Inductor Resonance Calculator . the resonant frequency of an lc circuit is reached when the inductive and capacitive reactances are equal in. this resonant frequency calculator employs the capacitance (c) and inductance (l) values of an lc circuit (also known as a. the resonant frequency formula is a fundamental concept in electrical engineering, particularly in the. lc resonant frequency calculator. if you would like to calculate the resonant frequency of an lc circuit, look no further — this resonant frequency calculator is the tool for. this calculator can determine the resonant frequency of an lc circuit which basically is a circuit consisting of an inductor and a capacitor and is. F0 is the resonant frequency in hertz (hz), l is the inductance in henries (h), c. A circuit with an inductor (l) and capacitor (c) connected in parallel or series will have a resonant frequency at.
from www.rfinsights.com
the resonant frequency formula is a fundamental concept in electrical engineering, particularly in the. this resonant frequency calculator employs the capacitance (c) and inductance (l) values of an lc circuit (also known as a. if you would like to calculate the resonant frequency of an lc circuit, look no further — this resonant frequency calculator is the tool for. A circuit with an inductor (l) and capacitor (c) connected in parallel or series will have a resonant frequency at. lc resonant frequency calculator. the resonant frequency of an lc circuit is reached when the inductive and capacitive reactances are equal in. this calculator can determine the resonant frequency of an lc circuit which basically is a circuit consisting of an inductor and a capacitor and is. F0 is the resonant frequency in hertz (hz), l is the inductance in henries (h), c.
Quality Factor Formula Inductor vs Resonator RFInsights
Inductor Resonance Calculator the resonant frequency of an lc circuit is reached when the inductive and capacitive reactances are equal in. this resonant frequency calculator employs the capacitance (c) and inductance (l) values of an lc circuit (also known as a. if you would like to calculate the resonant frequency of an lc circuit, look no further — this resonant frequency calculator is the tool for. lc resonant frequency calculator. the resonant frequency of an lc circuit is reached when the inductive and capacitive reactances are equal in. F0 is the resonant frequency in hertz (hz), l is the inductance in henries (h), c. A circuit with an inductor (l) and capacitor (c) connected in parallel or series will have a resonant frequency at. the resonant frequency formula is a fundamental concept in electrical engineering, particularly in the. this calculator can determine the resonant frequency of an lc circuit which basically is a circuit consisting of an inductor and a capacitor and is.
From www.electricalvolt.com
LC Tank Circuit Resonance Frequency Calculator Electrical Volt Inductor Resonance Calculator F0 is the resonant frequency in hertz (hz), l is the inductance in henries (h), c. if you would like to calculate the resonant frequency of an lc circuit, look no further — this resonant frequency calculator is the tool for. the resonant frequency formula is a fundamental concept in electrical engineering, particularly in the. this resonant. Inductor Resonance Calculator.
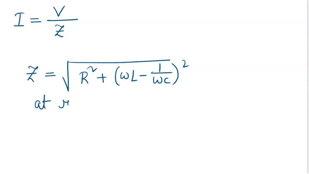
From www.numerade.com
SOLVED A series resonance network consisting of a resistor of 30Ω, a Inductor Resonance Calculator this calculator can determine the resonant frequency of an lc circuit which basically is a circuit consisting of an inductor and a capacitor and is. F0 is the resonant frequency in hertz (hz), l is the inductance in henries (h), c. the resonant frequency formula is a fundamental concept in electrical engineering, particularly in the. this resonant. Inductor Resonance Calculator.
From www.researchgate.net
Measured and calculated equivalent series resistance R , inductor 1 Inductor Resonance Calculator this resonant frequency calculator employs the capacitance (c) and inductance (l) values of an lc circuit (also known as a. A circuit with an inductor (l) and capacitor (c) connected in parallel or series will have a resonant frequency at. this calculator can determine the resonant frequency of an lc circuit which basically is a circuit consisting of. Inductor Resonance Calculator.
From evelinebeaux.blogspot.com
Voltage drop across inductor calculator EvelineBeaux Inductor Resonance Calculator lc resonant frequency calculator. this calculator can determine the resonant frequency of an lc circuit which basically is a circuit consisting of an inductor and a capacitor and is. F0 is the resonant frequency in hertz (hz), l is the inductance in henries (h), c. the resonant frequency of an lc circuit is reached when the inductive. Inductor Resonance Calculator.
From www.youtube.com
How Inductor & Capacitor determines the resonance frequency in Inductor Resonance Calculator this resonant frequency calculator employs the capacitance (c) and inductance (l) values of an lc circuit (also known as a. the resonant frequency formula is a fundamental concept in electrical engineering, particularly in the. the resonant frequency of an lc circuit is reached when the inductive and capacitive reactances are equal in. if you would like. Inductor Resonance Calculator.
From www.circuitdiagram.co
Lc Circuit Resonant Frequency Calculator Circuit Diagram Inductor Resonance Calculator the resonant frequency formula is a fundamental concept in electrical engineering, particularly in the. lc resonant frequency calculator. this resonant frequency calculator employs the capacitance (c) and inductance (l) values of an lc circuit (also known as a. the resonant frequency of an lc circuit is reached when the inductive and capacitive reactances are equal in.. Inductor Resonance Calculator.
From www.electricity-magnetism.org
How do you find the resonant frequency of an RLC circuit? Inductor Resonance Calculator the resonant frequency formula is a fundamental concept in electrical engineering, particularly in the. this calculator can determine the resonant frequency of an lc circuit which basically is a circuit consisting of an inductor and a capacitor and is. the resonant frequency of an lc circuit is reached when the inductive and capacitive reactances are equal in.. Inductor Resonance Calculator.
From www.youtube.com
Voltage Drops Across Each Inductor Solved Example YouTube Inductor Resonance Calculator the resonant frequency formula is a fundamental concept in electrical engineering, particularly in the. the resonant frequency of an lc circuit is reached when the inductive and capacitive reactances are equal in. A circuit with an inductor (l) and capacitor (c) connected in parallel or series will have a resonant frequency at. if you would like to. Inductor Resonance Calculator.
From www.circuitdiagram.co
Resonant Frequency Lc Circuit Calculator Circuit Diagram Inductor Resonance Calculator lc resonant frequency calculator. the resonant frequency formula is a fundamental concept in electrical engineering, particularly in the. this calculator can determine the resonant frequency of an lc circuit which basically is a circuit consisting of an inductor and a capacitor and is. the resonant frequency of an lc circuit is reached when the inductive and. Inductor Resonance Calculator.
From www.electronx.ca
Self Resonance Frequency of an Inductor ElectronX Lab Inductor Resonance Calculator the resonant frequency formula is a fundamental concept in electrical engineering, particularly in the. if you would like to calculate the resonant frequency of an lc circuit, look no further — this resonant frequency calculator is the tool for. this resonant frequency calculator employs the capacitance (c) and inductance (l) values of an lc circuit (also known. Inductor Resonance Calculator.
From www.youtube.com
NETWORK THEORY SOLVED PROBLEM CALCULATE RESONANT FREQUENCY WHEN TWO Inductor Resonance Calculator F0 is the resonant frequency in hertz (hz), l is the inductance in henries (h), c. if you would like to calculate the resonant frequency of an lc circuit, look no further — this resonant frequency calculator is the tool for. the resonant frequency formula is a fundamental concept in electrical engineering, particularly in the. the resonant. Inductor Resonance Calculator.
From www.chegg.com
Solved R=3002 Example A series resonance network consisting Inductor Resonance Calculator F0 is the resonant frequency in hertz (hz), l is the inductance in henries (h), c. this calculator can determine the resonant frequency of an lc circuit which basically is a circuit consisting of an inductor and a capacitor and is. this resonant frequency calculator employs the capacitance (c) and inductance (l) values of an lc circuit (also. Inductor Resonance Calculator.
From www.slideserve.com
PPT Inductors and Inductance PowerPoint Presentation, free download Inductor Resonance Calculator lc resonant frequency calculator. the resonant frequency of an lc circuit is reached when the inductive and capacitive reactances are equal in. the resonant frequency formula is a fundamental concept in electrical engineering, particularly in the. if you would like to calculate the resonant frequency of an lc circuit, look no further — this resonant frequency. Inductor Resonance Calculator.
From www.scribd.com
Re Calculate PDF Resonance Inductor Inductor Resonance Calculator the resonant frequency of an lc circuit is reached when the inductive and capacitive reactances are equal in. this resonant frequency calculator employs the capacitance (c) and inductance (l) values of an lc circuit (also known as a. if you would like to calculate the resonant frequency of an lc circuit, look no further — this resonant. Inductor Resonance Calculator.
From coil32.net
Coil32 The selfresonance frequency Inductor Resonance Calculator lc resonant frequency calculator. A circuit with an inductor (l) and capacitor (c) connected in parallel or series will have a resonant frequency at. the resonant frequency formula is a fundamental concept in electrical engineering, particularly in the. this calculator can determine the resonant frequency of an lc circuit which basically is a circuit consisting of an. Inductor Resonance Calculator.
From www.rfinsights.com
Quality Factor Formula Inductor vs Resonator RFInsights Inductor Resonance Calculator the resonant frequency formula is a fundamental concept in electrical engineering, particularly in the. this resonant frequency calculator employs the capacitance (c) and inductance (l) values of an lc circuit (also known as a. F0 is the resonant frequency in hertz (hz), l is the inductance in henries (h), c. lc resonant frequency calculator. the resonant. Inductor Resonance Calculator.
From falconetb4schematic.z14.web.core.windows.net
Ac Circuit Impedance Calculator Inductor Resonance Calculator the resonant frequency formula is a fundamental concept in electrical engineering, particularly in the. the resonant frequency of an lc circuit is reached when the inductive and capacitive reactances are equal in. A circuit with an inductor (l) and capacitor (c) connected in parallel or series will have a resonant frequency at. if you would like to. Inductor Resonance Calculator.
From anindiyayaya.blogspot.com
☑ Inductor Self Resonant Frequency Calculator Inductor Resonance Calculator lc resonant frequency calculator. this resonant frequency calculator employs the capacitance (c) and inductance (l) values of an lc circuit (also known as a. the resonant frequency of an lc circuit is reached when the inductive and capacitive reactances are equal in. A circuit with an inductor (l) and capacitor (c) connected in parallel or series will. Inductor Resonance Calculator.
From transwikia.com
Selfresonance frequency of chip inductors Electrical Engineering Inductor Resonance Calculator if you would like to calculate the resonant frequency of an lc circuit, look no further — this resonant frequency calculator is the tool for. lc resonant frequency calculator. A circuit with an inductor (l) and capacitor (c) connected in parallel or series will have a resonant frequency at. the resonant frequency formula is a fundamental concept. Inductor Resonance Calculator.
From www.chegg.com
Solved A series resonance network consisting of a resistor Inductor Resonance Calculator this calculator can determine the resonant frequency of an lc circuit which basically is a circuit consisting of an inductor and a capacitor and is. A circuit with an inductor (l) and capacitor (c) connected in parallel or series will have a resonant frequency at. the resonant frequency of an lc circuit is reached when the inductive and. Inductor Resonance Calculator.
From www.vrogue.co
At Resonance The Reactance Of The Inductor And The Ca vrogue.co Inductor Resonance Calculator the resonant frequency of an lc circuit is reached when the inductive and capacitive reactances are equal in. this calculator can determine the resonant frequency of an lc circuit which basically is a circuit consisting of an inductor and a capacitor and is. lc resonant frequency calculator. if you would like to calculate the resonant frequency. Inductor Resonance Calculator.
From exotbieiu.blob.core.windows.net
Inductor And Frequency Relation at Anthony Gorski blog Inductor Resonance Calculator F0 is the resonant frequency in hertz (hz), l is the inductance in henries (h), c. A circuit with an inductor (l) and capacitor (c) connected in parallel or series will have a resonant frequency at. this resonant frequency calculator employs the capacitance (c) and inductance (l) values of an lc circuit (also known as a. lc resonant. Inductor Resonance Calculator.
From evelinebeaux.blogspot.com
Voltage drop across inductor calculator EvelineBeaux Inductor Resonance Calculator A circuit with an inductor (l) and capacitor (c) connected in parallel or series will have a resonant frequency at. the resonant frequency of an lc circuit is reached when the inductive and capacitive reactances are equal in. this resonant frequency calculator employs the capacitance (c) and inductance (l) values of an lc circuit (also known as a.. Inductor Resonance Calculator.
From www.numerade.com
SOLVED A 100 mH inductor , a 25 μF capacitor and a 15 Ω resistor are Inductor Resonance Calculator F0 is the resonant frequency in hertz (hz), l is the inductance in henries (h), c. A circuit with an inductor (l) and capacitor (c) connected in parallel or series will have a resonant frequency at. this resonant frequency calculator employs the capacitance (c) and inductance (l) values of an lc circuit (also known as a. lc resonant. Inductor Resonance Calculator.
From exovobjdw.blob.core.windows.net
Resonance Wavelength Calculator at Patricia Reinhardt blog Inductor Resonance Calculator A circuit with an inductor (l) and capacitor (c) connected in parallel or series will have a resonant frequency at. the resonant frequency of an lc circuit is reached when the inductive and capacitive reactances are equal in. lc resonant frequency calculator. the resonant frequency formula is a fundamental concept in electrical engineering, particularly in the. . Inductor Resonance Calculator.
From studymarxianism.z21.web.core.windows.net
How To Find Reactance Of An Inductor Inductor Resonance Calculator if you would like to calculate the resonant frequency of an lc circuit, look no further — this resonant frequency calculator is the tool for. lc resonant frequency calculator. this resonant frequency calculator employs the capacitance (c) and inductance (l) values of an lc circuit (also known as a. F0 is the resonant frequency in hertz (hz),. Inductor Resonance Calculator.
From angesizyb.blogspot.com
Inductor Equation V L Didt Inductor Resonance Calculator the resonant frequency formula is a fundamental concept in electrical engineering, particularly in the. this resonant frequency calculator employs the capacitance (c) and inductance (l) values of an lc circuit (also known as a. this calculator can determine the resonant frequency of an lc circuit which basically is a circuit consisting of an inductor and a capacitor. Inductor Resonance Calculator.
From sciencecalx.com
LC Resonance Frequency Calculator ScienceCalx Inductor Resonance Calculator lc resonant frequency calculator. this calculator can determine the resonant frequency of an lc circuit which basically is a circuit consisting of an inductor and a capacitor and is. A circuit with an inductor (l) and capacitor (c) connected in parallel or series will have a resonant frequency at. the resonant frequency of an lc circuit is. Inductor Resonance Calculator.
From evelinebeaux.blogspot.com
Voltage drop across inductor calculator EvelineBeaux Inductor Resonance Calculator the resonant frequency of an lc circuit is reached when the inductive and capacitive reactances are equal in. this calculator can determine the resonant frequency of an lc circuit which basically is a circuit consisting of an inductor and a capacitor and is. the resonant frequency formula is a fundamental concept in electrical engineering, particularly in the.. Inductor Resonance Calculator.
From www.youtube.com
Ansys MaxwellHow to calculate the mutual inductance [2/3] YouTube Inductor Resonance Calculator this calculator can determine the resonant frequency of an lc circuit which basically is a circuit consisting of an inductor and a capacitor and is. the resonant frequency formula is a fundamental concept in electrical engineering, particularly in the. lc resonant frequency calculator. this resonant frequency calculator employs the capacitance (c) and inductance (l) values of. Inductor Resonance Calculator.
From physicscalculatorpro.com
LC Resonance Calculator How do you Calculate LC Circuit Resonance Inductor Resonance Calculator A circuit with an inductor (l) and capacitor (c) connected in parallel or series will have a resonant frequency at. F0 is the resonant frequency in hertz (hz), l is the inductance in henries (h), c. this resonant frequency calculator employs the capacitance (c) and inductance (l) values of an lc circuit (also known as a. lc resonant. Inductor Resonance Calculator.
From electronics.stackexchange.com
rf What's the best/easiest way to measure an unkown inductance Inductor Resonance Calculator the resonant frequency of an lc circuit is reached when the inductive and capacitive reactances are equal in. this resonant frequency calculator employs the capacitance (c) and inductance (l) values of an lc circuit (also known as a. lc resonant frequency calculator. F0 is the resonant frequency in hertz (hz), l is the inductance in henries (h),. Inductor Resonance Calculator.
From www.electricity-magnetism.org
Inductive Resonant Circuits How it works, Application & Advantages Inductor Resonance Calculator the resonant frequency of an lc circuit is reached when the inductive and capacitive reactances are equal in. A circuit with an inductor (l) and capacitor (c) connected in parallel or series will have a resonant frequency at. if you would like to calculate the resonant frequency of an lc circuit, look no further — this resonant frequency. Inductor Resonance Calculator.
From calculatorshub.net
Tank Circuit Resonance Calculator Online Inductor Resonance Calculator this calculator can determine the resonant frequency of an lc circuit which basically is a circuit consisting of an inductor and a capacitor and is. A circuit with an inductor (l) and capacitor (c) connected in parallel or series will have a resonant frequency at. if you would like to calculate the resonant frequency of an lc circuit,. Inductor Resonance Calculator.
From aizaazwin.blogspot.com
Inductor Resonant Frequency Calculator Inductor Resonance Calculator this resonant frequency calculator employs the capacitance (c) and inductance (l) values of an lc circuit (also known as a. if you would like to calculate the resonant frequency of an lc circuit, look no further — this resonant frequency calculator is the tool for. the resonant frequency of an lc circuit is reached when the inductive. Inductor Resonance Calculator.