Orthogonal Complement Of A Matrix Calculator . This calculator will help you to find the orthogonal complement spanned by a set of vectors. Then, since any element in the orthogonal complement must be orthogonal to. Learn to compute the orthogonal complement of a subspace. When you transpose a matrix, the rows become columns. Take $(a,b,c)$ in the orthogonal complement. Have a question about using wolfram|alpha? An orthogonal complement of a subspace is the set of all. In the given input boxes, you have to put the value of. Shortcuts for computing the orthogonal complements of common subspaces. This calculator computes the orthogonal complement of a given matrix. From these boxed equations alone, we can solve any problem that. The linear algebra calculator is an online tool that provides a comprehensive set of calculators designed to help users with a variety of linear.
from www.youtube.com
Shortcuts for computing the orthogonal complements of common subspaces. Then, since any element in the orthogonal complement must be orthogonal to. This calculator computes the orthogonal complement of a given matrix. In the given input boxes, you have to put the value of. Have a question about using wolfram|alpha? Take $(a,b,c)$ in the orthogonal complement. Learn to compute the orthogonal complement of a subspace. From these boxed equations alone, we can solve any problem that. This calculator will help you to find the orthogonal complement spanned by a set of vectors. An orthogonal complement of a subspace is the set of all.
Orthogonal Complements YouTube
Orthogonal Complement Of A Matrix Calculator The linear algebra calculator is an online tool that provides a comprehensive set of calculators designed to help users with a variety of linear. Take $(a,b,c)$ in the orthogonal complement. In the given input boxes, you have to put the value of. This calculator will help you to find the orthogonal complement spanned by a set of vectors. This calculator computes the orthogonal complement of a given matrix. Learn to compute the orthogonal complement of a subspace. When you transpose a matrix, the rows become columns. The linear algebra calculator is an online tool that provides a comprehensive set of calculators designed to help users with a variety of linear. Have a question about using wolfram|alpha? An orthogonal complement of a subspace is the set of all. Shortcuts for computing the orthogonal complements of common subspaces. Then, since any element in the orthogonal complement must be orthogonal to. From these boxed equations alone, we can solve any problem that.
From www.chegg.com
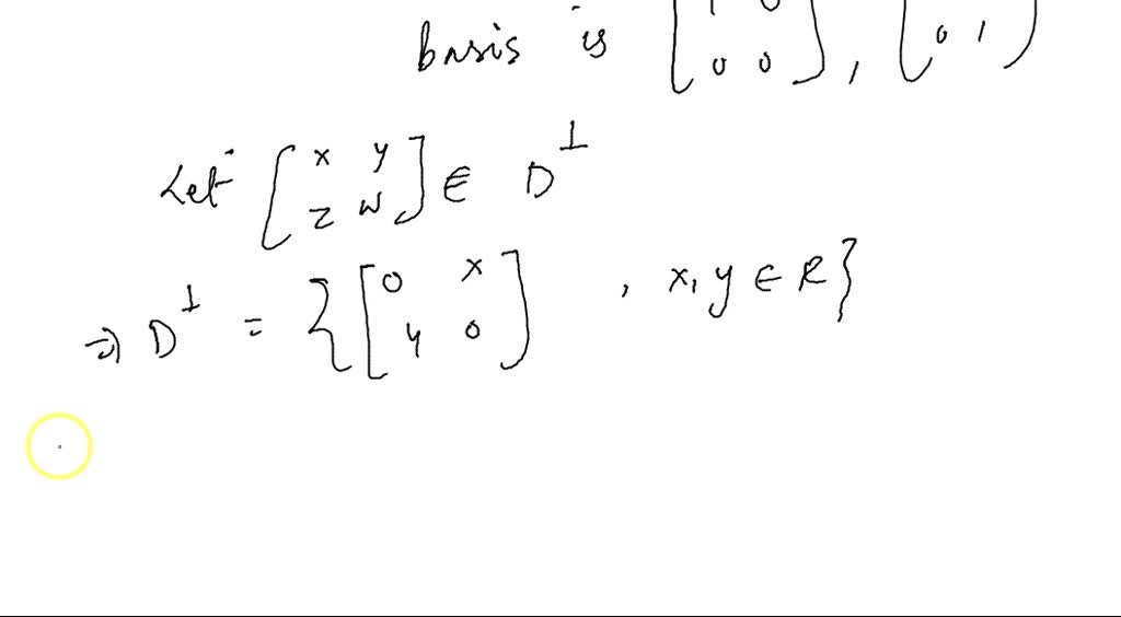
Solved Give a basis for the orthogonal complements of each Orthogonal Complement Of A Matrix Calculator Take $(a,b,c)$ in the orthogonal complement. An orthogonal complement of a subspace is the set of all. Have a question about using wolfram|alpha? Learn to compute the orthogonal complement of a subspace. In the given input boxes, you have to put the value of. When you transpose a matrix, the rows become columns. This calculator computes the orthogonal complement of. Orthogonal Complement Of A Matrix Calculator.
From slideplayer.com
Orthogonal Projection ppt download Orthogonal Complement Of A Matrix Calculator From these boxed equations alone, we can solve any problem that. This calculator will help you to find the orthogonal complement spanned by a set of vectors. When you transpose a matrix, the rows become columns. Then, since any element in the orthogonal complement must be orthogonal to. Take $(a,b,c)$ in the orthogonal complement. Have a question about using wolfram|alpha?. Orthogonal Complement Of A Matrix Calculator.
From www.numerade.com
SOLVED Consider the matrix Find a basis of the orthogonal complement Orthogonal Complement Of A Matrix Calculator In the given input boxes, you have to put the value of. Take $(a,b,c)$ in the orthogonal complement. The linear algebra calculator is an online tool that provides a comprehensive set of calculators designed to help users with a variety of linear. Shortcuts for computing the orthogonal complements of common subspaces. Have a question about using wolfram|alpha? From these boxed. Orthogonal Complement Of A Matrix Calculator.
From www.youtube.com
Orthogonal Complements How to Find a Basis for "W Perp" [Passing Orthogonal Complement Of A Matrix Calculator Then, since any element in the orthogonal complement must be orthogonal to. Have a question about using wolfram|alpha? When you transpose a matrix, the rows become columns. From these boxed equations alone, we can solve any problem that. This calculator computes the orthogonal complement of a given matrix. In the given input boxes, you have to put the value of.. Orthogonal Complement Of A Matrix Calculator.
From www.youtube.com
Properties of Orthogonal Matrix Example1 YouTube Orthogonal Complement Of A Matrix Calculator The linear algebra calculator is an online tool that provides a comprehensive set of calculators designed to help users with a variety of linear. Take $(a,b,c)$ in the orthogonal complement. Then, since any element in the orthogonal complement must be orthogonal to. Learn to compute the orthogonal complement of a subspace. An orthogonal complement of a subspace is the set. Orthogonal Complement Of A Matrix Calculator.
From www.youtube.com
Orthogonal Matrix Definition Example Properties Class 12 Maths YouTube Orthogonal Complement Of A Matrix Calculator Then, since any element in the orthogonal complement must be orthogonal to. An orthogonal complement of a subspace is the set of all. When you transpose a matrix, the rows become columns. Have a question about using wolfram|alpha? This calculator will help you to find the orthogonal complement spanned by a set of vectors. Shortcuts for computing the orthogonal complements. Orthogonal Complement Of A Matrix Calculator.
From www.chegg.com
Solved HW6.6. Finding a basis of the orthogonal complement Orthogonal Complement Of A Matrix Calculator This calculator computes the orthogonal complement of a given matrix. From these boxed equations alone, we can solve any problem that. Shortcuts for computing the orthogonal complements of common subspaces. Take $(a,b,c)$ in the orthogonal complement. Have a question about using wolfram|alpha? Then, since any element in the orthogonal complement must be orthogonal to. The linear algebra calculator is an. Orthogonal Complement Of A Matrix Calculator.
From www.youtube.com
Orthogonal Matrix example YouTube Orthogonal Complement Of A Matrix Calculator Have a question about using wolfram|alpha? When you transpose a matrix, the rows become columns. Learn to compute the orthogonal complement of a subspace. Shortcuts for computing the orthogonal complements of common subspaces. An orthogonal complement of a subspace is the set of all. Take $(a,b,c)$ in the orthogonal complement. The linear algebra calculator is an online tool that provides. Orthogonal Complement Of A Matrix Calculator.
From www.chegg.com
Solved 6.M.2 Finding orthogonal complements. a) Find a basis Orthogonal Complement Of A Matrix Calculator Learn to compute the orthogonal complement of a subspace. In the given input boxes, you have to put the value of. This calculator computes the orthogonal complement of a given matrix. Shortcuts for computing the orthogonal complements of common subspaces. An orthogonal complement of a subspace is the set of all. This calculator will help you to find the orthogonal. Orthogonal Complement Of A Matrix Calculator.
From www.youtube.com
Orthogonal Complements YouTube Orthogonal Complement Of A Matrix Calculator Take $(a,b,c)$ in the orthogonal complement. Then, since any element in the orthogonal complement must be orthogonal to. Shortcuts for computing the orthogonal complements of common subspaces. The linear algebra calculator is an online tool that provides a comprehensive set of calculators designed to help users with a variety of linear. Learn to compute the orthogonal complement of a subspace.. Orthogonal Complement Of A Matrix Calculator.
From www.youtube.com
Orthogonal Complements YouTube Orthogonal Complement Of A Matrix Calculator This calculator will help you to find the orthogonal complement spanned by a set of vectors. An orthogonal complement of a subspace is the set of all. In the given input boxes, you have to put the value of. From these boxed equations alone, we can solve any problem that. This calculator computes the orthogonal complement of a given matrix.. Orthogonal Complement Of A Matrix Calculator.
From dxozgxtzg.blob.core.windows.net
Matrices Orthogonal Matrix Formula at Larry Topping blog Orthogonal Complement Of A Matrix Calculator The linear algebra calculator is an online tool that provides a comprehensive set of calculators designed to help users with a variety of linear. Shortcuts for computing the orthogonal complements of common subspaces. Take $(a,b,c)$ in the orthogonal complement. An orthogonal complement of a subspace is the set of all. From these boxed equations alone, we can solve any problem. Orthogonal Complement Of A Matrix Calculator.
From www.numerade.com
SOLVED An input image U is subjected to 2D transformation using a 2x2 Orthogonal Complement Of A Matrix Calculator This calculator will help you to find the orthogonal complement spanned by a set of vectors. An orthogonal complement of a subspace is the set of all. From these boxed equations alone, we can solve any problem that. Learn to compute the orthogonal complement of a subspace. Take $(a,b,c)$ in the orthogonal complement. The linear algebra calculator is an online. Orthogonal Complement Of A Matrix Calculator.
From www.coursehero.com
[Solved] Orthogonal Complement Basis . Let w = (1, 2, 3, 1) be a Orthogonal Complement Of A Matrix Calculator Shortcuts for computing the orthogonal complements of common subspaces. The linear algebra calculator is an online tool that provides a comprehensive set of calculators designed to help users with a variety of linear. From these boxed equations alone, we can solve any problem that. Take $(a,b,c)$ in the orthogonal complement. This calculator computes the orthogonal complement of a given matrix.. Orthogonal Complement Of A Matrix Calculator.
From www.chegg.com
Solved Find the projection matrix of the orthogonal Orthogonal Complement Of A Matrix Calculator From these boxed equations alone, we can solve any problem that. In the given input boxes, you have to put the value of. Learn to compute the orthogonal complement of a subspace. When you transpose a matrix, the rows become columns. This calculator will help you to find the orthogonal complement spanned by a set of vectors. The linear algebra. Orthogonal Complement Of A Matrix Calculator.
From www.youtube.com
Orthogonal Complements YouTube Orthogonal Complement Of A Matrix Calculator In the given input boxes, you have to put the value of. Shortcuts for computing the orthogonal complements of common subspaces. This calculator will help you to find the orthogonal complement spanned by a set of vectors. When you transpose a matrix, the rows become columns. The linear algebra calculator is an online tool that provides a comprehensive set of. Orthogonal Complement Of A Matrix Calculator.
From limfadreams.weebly.com
Orthogonal matrix limfadreams Orthogonal Complement Of A Matrix Calculator Have a question about using wolfram|alpha? From these boxed equations alone, we can solve any problem that. This calculator computes the orthogonal complement of a given matrix. When you transpose a matrix, the rows become columns. Learn to compute the orthogonal complement of a subspace. Then, since any element in the orthogonal complement must be orthogonal to. Shortcuts for computing. Orthogonal Complement Of A Matrix Calculator.
From www.storyofmathematics.com
Orthogonal Complement Definition, Properties, and Examples Orthogonal Complement Of A Matrix Calculator This calculator computes the orthogonal complement of a given matrix. From these boxed equations alone, we can solve any problem that. Then, since any element in the orthogonal complement must be orthogonal to. Have a question about using wolfram|alpha? Shortcuts for computing the orthogonal complements of common subspaces. Learn to compute the orthogonal complement of a subspace. When you transpose. Orthogonal Complement Of A Matrix Calculator.
From www.coursehero.com
[Solved] Orthogonal Complement Basis . Let w = (1, 2, 3, 1) be a Orthogonal Complement Of A Matrix Calculator Learn to compute the orthogonal complement of a subspace. Have a question about using wolfram|alpha? Then, since any element in the orthogonal complement must be orthogonal to. From these boxed equations alone, we can solve any problem that. This calculator computes the orthogonal complement of a given matrix. Take $(a,b,c)$ in the orthogonal complement. In the given input boxes, you. Orthogonal Complement Of A Matrix Calculator.
From www.youtube.com
【Orthogonality】06 Orthogonal matrix YouTube Orthogonal Complement Of A Matrix Calculator Shortcuts for computing the orthogonal complements of common subspaces. Take $(a,b,c)$ in the orthogonal complement. This calculator will help you to find the orthogonal complement spanned by a set of vectors. An orthogonal complement of a subspace is the set of all. Then, since any element in the orthogonal complement must be orthogonal to. When you transpose a matrix, the. Orthogonal Complement Of A Matrix Calculator.
From maeganjasleen.blogspot.com
MaeganJasleen Orthogonal Complement Of A Matrix Calculator An orthogonal complement of a subspace is the set of all. From these boxed equations alone, we can solve any problem that. When you transpose a matrix, the rows become columns. Have a question about using wolfram|alpha? The linear algebra calculator is an online tool that provides a comprehensive set of calculators designed to help users with a variety of. Orthogonal Complement Of A Matrix Calculator.
From www.youtube.com
Example of Orthogonal Complement YouTube Orthogonal Complement Of A Matrix Calculator When you transpose a matrix, the rows become columns. Have a question about using wolfram|alpha? The linear algebra calculator is an online tool that provides a comprehensive set of calculators designed to help users with a variety of linear. From these boxed equations alone, we can solve any problem that. Take $(a,b,c)$ in the orthogonal complement. This calculator computes the. Orthogonal Complement Of A Matrix Calculator.
From www.numerade.com
SOLVED HW6.8 Finding basis of the orthogonal complement Consider the Orthogonal Complement Of A Matrix Calculator This calculator will help you to find the orthogonal complement spanned by a set of vectors. Then, since any element in the orthogonal complement must be orthogonal to. In the given input boxes, you have to put the value of. When you transpose a matrix, the rows become columns. The linear algebra calculator is an online tool that provides a. Orthogonal Complement Of A Matrix Calculator.
From www.slideserve.com
PPT Elementary Linear Algebra Anton & Rorres, 9 th Edition PowerPoint Orthogonal Complement Of A Matrix Calculator From these boxed equations alone, we can solve any problem that. When you transpose a matrix, the rows become columns. Shortcuts for computing the orthogonal complements of common subspaces. The linear algebra calculator is an online tool that provides a comprehensive set of calculators designed to help users with a variety of linear. Then, since any element in the orthogonal. Orthogonal Complement Of A Matrix Calculator.
From www.youtube.com
How to Prove that a Matrix is Orthogonal YouTube Orthogonal Complement Of A Matrix Calculator When you transpose a matrix, the rows become columns. Then, since any element in the orthogonal complement must be orthogonal to. Have a question about using wolfram|alpha? From these boxed equations alone, we can solve any problem that. In the given input boxes, you have to put the value of. This calculator computes the orthogonal complement of a given matrix.. Orthogonal Complement Of A Matrix Calculator.
From medium.com
[Linear Algebra] 9. Properties of orthogonal matrices by jun94 jun Orthogonal Complement Of A Matrix Calculator The linear algebra calculator is an online tool that provides a comprehensive set of calculators designed to help users with a variety of linear. From these boxed equations alone, we can solve any problem that. An orthogonal complement of a subspace is the set of all. Take $(a,b,c)$ in the orthogonal complement. Shortcuts for computing the orthogonal complements of common. Orthogonal Complement Of A Matrix Calculator.
From www.numerade.com
SOLVED HW11.6. Projection matrix of the orthogonal complement to a Orthogonal Complement Of A Matrix Calculator From these boxed equations alone, we can solve any problem that. When you transpose a matrix, the rows become columns. Learn to compute the orthogonal complement of a subspace. This calculator will help you to find the orthogonal complement spanned by a set of vectors. Have a question about using wolfram|alpha? Shortcuts for computing the orthogonal complements of common subspaces.. Orthogonal Complement Of A Matrix Calculator.
From www.youtube.com
Orthogonal Complements YouTube Orthogonal Complement Of A Matrix Calculator When you transpose a matrix, the rows become columns. Learn to compute the orthogonal complement of a subspace. This calculator will help you to find the orthogonal complement spanned by a set of vectors. This calculator computes the orthogonal complement of a given matrix. Shortcuts for computing the orthogonal complements of common subspaces. Take $(a,b,c)$ in the orthogonal complement. The. Orthogonal Complement Of A Matrix Calculator.
From www.numerade.com
SOLVED Let M = M2,2 with inner product = tr((B^T)A). Find an Orthogonal Complement Of A Matrix Calculator The linear algebra calculator is an online tool that provides a comprehensive set of calculators designed to help users with a variety of linear. From these boxed equations alone, we can solve any problem that. When you transpose a matrix, the rows become columns. This calculator will help you to find the orthogonal complement spanned by a set of vectors.. Orthogonal Complement Of A Matrix Calculator.
From www.youtube.com
Lec60 應用數學線性代數 Orthogonal Matrices、Orthogonal Complements YouTube Orthogonal Complement Of A Matrix Calculator Have a question about using wolfram|alpha? Shortcuts for computing the orthogonal complements of common subspaces. Then, since any element in the orthogonal complement must be orthogonal to. When you transpose a matrix, the rows become columns. In the given input boxes, you have to put the value of. From these boxed equations alone, we can solve any problem that. This. Orthogonal Complement Of A Matrix Calculator.
From www.youtube.com
Basis in orthogonal complement subspace YouTube Orthogonal Complement Of A Matrix Calculator From these boxed equations alone, we can solve any problem that. Have a question about using wolfram|alpha? Learn to compute the orthogonal complement of a subspace. Shortcuts for computing the orthogonal complements of common subspaces. An orthogonal complement of a subspace is the set of all. When you transpose a matrix, the rows become columns. This calculator will help you. Orthogonal Complement Of A Matrix Calculator.
From slidetodoc.com
Lecture 28 ORTHOGONAL COMPLEMENTS AND ORTHOGONAL MATRICES Class Orthogonal Complement Of A Matrix Calculator When you transpose a matrix, the rows become columns. Take $(a,b,c)$ in the orthogonal complement. This calculator computes the orthogonal complement of a given matrix. Shortcuts for computing the orthogonal complements of common subspaces. The linear algebra calculator is an online tool that provides a comprehensive set of calculators designed to help users with a variety of linear. From these. Orthogonal Complement Of A Matrix Calculator.
From www.chegg.com
Solved Find a basis for W^, the orthogonal complement of W, Orthogonal Complement Of A Matrix Calculator When you transpose a matrix, the rows become columns. The linear algebra calculator is an online tool that provides a comprehensive set of calculators designed to help users with a variety of linear. Have a question about using wolfram|alpha? This calculator computes the orthogonal complement of a given matrix. In the given input boxes, you have to put the value. Orthogonal Complement Of A Matrix Calculator.
From www.youtube.com
The Orthogonal Complement YouTube Orthogonal Complement Of A Matrix Calculator This calculator computes the orthogonal complement of a given matrix. Have a question about using wolfram|alpha? This calculator will help you to find the orthogonal complement spanned by a set of vectors. Shortcuts for computing the orthogonal complements of common subspaces. In the given input boxes, you have to put the value of. From these boxed equations alone, we can. Orthogonal Complement Of A Matrix Calculator.
From www.youtube.com
Orthogonal Matrix What is orthogonal Matrix How to prove Orthogonal Orthogonal Complement Of A Matrix Calculator An orthogonal complement of a subspace is the set of all. Take $(a,b,c)$ in the orthogonal complement. When you transpose a matrix, the rows become columns. Shortcuts for computing the orthogonal complements of common subspaces. From these boxed equations alone, we can solve any problem that. This calculator will help you to find the orthogonal complement spanned by a set. Orthogonal Complement Of A Matrix Calculator.