Nth Derivative Of 1 F X . Nth derivative of f(x) natural language; Extended keyboard examples upload random. Find more mathematics widgets in. Apply the usual rules of differentiation to a function, then find each successive derivative to arrive at the nth. Click the 'go' button to instantly generate the derivative of the input function. Get the free nth derivative calculator widget for your website, blog, wordpress, blogger, or igoogle. The nth derivative (or derivative of order $ n $) of a function $ f $ consists of the application of the derivative iteratively $ n $ times on the.
from www.youtube.com
Click the 'go' button to instantly generate the derivative of the input function. Extended keyboard examples upload random. Nth derivative of f(x) natural language; Find more mathematics widgets in. The nth derivative (or derivative of order $ n $) of a function $ f $ consists of the application of the derivative iteratively $ n $ times on the. Apply the usual rules of differentiation to a function, then find each successive derivative to arrive at the nth. Get the free nth derivative calculator widget for your website, blog, wordpress, blogger, or igoogle.
F(x) = x^n. Find the nth derivative. Observe pattern that occurs by calculating a few
Nth Derivative Of 1 F X Nth derivative of f(x) natural language; Apply the usual rules of differentiation to a function, then find each successive derivative to arrive at the nth. Click the 'go' button to instantly generate the derivative of the input function. Find more mathematics widgets in. Get the free nth derivative calculator widget for your website, blog, wordpress, blogger, or igoogle. Extended keyboard examples upload random. Nth derivative of f(x) natural language; The nth derivative (or derivative of order $ n $) of a function $ f $ consists of the application of the derivative iteratively $ n $ times on the.
From www.youtube.com
How to Find a Formula for the nth Derivative of f(x) = e^(kx) YouTube Nth Derivative Of 1 F X Apply the usual rules of differentiation to a function, then find each successive derivative to arrive at the nth. Click the 'go' button to instantly generate the derivative of the input function. Nth derivative of f(x) natural language; Get the free nth derivative calculator widget for your website, blog, wordpress, blogger, or igoogle. Extended keyboard examples upload random. The nth. Nth Derivative Of 1 F X.
From www.youtube.com
Find a formula for the nth derivative of function f(x) = e^(2x). Series YouTube Nth Derivative Of 1 F X Find more mathematics widgets in. Nth derivative of f(x) natural language; Apply the usual rules of differentiation to a function, then find each successive derivative to arrive at the nth. Get the free nth derivative calculator widget for your website, blog, wordpress, blogger, or igoogle. The nth derivative (or derivative of order $ n $) of a function $ f. Nth Derivative Of 1 F X.
From www.youtube.com
Find a formula for the nth derivative of the function f(x) = x^n. Series YouTube Nth Derivative Of 1 F X Nth derivative of f(x) natural language; Apply the usual rules of differentiation to a function, then find each successive derivative to arrive at the nth. Get the free nth derivative calculator widget for your website, blog, wordpress, blogger, or igoogle. Extended keyboard examples upload random. The nth derivative (or derivative of order $ n $) of a function $ f. Nth Derivative Of 1 F X.
From www.numerade.com
SOLVEDFind the nth derivative of each function by calculating the first few derivatives and Nth Derivative Of 1 F X Get the free nth derivative calculator widget for your website, blog, wordpress, blogger, or igoogle. Click the 'go' button to instantly generate the derivative of the input function. Apply the usual rules of differentiation to a function, then find each successive derivative to arrive at the nth. The nth derivative (or derivative of order $ n $) of a function. Nth Derivative Of 1 F X.
From www.quora.com
What is the nth derivative of 1/x²+x+1? Quora Nth Derivative Of 1 F X Find more mathematics widgets in. Get the free nth derivative calculator widget for your website, blog, wordpress, blogger, or igoogle. Extended keyboard examples upload random. Nth derivative of f(x) natural language; Click the 'go' button to instantly generate the derivative of the input function. Apply the usual rules of differentiation to a function, then find each successive derivative to arrive. Nth Derivative Of 1 F X.
From www.youtube.com
Find a formula for the nth derivative of function f(x) = 1/(x1). Series YouTube Nth Derivative Of 1 F X Nth derivative of f(x) natural language; Click the 'go' button to instantly generate the derivative of the input function. Apply the usual rules of differentiation to a function, then find each successive derivative to arrive at the nth. Extended keyboard examples upload random. Get the free nth derivative calculator widget for your website, blog, wordpress, blogger, or igoogle. Find more. Nth Derivative Of 1 F X.
From www.bartleby.com
Answered Find the nth derivative of the function… bartleby Nth Derivative Of 1 F X Get the free nth derivative calculator widget for your website, blog, wordpress, blogger, or igoogle. Apply the usual rules of differentiation to a function, then find each successive derivative to arrive at the nth. Nth derivative of f(x) natural language; Click the 'go' button to instantly generate the derivative of the input function. Extended keyboard examples upload random. The nth. Nth Derivative Of 1 F X.
From www.teachoo.com
Example 15 Find derivative of f(x) = x + 1 / x Teachoo Nth Derivative Of 1 F X Get the free nth derivative calculator widget for your website, blog, wordpress, blogger, or igoogle. Extended keyboard examples upload random. Apply the usual rules of differentiation to a function, then find each successive derivative to arrive at the nth. Click the 'go' button to instantly generate the derivative of the input function. Nth derivative of f(x) natural language; The nth. Nth Derivative Of 1 F X.
From www.chegg.com
Solved Find the nth derivative of each function by Nth Derivative Of 1 F X Click the 'go' button to instantly generate the derivative of the input function. The nth derivative (or derivative of order $ n $) of a function $ f $ consists of the application of the derivative iteratively $ n $ times on the. Extended keyboard examples upload random. Apply the usual rules of differentiation to a function, then find each. Nth Derivative Of 1 F X.
From www.chegg.com
Solved Given the nth derivative of the function f(x) Nth Derivative Of 1 F X Apply the usual rules of differentiation to a function, then find each successive derivative to arrive at the nth. Get the free nth derivative calculator widget for your website, blog, wordpress, blogger, or igoogle. Extended keyboard examples upload random. Nth derivative of f(x) natural language; The nth derivative (or derivative of order $ n $) of a function $ f. Nth Derivative Of 1 F X.
From www.numerade.com
SOLVED Develop a general rule for the nth derivative of xf(x), where f is a differentiable Nth Derivative Of 1 F X Get the free nth derivative calculator widget for your website, blog, wordpress, blogger, or igoogle. The nth derivative (or derivative of order $ n $) of a function $ f $ consists of the application of the derivative iteratively $ n $ times on the. Nth derivative of f(x) natural language; Click the 'go' button to instantly generate the derivative. Nth Derivative Of 1 F X.
From www.chegg.com
Solved 61. Find nth derivative of the following/functions at Nth Derivative Of 1 F X Find more mathematics widgets in. Apply the usual rules of differentiation to a function, then find each successive derivative to arrive at the nth. The nth derivative (or derivative of order $ n $) of a function $ f $ consists of the application of the derivative iteratively $ n $ times on the. Get the free nth derivative calculator. Nth Derivative Of 1 F X.
From mathtraders.blogspot.com
Nth Derivative Of a^x Engg. Mathmatics Math Traders Nth Derivative Of 1 F X Nth derivative of f(x) natural language; The nth derivative (or derivative of order $ n $) of a function $ f $ consists of the application of the derivative iteratively $ n $ times on the. Get the free nth derivative calculator widget for your website, blog, wordpress, blogger, or igoogle. Apply the usual rules of differentiation to a function,. Nth Derivative Of 1 F X.
From www.scribd.com
Derivatives of Functions Finding the nth Derivative of f(x)=(x+1)/(x+1) and the First Nth Derivative Of 1 F X Get the free nth derivative calculator widget for your website, blog, wordpress, blogger, or igoogle. Extended keyboard examples upload random. Apply the usual rules of differentiation to a function, then find each successive derivative to arrive at the nth. Nth derivative of f(x) natural language; Click the 'go' button to instantly generate the derivative of the input function. The nth. Nth Derivative Of 1 F X.
From www.chegg.com
Solved 014 10.0 points Find the nthderivative, f(n) (x), of Nth Derivative Of 1 F X Apply the usual rules of differentiation to a function, then find each successive derivative to arrive at the nth. Find more mathematics widgets in. The nth derivative (or derivative of order $ n $) of a function $ f $ consists of the application of the derivative iteratively $ n $ times on the. Nth derivative of f(x) natural language;. Nth Derivative Of 1 F X.
From www.numerade.com
SOLVED Explain why the formula for finding the nth derivative of the function f(x) = b* is f"(x Nth Derivative Of 1 F X Extended keyboard examples upload random. The nth derivative (or derivative of order $ n $) of a function $ f $ consists of the application of the derivative iteratively $ n $ times on the. Get the free nth derivative calculator widget for your website, blog, wordpress, blogger, or igoogle. Click the 'go' button to instantly generate the derivative of. Nth Derivative Of 1 F X.
From www.teachoo.com
Example 12 Find derivative of f(x) = 1/x Class 11 Examples Nth Derivative Of 1 F X Get the free nth derivative calculator widget for your website, blog, wordpress, blogger, or igoogle. Find more mathematics widgets in. Apply the usual rules of differentiation to a function, then find each successive derivative to arrive at the nth. Nth derivative of f(x) natural language; The nth derivative (or derivative of order $ n $) of a function $ f. Nth Derivative Of 1 F X.
From www.youtube.com
Find the nth derivative by calculating the first few derivatives and observe the pattern. F(x Nth Derivative Of 1 F X Get the free nth derivative calculator widget for your website, blog, wordpress, blogger, or igoogle. Find more mathematics widgets in. Apply the usual rules of differentiation to a function, then find each successive derivative to arrive at the nth. Click the 'go' button to instantly generate the derivative of the input function. Nth derivative of f(x) natural language; Extended keyboard. Nth Derivative Of 1 F X.
From mathtraders.blogspot.com
Nth Derivative of x^1, X^n By successive differentiation method Math Traders Nth Derivative Of 1 F X Get the free nth derivative calculator widget for your website, blog, wordpress, blogger, or igoogle. Find more mathematics widgets in. Apply the usual rules of differentiation to a function, then find each successive derivative to arrive at the nth. The nth derivative (or derivative of order $ n $) of a function $ f $ consists of the application of. Nth Derivative Of 1 F X.
From www.chegg.com
Solved 1. For each function below find a formula for the nth Nth Derivative Of 1 F X Apply the usual rules of differentiation to a function, then find each successive derivative to arrive at the nth. Find more mathematics widgets in. The nth derivative (or derivative of order $ n $) of a function $ f $ consists of the application of the derivative iteratively $ n $ times on the. Extended keyboard examples upload random. Nth. Nth Derivative Of 1 F X.
From www.chegg.com
Solved 1. Find a formula for the nth derivative of f(x) = Nth Derivative Of 1 F X Get the free nth derivative calculator widget for your website, blog, wordpress, blogger, or igoogle. The nth derivative (or derivative of order $ n $) of a function $ f $ consists of the application of the derivative iteratively $ n $ times on the. Find more mathematics widgets in. Click the 'go' button to instantly generate the derivative of. Nth Derivative Of 1 F X.
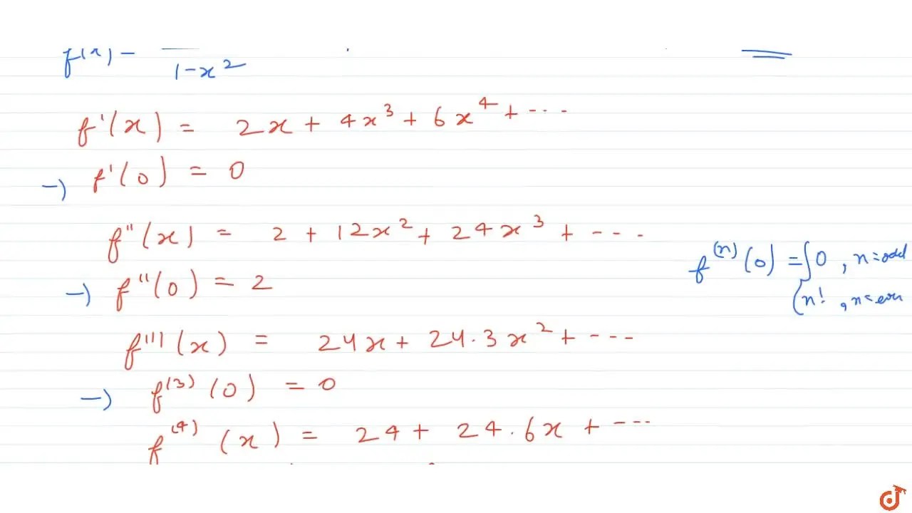
From www.doubtnut.com
The nth derivative of the function f(x)=1/(1x^2) [where in(1,1) at Nth Derivative Of 1 F X Nth derivative of f(x) natural language; Get the free nth derivative calculator widget for your website, blog, wordpress, blogger, or igoogle. Find more mathematics widgets in. Click the 'go' button to instantly generate the derivative of the input function. The nth derivative (or derivative of order $ n $) of a function $ f $ consists of the application of. Nth Derivative Of 1 F X.
From www.youtube.com
F(x) = x^n. Find the nth derivative. Observe pattern that occurs by calculating a few Nth Derivative Of 1 F X Apply the usual rules of differentiation to a function, then find each successive derivative to arrive at the nth. Find more mathematics widgets in. Extended keyboard examples upload random. The nth derivative (or derivative of order $ n $) of a function $ f $ consists of the application of the derivative iteratively $ n $ times on the. Click. Nth Derivative Of 1 F X.
From www.youtube.com
Formula for the nth Derivative of f(x) = 1/x YouTube Nth Derivative Of 1 F X Extended keyboard examples upload random. Apply the usual rules of differentiation to a function, then find each successive derivative to arrive at the nth. Get the free nth derivative calculator widget for your website, blog, wordpress, blogger, or igoogle. Nth derivative of f(x) natural language; Click the 'go' button to instantly generate the derivative of the input function. Find more. Nth Derivative Of 1 F X.
From www.physicsforums.com
Finding the nth derivative of f(x) = x/(x+1) Nth Derivative Of 1 F X Extended keyboard examples upload random. The nth derivative (or derivative of order $ n $) of a function $ f $ consists of the application of the derivative iteratively $ n $ times on the. Apply the usual rules of differentiation to a function, then find each successive derivative to arrive at the nth. Find more mathematics widgets in. Click. Nth Derivative Of 1 F X.
From www.doubtnut.com
The nth derivative of the function f(x)=1/(1x^2) [where in(1,1) at Nth Derivative Of 1 F X Extended keyboard examples upload random. Find more mathematics widgets in. Click the 'go' button to instantly generate the derivative of the input function. Nth derivative of f(x) natural language; Get the free nth derivative calculator widget for your website, blog, wordpress, blogger, or igoogle. Apply the usual rules of differentiation to a function, then find each successive derivative to arrive. Nth Derivative Of 1 F X.
From www.chegg.com
Solved Find the nthderivative of f when f() COM 3 ln(4.1 Nth Derivative Of 1 F X Nth derivative of f(x) natural language; The nth derivative (or derivative of order $ n $) of a function $ f $ consists of the application of the derivative iteratively $ n $ times on the. Find more mathematics widgets in. Click the 'go' button to instantly generate the derivative of the input function. Extended keyboard examples upload random. Apply. Nth Derivative Of 1 F X.
From www.youtube.com
Find a formula for the nth derivative of function f(x) = ln x. Series YouTube Nth Derivative Of 1 F X Apply the usual rules of differentiation to a function, then find each successive derivative to arrive at the nth. Find more mathematics widgets in. Extended keyboard examples upload random. Click the 'go' button to instantly generate the derivative of the input function. Nth derivative of f(x) natural language; Get the free nth derivative calculator widget for your website, blog, wordpress,. Nth Derivative Of 1 F X.
From www.storyofmathematics.com
Nth Derivative Calculator + Online Solver with Free Steps Nth Derivative Of 1 F X Get the free nth derivative calculator widget for your website, blog, wordpress, blogger, or igoogle. Extended keyboard examples upload random. Click the 'go' button to instantly generate the derivative of the input function. The nth derivative (or derivative of order $ n $) of a function $ f $ consists of the application of the derivative iteratively $ n $. Nth Derivative Of 1 F X.
From www.chegg.com
Find a formula for the nth derivative* of each Nth Derivative Of 1 F X Find more mathematics widgets in. Extended keyboard examples upload random. Get the free nth derivative calculator widget for your website, blog, wordpress, blogger, or igoogle. Click the 'go' button to instantly generate the derivative of the input function. Nth derivative of f(x) natural language; Apply the usual rules of differentiation to a function, then find each successive derivative to arrive. Nth Derivative Of 1 F X.
From slideplayer.com
4. THE DERIVATIVE (NPD). ppt download Nth Derivative Of 1 F X Apply the usual rules of differentiation to a function, then find each successive derivative to arrive at the nth. The nth derivative (or derivative of order $ n $) of a function $ f $ consists of the application of the derivative iteratively $ n $ times on the. Find more mathematics widgets in. Click the 'go' button to instantly. Nth Derivative Of 1 F X.
From www.youtube.com
nth Derivative Finding Higher Order Derivatives (nth Derivative) Using chain rule Calculus Nth Derivative Of 1 F X Apply the usual rules of differentiation to a function, then find each successive derivative to arrive at the nth. The nth derivative (or derivative of order $ n $) of a function $ f $ consists of the application of the derivative iteratively $ n $ times on the. Click the 'go' button to instantly generate the derivative of the. Nth Derivative Of 1 F X.
From study.com
Using f^{(n)}(x) to Denote the nth Derivative of y=f(x) Calculus Nth Derivative Of 1 F X Find more mathematics widgets in. The nth derivative (or derivative of order $ n $) of a function $ f $ consists of the application of the derivative iteratively $ n $ times on the. Apply the usual rules of differentiation to a function, then find each successive derivative to arrive at the nth. Nth derivative of f(x) natural language;. Nth Derivative Of 1 F X.
From www.numerade.com
SOLVED the first three derivatives of f and then state the formula for the nth Nth Derivative Of 1 F X Apply the usual rules of differentiation to a function, then find each successive derivative to arrive at the nth. The nth derivative (or derivative of order $ n $) of a function $ f $ consists of the application of the derivative iteratively $ n $ times on the. Find more mathematics widgets in. Get the free nth derivative calculator. Nth Derivative Of 1 F X.
From www.youtube.com
Calc I Higher Derivatives and Formula for nth Derivative YouTube Nth Derivative Of 1 F X Get the free nth derivative calculator widget for your website, blog, wordpress, blogger, or igoogle. Click the 'go' button to instantly generate the derivative of the input function. Extended keyboard examples upload random. Nth derivative of f(x) natural language; The nth derivative (or derivative of order $ n $) of a function $ f $ consists of the application of. Nth Derivative Of 1 F X.