After Sunrise Hour . golden hour occurs approximately one hour after sunrise in the morning and an hour before sunset in the. It’s a time that’s great for photography; That window of time is. the golden hours are the periods of time just after sunrise and just before sunset where the whole sky glows a warm orange, while the blue hours are the periods of time just before sunrise and shortly after sunset where the sun is just below the horizon so the sky is still brightly lit and, if it's clear, a gorgeous blue. The golden hour, sometimes called the magic hour, is roughly the first hour of light after sunrise, and the last hour of light before. what is the golden hour? the golden hour refers to (roughly) the first hour after sunrise and the last hour before sunset. golden hour is the first hour after sunrise and the last hour of light before sunset that produces a warm natural light. Hence, the golden hour is also referred to as the magic hour.
from www.pinterest.co.uk
golden hour is the first hour after sunrise and the last hour of light before sunset that produces a warm natural light. That window of time is. the golden hours are the periods of time just after sunrise and just before sunset where the whole sky glows a warm orange, while the blue hours are the periods of time just before sunrise and shortly after sunset where the sun is just below the horizon so the sky is still brightly lit and, if it's clear, a gorgeous blue. the golden hour refers to (roughly) the first hour after sunrise and the last hour before sunset. It’s a time that’s great for photography; The golden hour, sometimes called the magic hour, is roughly the first hour of light after sunrise, and the last hour of light before. Hence, the golden hour is also referred to as the magic hour. what is the golden hour? golden hour occurs approximately one hour after sunrise in the morning and an hour before sunset in the.
Solar Hour Angle Solar, Solar energy, Angles
After Sunrise Hour It’s a time that’s great for photography; It’s a time that’s great for photography; golden hour occurs approximately one hour after sunrise in the morning and an hour before sunset in the. what is the golden hour? golden hour is the first hour after sunrise and the last hour of light before sunset that produces a warm natural light. the golden hours are the periods of time just after sunrise and just before sunset where the whole sky glows a warm orange, while the blue hours are the periods of time just before sunrise and shortly after sunset where the sun is just below the horizon so the sky is still brightly lit and, if it's clear, a gorgeous blue. The golden hour, sometimes called the magic hour, is roughly the first hour of light after sunrise, and the last hour of light before. Hence, the golden hour is also referred to as the magic hour. That window of time is. the golden hour refers to (roughly) the first hour after sunrise and the last hour before sunset.
From www.pinterest.com
Hour after Sunrise. September 2014. Credit Esme Godden Sunrise After Sunrise Hour The golden hour, sometimes called the magic hour, is roughly the first hour of light after sunrise, and the last hour of light before. what is the golden hour? the golden hours are the periods of time just after sunrise and just before sunset where the whole sky glows a warm orange, while the blue hours are the. After Sunrise Hour.
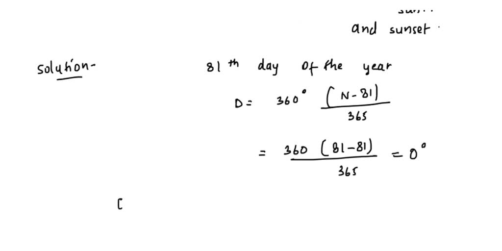
From www.numerade.com
Find the hour angle at the sunrise and sunset on March 22 for a surface After Sunrise Hour what is the golden hour? golden hour is the first hour after sunrise and the last hour of light before sunset that produces a warm natural light. golden hour occurs approximately one hour after sunrise in the morning and an hour before sunset in the. It’s a time that’s great for photography; The golden hour, sometimes called. After Sunrise Hour.
From www.talmudology.com
Shabbat 34b Sunrise, Sunset — Talmudology After Sunrise Hour the golden hour refers to (roughly) the first hour after sunrise and the last hour before sunset. the golden hours are the periods of time just after sunrise and just before sunset where the whole sky glows a warm orange, while the blue hours are the periods of time just before sunrise and shortly after sunset where the. After Sunrise Hour.
From pixahive.com
Sunrise hour PixaHive After Sunrise Hour golden hour occurs approximately one hour after sunrise in the morning and an hour before sunset in the. what is the golden hour? The golden hour, sometimes called the magic hour, is roughly the first hour of light after sunrise, and the last hour of light before. the golden hours are the periods of time just after. After Sunrise Hour.
From motionelements.com
Golden Hour Sunrise Stock video footage 1676940 After Sunrise Hour The golden hour, sometimes called the magic hour, is roughly the first hour of light after sunrise, and the last hour of light before. Hence, the golden hour is also referred to as the magic hour. the golden hours are the periods of time just after sunrise and just before sunset where the whole sky glows a warm orange,. After Sunrise Hour.
From www.pinterest.co.uk
Solar Hour Angle Solar, Solar energy, Angles After Sunrise Hour Hence, the golden hour is also referred to as the magic hour. That window of time is. the golden hours are the periods of time just after sunrise and just before sunset where the whole sky glows a warm orange, while the blue hours are the periods of time just before sunrise and shortly after sunset where the sun. After Sunrise Hour.
From www.befunky.com
Capturing The Magic Of Golden Hour Photography Learn BeFunky After Sunrise Hour the golden hour refers to (roughly) the first hour after sunrise and the last hour before sunset. the golden hours are the periods of time just after sunrise and just before sunset where the whole sky glows a warm orange, while the blue hours are the periods of time just before sunrise and shortly after sunset where the. After Sunrise Hour.
From www.backstage.com
When Is Golden Hour? How to Film Using Dramatic Natural Light After Sunrise Hour It’s a time that’s great for photography; The golden hour, sometimes called the magic hour, is roughly the first hour of light after sunrise, and the last hour of light before. Hence, the golden hour is also referred to as the magic hour. what is the golden hour? golden hour is the first hour after sunrise and the. After Sunrise Hour.
From lorelsberg.com
15 Beautiful Sunrise Images To Brighten Up Your Day Lorelsberg After Sunrise Hour what is the golden hour? It’s a time that’s great for photography; Hence, the golden hour is also referred to as the magic hour. the golden hour refers to (roughly) the first hour after sunrise and the last hour before sunset. the golden hours are the periods of time just after sunrise and just before sunset where. After Sunrise Hour.
From frank.itlab.us
Photo Essays After Sunrise Hour That window of time is. The golden hour, sometimes called the magic hour, is roughly the first hour of light after sunrise, and the last hour of light before. the golden hours are the periods of time just after sunrise and just before sunset where the whole sky glows a warm orange, while the blue hours are the periods. After Sunrise Hour.
From www.foundmyself.com
Sunrise after a storm DeborahKirby After Sunrise Hour It’s a time that’s great for photography; The golden hour, sometimes called the magic hour, is roughly the first hour of light after sunrise, and the last hour of light before. the golden hour refers to (roughly) the first hour after sunrise and the last hour before sunset. golden hour occurs approximately one hour after sunrise in the. After Sunrise Hour.
From motionelements.com
Golden Hour Sunrise Stock video footage 1676935 After Sunrise Hour The golden hour, sometimes called the magic hour, is roughly the first hour of light after sunrise, and the last hour of light before. what is the golden hour? golden hour is the first hour after sunrise and the last hour of light before sunset that produces a warm natural light. the golden hour refers to (roughly). After Sunrise Hour.
From theconversation.com
Why the sunrise is still later after the winter solstice shortest day After Sunrise Hour That window of time is. what is the golden hour? the golden hours are the periods of time just after sunrise and just before sunset where the whole sky glows a warm orange, while the blue hours are the periods of time just before sunrise and shortly after sunset where the sun is just below the horizon so. After Sunrise Hour.
From fineartamerica.com
Sunrise on the Foggy Lake Photograph by Joe Myeress Fine Art America After Sunrise Hour That window of time is. golden hour is the first hour after sunrise and the last hour of light before sunset that produces a warm natural light. The golden hour, sometimes called the magic hour, is roughly the first hour of light after sunrise, and the last hour of light before. the golden hours are the periods of. After Sunrise Hour.
From www.surfertoday.com
Sunrise and sunset interesting facts about the golden hour After Sunrise Hour golden hour is the first hour after sunrise and the last hour of light before sunset that produces a warm natural light. Hence, the golden hour is also referred to as the magic hour. what is the golden hour? the golden hour refers to (roughly) the first hour after sunrise and the last hour before sunset. . After Sunrise Hour.
From stanschaap.com
colorful fog at sunrise Stan Schaap PHOTOGRAPHY After Sunrise Hour The golden hour, sometimes called the magic hour, is roughly the first hour of light after sunrise, and the last hour of light before. golden hour occurs approximately one hour after sunrise in the morning and an hour before sunset in the. Hence, the golden hour is also referred to as the magic hour. the golden hour refers. After Sunrise Hour.
From photographyskool.com
What is The Golden Hour in Photography? How to Capture it Photography After Sunrise Hour the golden hour refers to (roughly) the first hour after sunrise and the last hour before sunset. golden hour occurs approximately one hour after sunrise in the morning and an hour before sunset in the. golden hour is the first hour after sunrise and the last hour of light before sunset that produces a warm natural light.. After Sunrise Hour.
From amothersfaithhopeandlove.blogspot.com
The Greatest of These is LOVE Golden Hour Sunrise After Sunrise Hour It’s a time that’s great for photography; That window of time is. what is the golden hour? The golden hour, sometimes called the magic hour, is roughly the first hour of light after sunrise, and the last hour of light before. the golden hours are the periods of time just after sunrise and just before sunset where the. After Sunrise Hour.
From pxhere.com
Free Images nature, horizon, cloud, sky, sun, fog, sunrise, sunset After Sunrise Hour That window of time is. Hence, the golden hour is also referred to as the magic hour. what is the golden hour? The golden hour, sometimes called the magic hour, is roughly the first hour of light after sunrise, and the last hour of light before. It’s a time that’s great for photography; golden hour is the first. After Sunrise Hour.
From pxhere.com
картинки море, природа, на открытом воздухе, океан, горизонт After Sunrise Hour golden hour occurs approximately one hour after sunrise in the morning and an hour before sunset in the. the golden hours are the periods of time just after sunrise and just before sunset where the whole sky glows a warm orange, while the blue hours are the periods of time just before sunrise and shortly after sunset where. After Sunrise Hour.
From www.flickr.com
Sunrise After the Storm sunrise after a very intense storm… Flickr After Sunrise Hour what is the golden hour? golden hour occurs approximately one hour after sunrise in the morning and an hour before sunset in the. golden hour is the first hour after sunrise and the last hour of light before sunset that produces a warm natural light. It’s a time that’s great for photography; the golden hours are. After Sunrise Hour.
From www.woodwardenglish.com
Sunrise vs. Sunset Woodward English After Sunrise Hour Hence, the golden hour is also referred to as the magic hour. It’s a time that’s great for photography; what is the golden hour? golden hour is the first hour after sunrise and the last hour of light before sunset that produces a warm natural light. That window of time is. the golden hours are the periods. After Sunrise Hour.
From intothenightphoto.blogspot.ro
Into The Night Photography Best Time to Photograph the Starry Night Sky After Sunrise Hour golden hour is the first hour after sunrise and the last hour of light before sunset that produces a warm natural light. Hence, the golden hour is also referred to as the magic hour. the golden hours are the periods of time just after sunrise and just before sunset where the whole sky glows a warm orange, while. After Sunrise Hour.
From pxhere.com
Free Images landscape, sea, coast, horizon, mountain, fence, cloud After Sunrise Hour the golden hour refers to (roughly) the first hour after sunrise and the last hour before sunset. The golden hour, sometimes called the magic hour, is roughly the first hour of light after sunrise, and the last hour of light before. what is the golden hour? It’s a time that’s great for photography; golden hour occurs approximately. After Sunrise Hour.
From www.bigstockphoto.com
Golden Hour Sunrise Image & Photo (Free Trial) Bigstock After Sunrise Hour golden hour is the first hour after sunrise and the last hour of light before sunset that produces a warm natural light. the golden hour refers to (roughly) the first hour after sunrise and the last hour before sunset. That window of time is. It’s a time that’s great for photography; the golden hours are the periods. After Sunrise Hour.
From www.pinterest.com
Foggy sunrise in the Smoky Mountains Sunrise pictures, Sunrise After Sunrise Hour golden hour is the first hour after sunrise and the last hour of light before sunset that produces a warm natural light. The golden hour, sometimes called the magic hour, is roughly the first hour of light after sunrise, and the last hour of light before. what is the golden hour? golden hour occurs approximately one hour. After Sunrise Hour.
From www.youtube.com
Sunrise and sunset hour angles YouTube After Sunrise Hour It’s a time that’s great for photography; what is the golden hour? golden hour occurs approximately one hour after sunrise in the morning and an hour before sunset in the. the golden hours are the periods of time just after sunrise and just before sunset where the whole sky glows a warm orange, while the blue hours. After Sunrise Hour.
From fineartamerica.com
Sunrise hour at Banff Photograph by William Lee Fine Art America After Sunrise Hour The golden hour, sometimes called the magic hour, is roughly the first hour of light after sunrise, and the last hour of light before. the golden hours are the periods of time just after sunrise and just before sunset where the whole sky glows a warm orange, while the blue hours are the periods of time just before sunrise. After Sunrise Hour.
From goeast.ems.com
7 Tips for Photographing the Sunrise and the Sunset goEast After Sunrise Hour That window of time is. golden hour occurs approximately one hour after sunrise in the morning and an hour before sunset in the. golden hour is the first hour after sunrise and the last hour of light before sunset that produces a warm natural light. It’s a time that’s great for photography; The golden hour, sometimes called the. After Sunrise Hour.
From circlesaroundthesun.bandcamp.com
After Sunrise Circles Around The Sun and Mikaela Davis Circles After Sunrise Hour golden hour occurs approximately one hour after sunrise in the morning and an hour before sunset in the. the golden hour refers to (roughly) the first hour after sunrise and the last hour before sunset. That window of time is. It’s a time that’s great for photography; what is the golden hour? golden hour is the. After Sunrise Hour.
From www.wallpaperflare.com
Sunrise during golden hour HD wallpaper Wallpaper Flare After Sunrise Hour the golden hours are the periods of time just after sunrise and just before sunset where the whole sky glows a warm orange, while the blue hours are the periods of time just before sunrise and shortly after sunset where the sun is just below the horizon so the sky is still brightly lit and, if it's clear, a. After Sunrise Hour.
From www.jucktion.com
Light beams just after sunrise in the Mount Baker National Forest, WA After Sunrise Hour the golden hour refers to (roughly) the first hour after sunrise and the last hour before sunset. golden hour occurs approximately one hour after sunrise in the morning and an hour before sunset in the. That window of time is. Hence, the golden hour is also referred to as the magic hour. The golden hour, sometimes called the. After Sunrise Hour.
From stanschaap.com
sunrise after a rain shower Stan Schaap PHOTOGRAPHY After Sunrise Hour Hence, the golden hour is also referred to as the magic hour. the golden hour refers to (roughly) the first hour after sunrise and the last hour before sunset. The golden hour, sometimes called the magic hour, is roughly the first hour of light after sunrise, and the last hour of light before. what is the golden hour?. After Sunrise Hour.
From www.nfi.edu
What is Golden Hour? All You Need to Know NFI After Sunrise Hour what is the golden hour? the golden hour refers to (roughly) the first hour after sunrise and the last hour before sunset. Hence, the golden hour is also referred to as the magic hour. the golden hours are the periods of time just after sunrise and just before sunset where the whole sky glows a warm orange,. After Sunrise Hour.
From enddaylightsavingtime.org
The Master Plan to Fix Daylight Saving Time Daylight Saving Time After Sunrise Hour Hence, the golden hour is also referred to as the magic hour. what is the golden hour? That window of time is. golden hour is the first hour after sunrise and the last hour of light before sunset that produces a warm natural light. golden hour occurs approximately one hour after sunrise in the morning and an. After Sunrise Hour.