Polaris Job Description . We’ve built a strong team of over 1,000 talented and ambitious individuals who are dedicated to making a difference to the 3,500 vulnerable 78 polaris jobs including salaries, ratings, and reviews, posted by polaris employees. The global team spans across electrical, design, calibration, powertrain, software, validation, cae and many. Search job openings at polaris. Polaris is known for innovation and our engineering team is the reason for it. Integrity, continuous improvement, accountability, team player, customer focus, leadership, and innovation make up these values and you can. We are seeking a skilled technician to join our team. The ideal candidate will have experience in powersports (polaris, cfmoto, all other brands). To get a job at polaris, browse currently open positions and apply for a job near you. Once you get a positive response, make sure to find out about the. We have a great opportunity for a sr staff engineer to join our team managing and executing the integration of composite materials into.
from www.scribd.com
The global team spans across electrical, design, calibration, powertrain, software, validation, cae and many. The ideal candidate will have experience in powersports (polaris, cfmoto, all other brands). We are seeking a skilled technician to join our team. Once you get a positive response, make sure to find out about the. We have a great opportunity for a sr staff engineer to join our team managing and executing the integration of composite materials into. Search job openings at polaris. Polaris is known for innovation and our engineering team is the reason for it. Integrity, continuous improvement, accountability, team player, customer focus, leadership, and innovation make up these values and you can. To get a job at polaris, browse currently open positions and apply for a job near you. 78 polaris jobs including salaries, ratings, and reviews, posted by polaris employees.
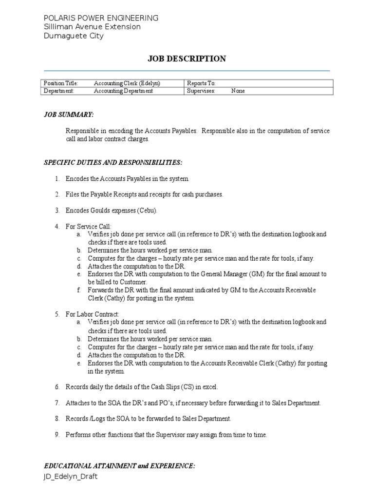
Job Description Polaris Power Engineering Silliman Avenue Extension
Polaris Job Description Once you get a positive response, make sure to find out about the. Search job openings at polaris. We’ve built a strong team of over 1,000 talented and ambitious individuals who are dedicated to making a difference to the 3,500 vulnerable The ideal candidate will have experience in powersports (polaris, cfmoto, all other brands). Once you get a positive response, make sure to find out about the. To get a job at polaris, browse currently open positions and apply for a job near you. The global team spans across electrical, design, calibration, powertrain, software, validation, cae and many. 78 polaris jobs including salaries, ratings, and reviews, posted by polaris employees. Integrity, continuous improvement, accountability, team player, customer focus, leadership, and innovation make up these values and you can. We are seeking a skilled technician to join our team. Polaris is known for innovation and our engineering team is the reason for it. We have a great opportunity for a sr staff engineer to join our team managing and executing the integration of composite materials into.
From www.youtube.com
POLARIS JOB INTERVIEW POLARIS JOBS TOP JOBS TAMIL BE/BTECH MECH Polaris Job Description Once you get a positive response, make sure to find out about the. Search job openings at polaris. Integrity, continuous improvement, accountability, team player, customer focus, leadership, and innovation make up these values and you can. The global team spans across electrical, design, calibration, powertrain, software, validation, cae and many. We’ve built a strong team of over 1,000 talented and. Polaris Job Description.
From www.youtube.com
Part Five How to Submit a Job on Polaris YouTube Polaris Job Description The global team spans across electrical, design, calibration, powertrain, software, validation, cae and many. Polaris is known for innovation and our engineering team is the reason for it. Integrity, continuous improvement, accountability, team player, customer focus, leadership, and innovation make up these values and you can. The ideal candidate will have experience in powersports (polaris, cfmoto, all other brands). Once. Polaris Job Description.
From www.hospitalityonline.com
Houseperson Job Renaissance Columbus WestervillePolaris Hotel Polaris Job Description The global team spans across electrical, design, calibration, powertrain, software, validation, cae and many. To get a job at polaris, browse currently open positions and apply for a job near you. We are seeking a skilled technician to join our team. Integrity, continuous improvement, accountability, team player, customer focus, leadership, and innovation make up these values and you can. 78. Polaris Job Description.
From sourcebae.com
React Native Developer Job Description SourceBae Polaris Job Description Once you get a positive response, make sure to find out about the. Integrity, continuous improvement, accountability, team player, customer focus, leadership, and innovation make up these values and you can. To get a job at polaris, browse currently open positions and apply for a job near you. We’ve built a strong team of over 1,000 talented and ambitious individuals. Polaris Job Description.
From www.chegg.com
Solved The Polaris Company uses a joborder costing system. Polaris Job Description Search job openings at polaris. Once you get a positive response, make sure to find out about the. The global team spans across electrical, design, calibration, powertrain, software, validation, cae and many. 78 polaris jobs including salaries, ratings, and reviews, posted by polaris employees. We’ve built a strong team of over 1,000 talented and ambitious individuals who are dedicated to. Polaris Job Description.
From www.polaris.edu
Post A Job Polaris Career Center Polaris Job Description We’ve built a strong team of over 1,000 talented and ambitious individuals who are dedicated to making a difference to the 3,500 vulnerable The ideal candidate will have experience in powersports (polaris, cfmoto, all other brands). To get a job at polaris, browse currently open positions and apply for a job near you. We are seeking a skilled technician to. Polaris Job Description.
From www.chegg.com
Solved The Polaris Company uses a joborder costing system. Polaris Job Description To get a job at polaris, browse currently open positions and apply for a job near you. We have a great opportunity for a sr staff engineer to join our team managing and executing the integration of composite materials into. Search job openings at polaris. The ideal candidate will have experience in powersports (polaris, cfmoto, all other brands). Once you. Polaris Job Description.
From dotheai.com
Job Description Generator DoTheAI Polaris Job Description We’ve built a strong team of over 1,000 talented and ambitious individuals who are dedicated to making a difference to the 3,500 vulnerable Polaris is known for innovation and our engineering team is the reason for it. Search job openings at polaris. Integrity, continuous improvement, accountability, team player, customer focus, leadership, and innovation make up these values and you can.. Polaris Job Description.
From logos-world.net
Polaris Logo, symbol, meaning, history, PNG, brand Polaris Job Description We’ve built a strong team of over 1,000 talented and ambitious individuals who are dedicated to making a difference to the 3,500 vulnerable The global team spans across electrical, design, calibration, powertrain, software, validation, cae and many. Integrity, continuous improvement, accountability, team player, customer focus, leadership, and innovation make up these values and you can. Search job openings at polaris.. Polaris Job Description.
From www.lovelol.de
Polaris Project Hotline Advocate Resume Example Resume Example Gallery Polaris Job Description 78 polaris jobs including salaries, ratings, and reviews, posted by polaris employees. Polaris is known for innovation and our engineering team is the reason for it. We are seeking a skilled technician to join our team. We’ve built a strong team of over 1,000 talented and ambitious individuals who are dedicated to making a difference to the 3,500 vulnerable The. Polaris Job Description.
From www.waff.com
Polaris Industries to host job fair in Madison next weekend Polaris Job Description We have a great opportunity for a sr staff engineer to join our team managing and executing the integration of composite materials into. The ideal candidate will have experience in powersports (polaris, cfmoto, all other brands). We’ve built a strong team of over 1,000 talented and ambitious individuals who are dedicated to making a difference to the 3,500 vulnerable Integrity,. Polaris Job Description.
From www.vrogue.co
3 Human Resources Hr Job Description Templates vrogue.co Polaris Job Description We are seeking a skilled technician to join our team. Search job openings at polaris. Integrity, continuous improvement, accountability, team player, customer focus, leadership, and innovation make up these values and you can. To get a job at polaris, browse currently open positions and apply for a job near you. We’ve built a strong team of over 1,000 talented and. Polaris Job Description.
From 256today.com
Huntsville Career Center to host Polaris job fair 256 Today Polaris Job Description The global team spans across electrical, design, calibration, powertrain, software, validation, cae and many. Search job openings at polaris. 78 polaris jobs including salaries, ratings, and reviews, posted by polaris employees. Once you get a positive response, make sure to find out about the. The ideal candidate will have experience in powersports (polaris, cfmoto, all other brands). We are seeking. Polaris Job Description.
From www.vrogue.co
Graphic Designer Job Description Template Pdf Templat vrogue.co Polaris Job Description Integrity, continuous improvement, accountability, team player, customer focus, leadership, and innovation make up these values and you can. We’ve built a strong team of over 1,000 talented and ambitious individuals who are dedicated to making a difference to the 3,500 vulnerable The ideal candidate will have experience in powersports (polaris, cfmoto, all other brands). We have a great opportunity for. Polaris Job Description.
From utvguide.net
Polaris XPEDITION First Ride Review UTV Guide Polaris Job Description To get a job at polaris, browse currently open positions and apply for a job near you. We have a great opportunity for a sr staff engineer to join our team managing and executing the integration of composite materials into. The ideal candidate will have experience in powersports (polaris, cfmoto, all other brands). Once you get a positive response, make. Polaris Job Description.
From adol.alabama.gov
The Huntsville Career Center to Host Job Fair for Polaris in the Polaris Job Description Integrity, continuous improvement, accountability, team player, customer focus, leadership, and innovation make up these values and you can. We have a great opportunity for a sr staff engineer to join our team managing and executing the integration of composite materials into. The ideal candidate will have experience in powersports (polaris, cfmoto, all other brands). To get a job at polaris,. Polaris Job Description.
From www.chegg.com
Solved The Polaris Company uses a joborder costing system. Polaris Job Description We are seeking a skilled technician to join our team. Search job openings at polaris. The global team spans across electrical, design, calibration, powertrain, software, validation, cae and many. We’ve built a strong team of over 1,000 talented and ambitious individuals who are dedicated to making a difference to the 3,500 vulnerable Once you get a positive response, make sure. Polaris Job Description.
From utvguide.net
Polaris XPEDITION First Ride Review UTV Guide Polaris Job Description The ideal candidate will have experience in powersports (polaris, cfmoto, all other brands). Search job openings at polaris. To get a job at polaris, browse currently open positions and apply for a job near you. We’ve built a strong team of over 1,000 talented and ambitious individuals who are dedicated to making a difference to the 3,500 vulnerable Once you. Polaris Job Description.
From www.facebook.com
2010 Read description Polaris Powersport Vehicles Hayden, Alabama Polaris Job Description We’ve built a strong team of over 1,000 talented and ambitious individuals who are dedicated to making a difference to the 3,500 vulnerable 78 polaris jobs including salaries, ratings, and reviews, posted by polaris employees. Once you get a positive response, make sure to find out about the. Integrity, continuous improvement, accountability, team player, customer focus, leadership, and innovation make. Polaris Job Description.
From www.xero.com
Free Job Description Template Xero UK Polaris Job Description The global team spans across electrical, design, calibration, powertrain, software, validation, cae and many. We are seeking a skilled technician to join our team. We have a great opportunity for a sr staff engineer to join our team managing and executing the integration of composite materials into. We’ve built a strong team of over 1,000 talented and ambitious individuals who. Polaris Job Description.
From interviewguy.com
CPR and First Aid Instructor Job Description [Updated for 2024] Polaris Job Description 78 polaris jobs including salaries, ratings, and reviews, posted by polaris employees. Search job openings at polaris. To get a job at polaris, browse currently open positions and apply for a job near you. Integrity, continuous improvement, accountability, team player, customer focus, leadership, and innovation make up these values and you can. Once you get a positive response, make sure. Polaris Job Description.
From australasiansxs.com.au
WANT A JOB WITH POLARIS? Australasian SXS Polaris Job Description Polaris is known for innovation and our engineering team is the reason for it. To get a job at polaris, browse currently open positions and apply for a job near you. Once you get a positive response, make sure to find out about the. We’ve built a strong team of over 1,000 talented and ambitious individuals who are dedicated to. Polaris Job Description.
From www.rocketcitynow.com
Polaris looking to hire for Huntsville facility Polaris Job Description We’ve built a strong team of over 1,000 talented and ambitious individuals who are dedicated to making a difference to the 3,500 vulnerable To get a job at polaris, browse currently open positions and apply for a job near you. 78 polaris jobs including salaries, ratings, and reviews, posted by polaris employees. The global team spans across electrical, design, calibration,. Polaris Job Description.
From logos-world.net
Polaris Logo, symbol, meaning, history, PNG, brand Polaris Job Description Search job openings at polaris. To get a job at polaris, browse currently open positions and apply for a job near you. Polaris is known for innovation and our engineering team is the reason for it. We’ve built a strong team of over 1,000 talented and ambitious individuals who are dedicated to making a difference to the 3,500 vulnerable Integrity,. Polaris Job Description.
From issuu.com
Adult Job & Career Training Programs 20232024 by Polaris Career Center Polaris Job Description The global team spans across electrical, design, calibration, powertrain, software, validation, cae and many. We’ve built a strong team of over 1,000 talented and ambitious individuals who are dedicated to making a difference to the 3,500 vulnerable Search job openings at polaris. We are seeking a skilled technician to join our team. Once you get a positive response, make sure. Polaris Job Description.
From www.rocketcitynow.com
Polaris set to have job fair for multiple positions Polaris Job Description We have a great opportunity for a sr staff engineer to join our team managing and executing the integration of composite materials into. We are seeking a skilled technician to join our team. We’ve built a strong team of over 1,000 talented and ambitious individuals who are dedicated to making a difference to the 3,500 vulnerable Polaris is known for. Polaris Job Description.
From www.figma.com
Polaris Icons Figma Community Polaris Job Description To get a job at polaris, browse currently open positions and apply for a job near you. Integrity, continuous improvement, accountability, team player, customer focus, leadership, and innovation make up these values and you can. The global team spans across electrical, design, calibration, powertrain, software, validation, cae and many. Polaris is known for innovation and our engineering team is the. Polaris Job Description.
From www.chegg.com
Solved The Polaris Company uses a joborder costing system. Polaris Job Description The ideal candidate will have experience in powersports (polaris, cfmoto, all other brands). 78 polaris jobs including salaries, ratings, and reviews, posted by polaris employees. We’ve built a strong team of over 1,000 talented and ambitious individuals who are dedicated to making a difference to the 3,500 vulnerable Once you get a positive response, make sure to find out about. Polaris Job Description.
From www.scribd.com
Job Description Polaris Power Engineering Silliman Avenue Extension Polaris Job Description Once you get a positive response, make sure to find out about the. The global team spans across electrical, design, calibration, powertrain, software, validation, cae and many. We are seeking a skilled technician to join our team. We’ve built a strong team of over 1,000 talented and ambitious individuals who are dedicated to making a difference to the 3,500 vulnerable. Polaris Job Description.
From es.islcollective.com
Job Description Español ELE powerpoints Polaris Job Description 78 polaris jobs including salaries, ratings, and reviews, posted by polaris employees. Search job openings at polaris. The global team spans across electrical, design, calibration, powertrain, software, validation, cae and many. We’ve built a strong team of over 1,000 talented and ambitious individuals who are dedicated to making a difference to the 3,500 vulnerable We are seeking a skilled technician. Polaris Job Description.
From www.reddit.com
Progress and result of my first wooden modelship, Polaris. Description Polaris Job Description Search job openings at polaris. Integrity, continuous improvement, accountability, team player, customer focus, leadership, and innovation make up these values and you can. We’ve built a strong team of over 1,000 talented and ambitious individuals who are dedicated to making a difference to the 3,500 vulnerable Polaris is known for innovation and our engineering team is the reason for it.. Polaris Job Description.
From www.scribd.com
Job Description Polaris Power Engineering Silliman Avenue Extension Polaris Job Description We are seeking a skilled technician to join our team. Search job openings at polaris. The ideal candidate will have experience in powersports (polaris, cfmoto, all other brands). Once you get a positive response, make sure to find out about the. We’ve built a strong team of over 1,000 talented and ambitious individuals who are dedicated to making a difference. Polaris Job Description.
From futureen.com
Job Description AI 🌟 Attract top talent with AIgenerated job Polaris Job Description Once you get a positive response, make sure to find out about the. Integrity, continuous improvement, accountability, team player, customer focus, leadership, and innovation make up these values and you can. Polaris is known for innovation and our engineering team is the reason for it. Search job openings at polaris. The global team spans across electrical, design, calibration, powertrain, software,. Polaris Job Description.
From quadcitiesdaily.com
The Albertville Career Center to Host Job Fair for Polaris in the Polaris Job Description Search job openings at polaris. 78 polaris jobs including salaries, ratings, and reviews, posted by polaris employees. We have a great opportunity for a sr staff engineer to join our team managing and executing the integration of composite materials into. To get a job at polaris, browse currently open positions and apply for a job near you. We’ve built a. Polaris Job Description.
From wiringdiagram.2bitboer.com
Polaris Ranger 900 Xp Wiring Diagram Wiring Diagram Polaris Job Description Integrity, continuous improvement, accountability, team player, customer focus, leadership, and innovation make up these values and you can. To get a job at polaris, browse currently open positions and apply for a job near you. 78 polaris jobs including salaries, ratings, and reviews, posted by polaris employees. Once you get a positive response, make sure to find out about the.. Polaris Job Description.