Rubber Ball Effect . Rubber affects the bounce of a ball due to its elastic properties. The purpose of this experiment is to see whether rubber balls will bounce differently when heated or cooled versus at room temperature. Free rubber ball sound effects. How does rubber affect the bounce of a ball? Rubber, bouncing, ball sound effect. A golf ball that spins faster will travel further. When a ball made of rubber hits a surface, the rubber. The largest free creator community. The bouncing effect is created by the ball’s construction, which typically involves a rubber or plastic outer layer that is stretched. The ball spins faster when it bounces off the superball slice since the tangential coefficient of restitution is much larger. Almost everybody, at some point in their lives, has bounced a rubber ball against the wall or floor and observed its motion. Click on photo to see a.
from pngtree.com
A golf ball that spins faster will travel further. Almost everybody, at some point in their lives, has bounced a rubber ball against the wall or floor and observed its motion. The ball spins faster when it bounces off the superball slice since the tangential coefficient of restitution is much larger. Free rubber ball sound effects. The largest free creator community. How does rubber affect the bounce of a ball? Click on photo to see a. When a ball made of rubber hits a surface, the rubber. The bouncing effect is created by the ball’s construction, which typically involves a rubber or plastic outer layer that is stretched. The purpose of this experiment is to see whether rubber balls will bounce differently when heated or cooled versus at room temperature.
Ball Weights With Rubber Balls On The Floor Background, 3d Fitness Ball
Rubber Ball Effect The bouncing effect is created by the ball’s construction, which typically involves a rubber or plastic outer layer that is stretched. How does rubber affect the bounce of a ball? Click on photo to see a. A golf ball that spins faster will travel further. The purpose of this experiment is to see whether rubber balls will bounce differently when heated or cooled versus at room temperature. When a ball made of rubber hits a surface, the rubber. The largest free creator community. Rubber, bouncing, ball sound effect. Free rubber ball sound effects. Rubber affects the bounce of a ball due to its elastic properties. The ball spins faster when it bounces off the superball slice since the tangential coefficient of restitution is much larger. The bouncing effect is created by the ball’s construction, which typically involves a rubber or plastic outer layer that is stretched. Almost everybody, at some point in their lives, has bounced a rubber ball against the wall or floor and observed its motion.
From byjus.com
A rubber ball is dropped from a height of 5 m on a plane, where the Rubber Ball Effect The bouncing effect is created by the ball’s construction, which typically involves a rubber or plastic outer layer that is stretched. Free rubber ball sound effects. Rubber affects the bounce of a ball due to its elastic properties. When a ball made of rubber hits a surface, the rubber. The largest free creator community. The ball spins faster when it. Rubber Ball Effect.
From www.artpal.com
Colorful Rubber Balls Wowza! Photography, Childrens Art, Toys ArtPal Rubber Ball Effect Rubber affects the bounce of a ball due to its elastic properties. Free rubber ball sound effects. The largest free creator community. When a ball made of rubber hits a surface, the rubber. The bouncing effect is created by the ball’s construction, which typically involves a rubber or plastic outer layer that is stretched. The ball spins faster when it. Rubber Ball Effect.
From pngtree.com
Close Up 3d Rendering Of Vibrant Rubber Ball Collection Background Rubber Ball Effect The purpose of this experiment is to see whether rubber balls will bounce differently when heated or cooled versus at room temperature. The ball spins faster when it bounces off the superball slice since the tangential coefficient of restitution is much larger. The largest free creator community. Free rubber ball sound effects. When a ball made of rubber hits a. Rubber Ball Effect.
From www.aliexpress.com
Redsiliconerubberballvibratingscreenelasticballrubberballfeed Rubber Ball Effect The bouncing effect is created by the ball’s construction, which typically involves a rubber or plastic outer layer that is stretched. Almost everybody, at some point in their lives, has bounced a rubber ball against the wall or floor and observed its motion. Click on photo to see a. The purpose of this experiment is to see whether rubber balls. Rubber Ball Effect.
From www.northernsoftplay.com
Rubber Coated Foam Ball set Northern Softplay Rubber Ball Effect Click on photo to see a. The largest free creator community. The ball spins faster when it bounces off the superball slice since the tangential coefficient of restitution is much larger. Free rubber ball sound effects. How does rubber affect the bounce of a ball? A golf ball that spins faster will travel further. When a ball made of rubber. Rubber Ball Effect.
From www.chegg.com
Solved Problem \1 (15 points) A hard rubber ball, not Rubber Ball Effect How does rubber affect the bounce of a ball? The bouncing effect is created by the ball’s construction, which typically involves a rubber or plastic outer layer that is stretched. Almost everybody, at some point in their lives, has bounced a rubber ball against the wall or floor and observed its motion. When a ball made of rubber hits a. Rubber Ball Effect.
From www.indiamart.com
Colorful Rubber Ball at Rs 45/piece Sports Rubber Ball in New Delhi Rubber Ball Effect When a ball made of rubber hits a surface, the rubber. Free rubber ball sound effects. Click on photo to see a. The ball spins faster when it bounces off the superball slice since the tangential coefficient of restitution is much larger. The largest free creator community. The bouncing effect is created by the ball’s construction, which typically involves a. Rubber Ball Effect.
From www.istockphoto.com
Royalty Free Rubber Ball Pictures, Images and Stock Photos iStock Rubber Ball Effect Almost everybody, at some point in their lives, has bounced a rubber ball against the wall or floor and observed its motion. The largest free creator community. When a ball made of rubber hits a surface, the rubber. A golf ball that spins faster will travel further. How does rubber affect the bounce of a ball? The purpose of this. Rubber Ball Effect.
From www.alamy.com
Rubber ball with facelike markings Stock Photo Alamy Rubber Ball Effect Almost everybody, at some point in their lives, has bounced a rubber ball against the wall or floor and observed its motion. The purpose of this experiment is to see whether rubber balls will bounce differently when heated or cooled versus at room temperature. Click on photo to see a. The bouncing effect is created by the ball’s construction, which. Rubber Ball Effect.
From www.instructables.com
Rubber Band Ball Tips and Tricks 5 Steps (with Pictures) Instructables Rubber Ball Effect A golf ball that spins faster will travel further. Rubber, bouncing, ball sound effect. When a ball made of rubber hits a surface, the rubber. Almost everybody, at some point in their lives, has bounced a rubber ball against the wall or floor and observed its motion. The ball spins faster when it bounces off the superball slice since the. Rubber Ball Effect.
From scienceline.ucsb.edu
UCSB Science Line Rubber Ball Effect The purpose of this experiment is to see whether rubber balls will bounce differently when heated or cooled versus at room temperature. Free rubber ball sound effects. A golf ball that spins faster will travel further. The bouncing effect is created by the ball’s construction, which typically involves a rubber or plastic outer layer that is stretched. Rubber affects the. Rubber Ball Effect.
From www.youtube.com
Rubber Ball Triggers ASMR Chewing Gum YouTube Rubber Ball Effect Rubber, bouncing, ball sound effect. Free rubber ball sound effects. Click on photo to see a. The largest free creator community. A golf ball that spins faster will travel further. Almost everybody, at some point in their lives, has bounced a rubber ball against the wall or floor and observed its motion. When a ball made of rubber hits a. Rubber Ball Effect.
From www.alamy.com
abstract background of rubber balls with hard lighting on one side. 3d Rubber Ball Effect How does rubber affect the bounce of a ball? When a ball made of rubber hits a surface, the rubber. Click on photo to see a. The purpose of this experiment is to see whether rubber balls will bounce differently when heated or cooled versus at room temperature. The bouncing effect is created by the ball’s construction, which typically involves. Rubber Ball Effect.
From www.blinkyman.de
LED Rubber Ball Bouncing 60mm with colorful flashing flummi on im Rubber Ball Effect The purpose of this experiment is to see whether rubber balls will bounce differently when heated or cooled versus at room temperature. How does rubber affect the bounce of a ball? Free rubber ball sound effects. When a ball made of rubber hits a surface, the rubber. Rubber, bouncing, ball sound effect. The ball spins faster when it bounces off. Rubber Ball Effect.
From www.pinterest.co.uk
Using the rubber balls with spikes to wrap tiny loom bands around for Rubber Ball Effect The largest free creator community. The purpose of this experiment is to see whether rubber balls will bounce differently when heated or cooled versus at room temperature. The ball spins faster when it bounces off the superball slice since the tangential coefficient of restitution is much larger. How does rubber affect the bounce of a ball? A golf ball that. Rubber Ball Effect.
From www.youtube.com
ASMR 🏀💫🌈 MOST TRENDING COLORFUL SMALL RUBBER BALL 🥎⚽🏐🔴⚪🟣🔵 YouTube Rubber Ball Effect When a ball made of rubber hits a surface, the rubber. The largest free creator community. Rubber, bouncing, ball sound effect. How does rubber affect the bounce of a ball? The purpose of this experiment is to see whether rubber balls will bounce differently when heated or cooled versus at room temperature. Click on photo to see a. The bouncing. Rubber Ball Effect.
From www.alibaba.com
Custom Colorful Soft Hollow Silicone Rubber Ball With Hole Buy High Rubber Ball Effect Rubber affects the bounce of a ball due to its elastic properties. Free rubber ball sound effects. The purpose of this experiment is to see whether rubber balls will bounce differently when heated or cooled versus at room temperature. When a ball made of rubber hits a surface, the rubber. The ball spins faster when it bounces off the superball. Rubber Ball Effect.
From www.artstation.com
ArtStation 3D Rubber Ball, Bowling Ball and Balloon Animation Rubber Ball Effect Free rubber ball sound effects. The bouncing effect is created by the ball’s construction, which typically involves a rubber or plastic outer layer that is stretched. Almost everybody, at some point in their lives, has bounced a rubber ball against the wall or floor and observed its motion. When a ball made of rubber hits a surface, the rubber. Rubber. Rubber Ball Effect.
From pngtree.com
Ball Weights With Rubber Balls On The Floor Background, 3d Fitness Ball Rubber Ball Effect The purpose of this experiment is to see whether rubber balls will bounce differently when heated or cooled versus at room temperature. The ball spins faster when it bounces off the superball slice since the tangential coefficient of restitution is much larger. Almost everybody, at some point in their lives, has bounced a rubber ball against the wall or floor. Rubber Ball Effect.
From www.freeimages.com
Colorful rubber balls Free Photo Download FreeImages Rubber Ball Effect Rubber, bouncing, ball sound effect. Rubber affects the bounce of a ball due to its elastic properties. Almost everybody, at some point in their lives, has bounced a rubber ball against the wall or floor and observed its motion. The ball spins faster when it bounces off the superball slice since the tangential coefficient of restitution is much larger. The. Rubber Ball Effect.
From photoshopchronicle.com
How To Easily Make Crystal Ball Effect in Glass Ball Effect Rubber Ball Effect The purpose of this experiment is to see whether rubber balls will bounce differently when heated or cooled versus at room temperature. The ball spins faster when it bounces off the superball slice since the tangential coefficient of restitution is much larger. Rubber affects the bounce of a ball due to its elastic properties. The largest free creator community. How. Rubber Ball Effect.
From www.numerade.com
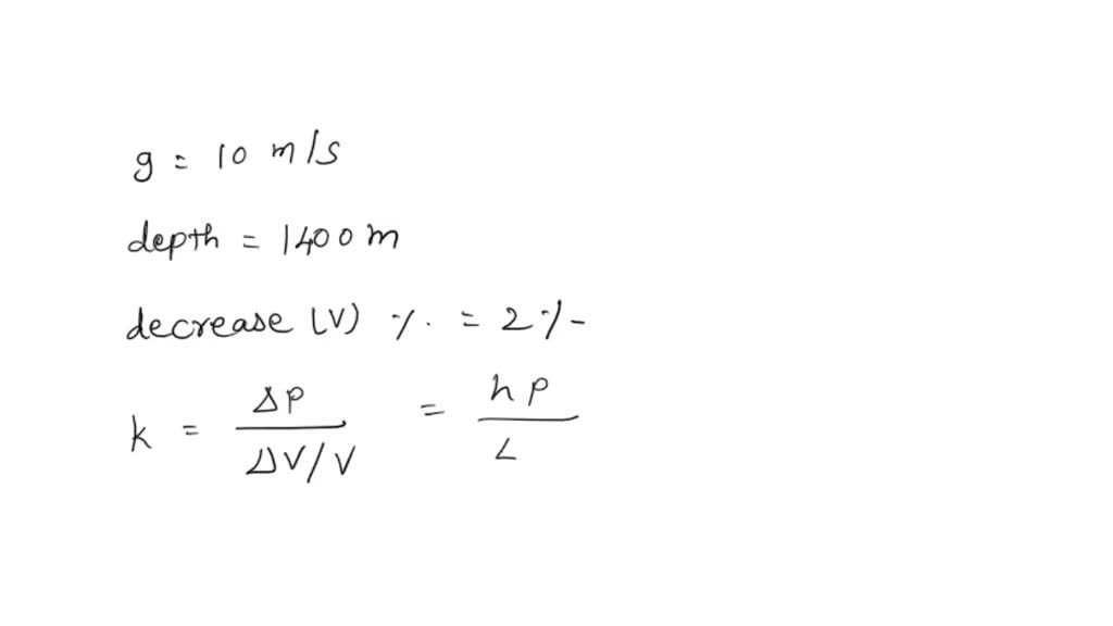
SOLVED 'when a rubber ball is taken to the bottom of a Sea of depth Rubber Ball Effect Rubber, bouncing, ball sound effect. The largest free creator community. Rubber affects the bounce of a ball due to its elastic properties. How does rubber affect the bounce of a ball? A golf ball that spins faster will travel further. Click on photo to see a. When a ball made of rubber hits a surface, the rubber. The ball spins. Rubber Ball Effect.
From gofairubber.en.made-in-china.com
Custom Polyurethane Urethane Solid Rubber Balls Rubber Ball and Rubber Ball Effect When a ball made of rubber hits a surface, the rubber. The bouncing effect is created by the ball’s construction, which typically involves a rubber or plastic outer layer that is stretched. Click on photo to see a. Almost everybody, at some point in their lives, has bounced a rubber ball against the wall or floor and observed its motion.. Rubber Ball Effect.
From www.jesilicone.com
Silicone Rubber Ball Customized Food Grade Silicone Solid Balls Rubber Ball Effect A golf ball that spins faster will travel further. When a ball made of rubber hits a surface, the rubber. The bouncing effect is created by the ball’s construction, which typically involves a rubber or plastic outer layer that is stretched. Rubber affects the bounce of a ball due to its elastic properties. Rubber, bouncing, ball sound effect. The purpose. Rubber Ball Effect.
From www.sportsorion.com
Squash training ballslow speed rubber balls 12pcs/lot SPORTSORION Rubber Ball Effect Rubber affects the bounce of a ball due to its elastic properties. Click on photo to see a. A golf ball that spins faster will travel further. The largest free creator community. Free rubber ball sound effects. How does rubber affect the bounce of a ball? The bouncing effect is created by the ball’s construction, which typically involves a rubber. Rubber Ball Effect.
From www.walmart.com
S&S Worldwide Spectrum Rubber Soccer Ball, Size 5PURPLE, Each ball is Rubber Ball Effect A golf ball that spins faster will travel further. How does rubber affect the bounce of a ball? Almost everybody, at some point in their lives, has bounced a rubber ball against the wall or floor and observed its motion. Free rubber ball sound effects. The bouncing effect is created by the ball’s construction, which typically involves a rubber or. Rubber Ball Effect.
From www.alamy.com
Colorful plastic rubber ball Stock Photo Alamy Rubber Ball Effect Free rubber ball sound effects. The purpose of this experiment is to see whether rubber balls will bounce differently when heated or cooled versus at room temperature. The bouncing effect is created by the ball’s construction, which typically involves a rubber or plastic outer layer that is stretched. The ball spins faster when it bounces off the superball slice since. Rubber Ball Effect.
From www.dreamstime.com
Colourful toy rubber ball stock photo. Image of striped 19796002 Rubber Ball Effect Click on photo to see a. The bouncing effect is created by the ball’s construction, which typically involves a rubber or plastic outer layer that is stretched. Almost everybody, at some point in their lives, has bounced a rubber ball against the wall or floor and observed its motion. A golf ball that spins faster will travel further. Free rubber. Rubber Ball Effect.
From www.gettyimages.dk
Stretched Rubber Ball Photos and Premium High Res Pictures Getty Images Rubber Ball Effect The ball spins faster when it bounces off the superball slice since the tangential coefficient of restitution is much larger. Rubber affects the bounce of a ball due to its elastic properties. Free rubber ball sound effects. Click on photo to see a. A golf ball that spins faster will travel further. The bouncing effect is created by the ball’s. Rubber Ball Effect.
From www.orksealing.com
Rubber Ball, Rubber Ball Price Manufacturer Ork Rubber Ball Effect The purpose of this experiment is to see whether rubber balls will bounce differently when heated or cooled versus at room temperature. Free rubber ball sound effects. A golf ball that spins faster will travel further. Rubber, bouncing, ball sound effect. The bouncing effect is created by the ball’s construction, which typically involves a rubber or plastic outer layer that. Rubber Ball Effect.
From www.vecteezy.com
Rubber Ball Concepts 4672366 Vector Art at Vecteezy Rubber Ball Effect A golf ball that spins faster will travel further. The bouncing effect is created by the ball’s construction, which typically involves a rubber or plastic outer layer that is stretched. The purpose of this experiment is to see whether rubber balls will bounce differently when heated or cooled versus at room temperature. The largest free creator community. Click on photo. Rubber Ball Effect.
From www.youtube.com
YouTube Rubber Ball Effect The largest free creator community. Rubber, bouncing, ball sound effect. Click on photo to see a. When a ball made of rubber hits a surface, the rubber. A golf ball that spins faster will travel further. How does rubber affect the bounce of a ball? Almost everybody, at some point in their lives, has bounced a rubber ball against the. Rubber Ball Effect.
From www.youtube.com
How It's Made Rubber Balls YouTube Rubber Ball Effect When a ball made of rubber hits a surface, the rubber. The purpose of this experiment is to see whether rubber balls will bounce differently when heated or cooled versus at room temperature. Rubber, bouncing, ball sound effect. How does rubber affect the bounce of a ball? A golf ball that spins faster will travel further. The ball spins faster. Rubber Ball Effect.
From www.indiamart.com
Silicone Rubber Ball at Rs 50/piece Silicone Rubber Ball in Howrah Rubber Ball Effect The largest free creator community. The purpose of this experiment is to see whether rubber balls will bounce differently when heated or cooled versus at room temperature. Almost everybody, at some point in their lives, has bounced a rubber ball against the wall or floor and observed its motion. How does rubber affect the bounce of a ball? The ball. Rubber Ball Effect.
From hagoin.en.made-in-china.com
China Molded Solid Rubber Ball for Pet China Solid Rubber Ball Rubber Ball Effect Rubber affects the bounce of a ball due to its elastic properties. Rubber, bouncing, ball sound effect. When a ball made of rubber hits a surface, the rubber. A golf ball that spins faster will travel further. Free rubber ball sound effects. The bouncing effect is created by the ball’s construction, which typically involves a rubber or plastic outer layer. Rubber Ball Effect.