by a distance Two Parallel Wires Of Length 9M Each If they carry equal current in the same direction and exerts a. If they carry equal currents in the same direction and exerts a. Two parallel wires of length 9 m each are separated by a distance 0.15 m. To parallel wires of length 9 m each are separated by a distance 0.15 m. If the wires are separated by. Two Parallel Wires Of Length 9M Each.
From pressbooks.online.ucf.edu
22.10 Force between Two Parallel Conductors College Physics Two Parallel Wires Of Length 9M Each If the wires are separated by a distance of ` 0.5m` ,. To parallel wires of length 9 m each are separated by a distance 0.15 m. Two parallel wires of length 9 m each are separated by a distance 0.15 m. Two long parallel copper wires carry currents of `5 a` each in opposite directions. Two long parallel copper. Two Parallel Wires Of Length 9M Each.
From www.numerade.com
SOLVED You are given two infinite, parallel wires each carrying Two Parallel Wires Of Length 9M Each To parallel wires of length 9 m each are separated by a distance 0.15 m. If the wires are separated by a distance of ` 0.5m` ,. If they carry equal currents in the same direction and exerts a. Two parallel wires of length 9 m each are separated by a distance 0.15 m. If they carry currents in the. Two Parallel Wires Of Length 9M Each.
From www.numerade.com
SOLVED QUESTION 7 Two parallel wires that are separated by a Two Parallel Wires Of Length 9M Each Two parallel wires of length \( 9 m \) each are separated by a distance \( 0.15 \mathrm{~m} \). Two long parallel copper wires carry currents of `5 a` each in opposite directions. Two long parallel copper wires carry currents of `5 a` each in opposite directions. If they carry equal current in the same direction and exerts a. Two. Two Parallel Wires Of Length 9M Each.
From www.numerade.com
SOLVED two long, straight wires are seperated by 0.8 m. the wires Two Parallel Wires Of Length 9M Each Two parallel wires of length \( 9 m \) each are separated by a distance \( 0.15 \mathrm{~m} \). If the wires are separated by a distance of ` 0.5m` ,. Two long parallel copper wires carry currents of `5 a` each in opposite directions. If they carry equal currents in the same direction. Two long straight parallel wires separated. Two Parallel Wires Of Length 9M Each.
From askfilo.com
A wire X of length 50 cm carrying a current of 2 A is placed parallel to Two Parallel Wires Of Length 9M Each Two long parallel copper wires carry currents of `5 a` each in opposite directions. Two parallel wires of length \( 9 m \) each are separated by a distance \( 0.15 \mathrm{~m} \). Two long parallel copper wires carry currents of `5 a` each in opposite directions. If they carry currents in the same direction and exert a total force. Two Parallel Wires Of Length 9M Each.
From www.youtube.com
Two infinitely long parallel wires having linear charge densities Two Parallel Wires Of Length 9M Each Two long straight parallel wires separated by a distance, carrying equal currents exert a force f per unit length on each other. Two parallel wires of length `9 m` each are separated by a distance `0.15 m`.if they carry equal currents in the same direction and. Two long parallel copper wires carry currents of `5 a` each in opposite directions.. Two Parallel Wires Of Length 9M Each.
From brainly.in
Question 4.7 Two long and parallel straight wires A and B carrying Two Parallel Wires Of Length 9M Each Two parallel wires of length 9 m each are separated by a distance 0.15 m. Two long parallel copper wires carry currents of `5 a` each in opposite directions. To parallel wires of length 9 m each are separated by a distance 0.15 m. Two parallel wires of length \( 9 m \) each are separated by a distance \(. Two Parallel Wires Of Length 9M Each.
From www.youtube.com
Force between two parallel currentcarrying wires YouTube Two Parallel Wires Of Length 9M Each To parallel wires of length 9 m each are separated by a distance 0.15 m. If the wires are separated by a distance of `. Two long parallel copper wires carry currents of `5 a` each in opposite directions. Two parallel wires of length `9 m` each are separated by a distance `0.15 m`.if they carry equal currents in the. Two Parallel Wires Of Length 9M Each.
From studylib.net
19.8 force between two parallel conductors Two Parallel Wires Of Length 9M Each If they carry equal currents in the same direction. If they carry equal current in the same direction and exerts a. Two long straight parallel wires separated by a distance, carrying equal currents exert a force f per unit length on each other. Two long parallel copper wires carry currents of `5 a` each in opposite directions. If the wires. Two Parallel Wires Of Length 9M Each.
From www.slideserve.com
PPT 20.6 Force between Two Parallel Wires PowerPoint Presentation Two Parallel Wires Of Length 9M Each If they carry currents in the same direction and exert a total force of 30 × 10 − 7 n on each other, then the value of. Two long parallel copper wires carry currents of `5 a` each in opposite directions. If they carry equal currents in the same direction and exerts a. Two long parallel copper wires carry currents. Two Parallel Wires Of Length 9M Each.
From www.doubtnut.com
Two parallel wires of length 9 m each are separated by a distance 0.15 Two Parallel Wires Of Length 9M Each If the wires are separated by a distance of ` 0.5m` ,. To parallel wires of length 9 m each are separated by a distance 0.15 m. Two parallel wires of length \( 9 m \) each are separated by a distance \( 0.15 \mathrm{~m} \). Two parallel wires of length `9 m` each are separated by a distance `0.15. Two Parallel Wires Of Length 9M Each.
From www.slideserve.com
PPT ELECTRODYNAMICS PowerPoint Presentation, free download ID162570 Two Parallel Wires Of Length 9M Each Two long parallel copper wires carry currents of `5 a` each in opposite directions. Two parallel wires of length \( 9 m \) each are separated by a distance \( 0.15 \mathrm{~m} \). If they carry equal current in the same direction and exerts a. If they carry equal currents in the same direction and exerts a. Two parallel wires. Two Parallel Wires Of Length 9M Each.
From www.chegg.com
Two parallel wires of length 0.5 m and separation of Two Parallel Wires Of Length 9M Each To parallel wires of length 9 m each are separated by a distance 0.15 m. If they carry equal current in the same direction and exerts a. If they carry currents in the same direction and exert a total force of 30 × 10 − 7 n on each other, then the value of. Two parallel wires of length 9. Two Parallel Wires Of Length 9M Each.
From askfilo.com
Q.58 Two parallel wires of length 9 m each are them is separated by a dis.. Two Parallel Wires Of Length 9M Each Two parallel wires of length 9 m each are separated by a distance 0.15 m. To parallel wires of length 9 m each are separated by a distance 0.15 m. Two long straight parallel wires separated by a distance, carrying equal currents exert a force f per unit length on each other. Two parallel wires of length \( 9 m. Two Parallel Wires Of Length 9M Each.
From www.numerade.com
SOLVED Two long, parallel wires separated by 2.50 cm carry currents in Two Parallel Wires Of Length 9M Each If they carry equal currents in the same direction. To parallel wires of length 9 m each are separated by a distance 0.15 m. If the wires are separated by a distance of `. Two long parallel copper wires carry currents of `5 a` each in opposite directions. Two parallel wires of length `9 m` each are separated by a. Two Parallel Wires Of Length 9M Each.
From www.numerade.com
SOLVEDTwo parallel wires separated by 4.15 cm repel each other with Two Parallel Wires Of Length 9M Each Two parallel wires of length \( 9 m \) each are separated by a distance \( 0.15 \mathrm{~m} \). If they carry equal current in the same direction and exerts a. If they carry currents in the same direction and exert a total force of 30 × 10 − 7 n on each other, then the value of. Two long. Two Parallel Wires Of Length 9M Each.
From edurev.in
Two parallel wires of length 9m each are separated by a distance of 0 Two Parallel Wires Of Length 9M Each Two long straight parallel wires separated by a distance, carrying equal currents exert a force f per unit length on each other. Two parallel wires of length 9 m each are separated by a distance 0.15 m. If they carry equal currents in the same direction. Two long parallel copper wires carry currents of `5 a` each in opposite directions.. Two Parallel Wires Of Length 9M Each.
From pressbooks.online.ucf.edu
22.10 Force between Two Parallel Conductors College Physics Two Parallel Wires Of Length 9M Each If they carry equal currents in the same direction. If they carry currents in the same direction and exert a total force of 30 × 10 − 7 n on each other, then the value of. Two parallel wires of length \( 9 m \) each are separated by a distance \( 0.15 \mathrm{~m} \). Two parallel wires of length. Two Parallel Wires Of Length 9M Each.
From www.chegg.com
Solved Two parallel wires of length L and separation d each Two Parallel Wires Of Length 9M Each If the wires are separated by a distance of `. If they carry equal currents in the same direction. Two parallel wires of length 9 m each are separated by a distance 0.15 m. If they carry equal current in the same direction and exerts a. Two parallel wires of length 9 m each are separated by a distance 0.15. Two Parallel Wires Of Length 9M Each.
From www.toppr.com
77. Two parallel wires of length 9m each are separated by a distance 0. Two Parallel Wires Of Length 9M Each If they carry currents in the same direction and exert a total force of 30 × 10 − 7 n on each other, then the value of. Two parallel wires of length `9 m` each are separated by a distance `0.15 m`.if they carry equal currents in the same direction and. Two long parallel copper wires carry currents of `5. Two Parallel Wires Of Length 9M Each.
From www.numerade.com
SOLVED Two long, parallel wires are hung by cords of length 5.0 cm, as Two Parallel Wires Of Length 9M Each If they carry equal currents in the same direction. Two parallel wires of length \( 9 m \) each are separated by a distance \( 0.15 \mathrm{~m} \). If the wires are separated by a distance of `. If they carry currents in the same direction and exert a total force of 30 × 10 − 7 n on each. Two Parallel Wires Of Length 9M Each.
From edurev.in
Two parallel wires of length 9m each are separated by a distance of 0 Two Parallel Wires Of Length 9M Each If they carry equal current in the same direction and exerts a. Two long parallel copper wires carry currents of `5 a` each in opposite directions. If they carry currents in the same direction and exert a total force of 30 × 10 − 7 n on each other, then the value of. If they carry equal currents in the. Two Parallel Wires Of Length 9M Each.
From www.toppr.com
Two long parallel wires are at a distance of 1m. If both of them carry Two Parallel Wires Of Length 9M Each Two long straight parallel wires separated by a distance, carrying equal currents exert a force f per unit length on each other. To parallel wires of length 9 m each are separated by a distance 0.15 m. Two long parallel copper wires carry currents of `5 a` each in opposite directions. If the wires are separated by a distance of. Two Parallel Wires Of Length 9M Each.
From askfilo.com
Two parallel wires of equal lengths are sepanted bysa distance of 3 m fro.. Two Parallel Wires Of Length 9M Each Two long parallel copper wires carry currents of `5 a` each in opposite directions. Two parallel wires of length `9 m` each are separated by a distance `0.15 m`.if they carry equal currents in the same direction and. If the wires are separated by a distance of `. If they carry equal current in the same direction and exerts a.. Two Parallel Wires Of Length 9M Each.
From byjus.com
two long parallel wires are seperated by a dis†an ce of 8cm carry Two Parallel Wires Of Length 9M Each If the wires are separated by a distance of `. Two long parallel copper wires carry currents of `5 a` each in opposite directions. If they carry equal current in the same direction and exerts a. Two parallel wires of length 9 m each are separated by a distance 0.15 m. If the wires are separated by a distance of. Two Parallel Wires Of Length 9M Each.
From www.youtube.com
The two wires shown in the figure below are separated by d YouTube Two Parallel Wires Of Length 9M Each If they carry equal currents in the same direction. Two parallel wires of length \( 9 m \) each are separated by a distance \( 0.15 \mathrm{~m} \). Two long parallel copper wires carry currents of `5 a` each in opposite directions. If the wires are separated by a distance of `. Two parallel wires of length 9 m each. Two Parallel Wires Of Length 9M Each.
From www.youtube.com
Two long parallel wires each with a mass per unit length of 40 g/m are Two Parallel Wires Of Length 9M Each Two parallel wires of length 9 m each are separated by a distance 0.15 m. Two parallel wires of length 9 m each are separated by a distance 0.15 m. Two long straight parallel wires separated by a distance, carrying equal currents exert a force f per unit length on each other. If they carry equal current in the same. Two Parallel Wires Of Length 9M Each.
From www.numerade.com
SOLVED Three parallel wires of length L = (8.13x10^1) m are Two Parallel Wires Of Length 9M Each Two parallel wires of length `9 m` each are separated by a distance `0.15 m`.if they carry equal currents in the same direction and. Two long parallel copper wires carry currents of `5 a` each in opposite directions. If they carry equal current in the same direction and exerts a. If they carry currents in the same direction and exert. Two Parallel Wires Of Length 9M Each.
From www.toppr.com
Ilustration. 47 Awater film is formed in between two parallel wires Two Parallel Wires Of Length 9M Each Two long parallel copper wires carry currents of `5 a` each in opposite directions. To parallel wires of length 9 m each are separated by a distance 0.15 m. If the wires are separated by a distance of ` 0.5m` ,. Two parallel wires of length 9 m each are separated by a distance 0.15 m. If they carry equal. Two Parallel Wires Of Length 9M Each.