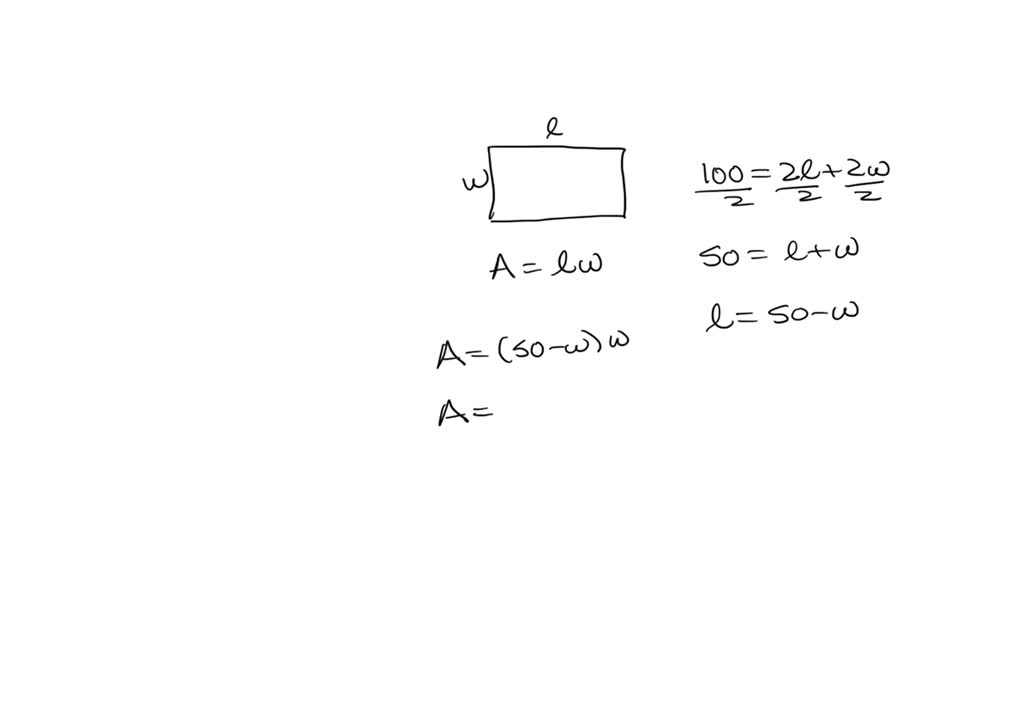
What Is The Largest Rectangular Area That Can Be Enclosed With 12 Inches Of String . Hist = {60, 20, 50, 40, 10, 50, 60} output: find the largest rectangular area possible in a given histogram where the largest rectangle can be made of a number of contiguous bars whose heights are given in an array. easily calculate the area of any rectangle given its sides (length and width). Our area of rectangle calculator supports input in different metrics: For simplicity, assume that all bars have the same width and the width is 1 unit. the result you need is that for a rectangle with a given perimeter the square has the largest area. find the largest possible rectangular area you can enclose, assuming you have 128 meters of fencing. a maximum area calculator lets you easily figure out the largest possible area that can be enclosed within a given set of parameters, such as perimeter or shape constraints. quadratic equations are used to find maximums and minimums for rectangular regions. An example of this type of. the largest rectangular area that can be enclosed with 12 inches of string is a square of side 3 inches, resulting in. To find the maximum area of a shape, one typically uses optimization techniques, where calculus and geometry formulas come into play.
from www.numerade.com
find the largest rectangular area possible in a given histogram where the largest rectangle can be made of a number of contiguous bars whose heights are given in an array. Our area of rectangle calculator supports input in different metrics: the result you need is that for a rectangle with a given perimeter the square has the largest area. easily calculate the area of any rectangle given its sides (length and width). To find the maximum area of a shape, one typically uses optimization techniques, where calculus and geometry formulas come into play. For simplicity, assume that all bars have the same width and the width is 1 unit. the largest rectangular area that can be enclosed with 12 inches of string is a square of side 3 inches, resulting in. quadratic equations are used to find maximums and minimums for rectangular regions. a maximum area calculator lets you easily figure out the largest possible area that can be enclosed within a given set of parameters, such as perimeter or shape constraints. Hist = {60, 20, 50, 40, 10, 50, 60} output:
SOLVED Whats the largest rectangular area that can be enclosed by x
What Is The Largest Rectangular Area That Can Be Enclosed With 12 Inches Of String a maximum area calculator lets you easily figure out the largest possible area that can be enclosed within a given set of parameters, such as perimeter or shape constraints. find the largest possible rectangular area you can enclose, assuming you have 128 meters of fencing. To find the maximum area of a shape, one typically uses optimization techniques, where calculus and geometry formulas come into play. easily calculate the area of any rectangle given its sides (length and width). An example of this type of. find the largest rectangular area possible in a given histogram where the largest rectangle can be made of a number of contiguous bars whose heights are given in an array. the largest rectangular area that can be enclosed with 12 inches of string is a square of side 3 inches, resulting in. Hist = {60, 20, 50, 40, 10, 50, 60} output: For simplicity, assume that all bars have the same width and the width is 1 unit. the result you need is that for a rectangle with a given perimeter the square has the largest area. quadratic equations are used to find maximums and minimums for rectangular regions. a maximum area calculator lets you easily figure out the largest possible area that can be enclosed within a given set of parameters, such as perimeter or shape constraints. Our area of rectangle calculator supports input in different metrics:
From www.youtube.com
Optimization Find Largest Area of a Rectangle Divided into Four Pens What Is The Largest Rectangular Area That Can Be Enclosed With 12 Inches Of String For simplicity, assume that all bars have the same width and the width is 1 unit. quadratic equations are used to find maximums and minimums for rectangular regions. the result you need is that for a rectangle with a given perimeter the square has the largest area. easily calculate the area of any rectangle given its sides. What Is The Largest Rectangular Area That Can Be Enclosed With 12 Inches Of String.
From www.geeksforgeeks.org
Area of the largest Rectangle without a given point What Is The Largest Rectangular Area That Can Be Enclosed With 12 Inches Of String find the largest possible rectangular area you can enclose, assuming you have 128 meters of fencing. easily calculate the area of any rectangle given its sides (length and width). a maximum area calculator lets you easily figure out the largest possible area that can be enclosed within a given set of parameters, such as perimeter or shape. What Is The Largest Rectangular Area That Can Be Enclosed With 12 Inches Of String.
From socratic.org
What is the largest area that can be enclosed by a rectangular fence What Is The Largest Rectangular Area That Can Be Enclosed With 12 Inches Of String find the largest rectangular area possible in a given histogram where the largest rectangle can be made of a number of contiguous bars whose heights are given in an array. An example of this type of. To find the maximum area of a shape, one typically uses optimization techniques, where calculus and geometry formulas come into play. For simplicity,. What Is The Largest Rectangular Area That Can Be Enclosed With 12 Inches Of String.
From www.cuemath.com
Area of Rectangle Formula, Definition, Examples What Is The Largest Rectangular Area That Can Be Enclosed With 12 Inches Of String For simplicity, assume that all bars have the same width and the width is 1 unit. the result you need is that for a rectangle with a given perimeter the square has the largest area. To find the maximum area of a shape, one typically uses optimization techniques, where calculus and geometry formulas come into play. easily calculate. What Is The Largest Rectangular Area That Can Be Enclosed With 12 Inches Of String.
From www.numerade.com
SOLVEDA rancher wants to enclose two rectangular areas near a river What Is The Largest Rectangular Area That Can Be Enclosed With 12 Inches Of String a maximum area calculator lets you easily figure out the largest possible area that can be enclosed within a given set of parameters, such as perimeter or shape constraints. Our area of rectangle calculator supports input in different metrics: For simplicity, assume that all bars have the same width and the width is 1 unit. Hist = {60, 20,. What Is The Largest Rectangular Area That Can Be Enclosed With 12 Inches Of String.
From furnitureideas.github.io
30+ Find The Largest Rectangular Area In A Histogram Home What Is The Largest Rectangular Area That Can Be Enclosed With 12 Inches Of String a maximum area calculator lets you easily figure out the largest possible area that can be enclosed within a given set of parameters, such as perimeter or shape constraints. quadratic equations are used to find maximums and minimums for rectangular regions. the largest rectangular area that can be enclosed with 12 inches of string is a square. What Is The Largest Rectangular Area That Can Be Enclosed With 12 Inches Of String.
From www.geeksforgeeks.org
Find the area of the largest rectangle that can be inscribed in the What Is The Largest Rectangular Area That Can Be Enclosed With 12 Inches Of String the result you need is that for a rectangle with a given perimeter the square has the largest area. Our area of rectangle calculator supports input in different metrics: To find the maximum area of a shape, one typically uses optimization techniques, where calculus and geometry formulas come into play. Hist = {60, 20, 50, 40, 10, 50, 60}. What Is The Largest Rectangular Area That Can Be Enclosed With 12 Inches Of String.
From www.chegg.com
Solved (1) Find the area of the largest rectangular field What Is The Largest Rectangular Area That Can Be Enclosed With 12 Inches Of String Hist = {60, 20, 50, 40, 10, 50, 60} output: the result you need is that for a rectangle with a given perimeter the square has the largest area. find the largest possible rectangular area you can enclose, assuming you have 128 meters of fencing. the largest rectangular area that can be enclosed with 12 inches of. What Is The Largest Rectangular Area That Can Be Enclosed With 12 Inches Of String.
From www.youtube.com
What is the area of the largest rectangular field which can be enclosed What Is The Largest Rectangular Area That Can Be Enclosed With 12 Inches Of String the largest rectangular area that can be enclosed with 12 inches of string is a square of side 3 inches, resulting in. To find the maximum area of a shape, one typically uses optimization techniques, where calculus and geometry formulas come into play. a maximum area calculator lets you easily figure out the largest possible area that can. What Is The Largest Rectangular Area That Can Be Enclosed With 12 Inches Of String.
From www.chilimath.com
Area of Rectangle Definition, Formula & Examples ChiliMath What Is The Largest Rectangular Area That Can Be Enclosed With 12 Inches Of String find the largest possible rectangular area you can enclose, assuming you have 128 meters of fencing. Hist = {60, 20, 50, 40, 10, 50, 60} output: Our area of rectangle calculator supports input in different metrics: the largest rectangular area that can be enclosed with 12 inches of string is a square of side 3 inches, resulting in.. What Is The Largest Rectangular Area That Can Be Enclosed With 12 Inches Of String.
From www.youtube.com
Find the area of the largest rectangle that can be inscribed in a right What Is The Largest Rectangular Area That Can Be Enclosed With 12 Inches Of String a maximum area calculator lets you easily figure out the largest possible area that can be enclosed within a given set of parameters, such as perimeter or shape constraints. the largest rectangular area that can be enclosed with 12 inches of string is a square of side 3 inches, resulting in. For simplicity, assume that all bars have. What Is The Largest Rectangular Area That Can Be Enclosed With 12 Inches Of String.
From oneclass.com
OneClass Q1 . Find the area of the largest rectangle that can be What Is The Largest Rectangular Area That Can Be Enclosed With 12 Inches Of String find the largest rectangular area possible in a given histogram where the largest rectangle can be made of a number of contiguous bars whose heights are given in an array. For simplicity, assume that all bars have the same width and the width is 1 unit. To find the maximum area of a shape, one typically uses optimization techniques,. What Is The Largest Rectangular Area That Can Be Enclosed With 12 Inches Of String.
From www.chegg.com
Solved (1) Find the area of the largest rectangular field What Is The Largest Rectangular Area That Can Be Enclosed With 12 Inches Of String An example of this type of. the largest rectangular area that can be enclosed with 12 inches of string is a square of side 3 inches, resulting in. For simplicity, assume that all bars have the same width and the width is 1 unit. the result you need is that for a rectangle with a given perimeter the. What Is The Largest Rectangular Area That Can Be Enclosed With 12 Inches Of String.
From www.worksheetsplanet.com
Area of a Rectangle (Formula + Example) What Is The Largest Rectangular Area That Can Be Enclosed With 12 Inches Of String quadratic equations are used to find maximums and minimums for rectangular regions. the largest rectangular area that can be enclosed with 12 inches of string is a square of side 3 inches, resulting in. easily calculate the area of any rectangle given its sides (length and width). Hist = {60, 20, 50, 40, 10, 50, 60} output:. What Is The Largest Rectangular Area That Can Be Enclosed With 12 Inches Of String.
From owlcation.com
Which Rectangle Gives the Biggest Area? Owlcation What Is The Largest Rectangular Area That Can Be Enclosed With 12 Inches Of String To find the maximum area of a shape, one typically uses optimization techniques, where calculus and geometry formulas come into play. find the largest rectangular area possible in a given histogram where the largest rectangle can be made of a number of contiguous bars whose heights are given in an array. find the largest possible rectangular area you. What Is The Largest Rectangular Area That Can Be Enclosed With 12 Inches Of String.
From furnitureideas.github.io
Download Find The Maximum Rectangular Area That Can Be Enclosed By A What Is The Largest Rectangular Area That Can Be Enclosed With 12 Inches Of String a maximum area calculator lets you easily figure out the largest possible area that can be enclosed within a given set of parameters, such as perimeter or shape constraints. the largest rectangular area that can be enclosed with 12 inches of string is a square of side 3 inches, resulting in. find the largest possible rectangular area. What Is The Largest Rectangular Area That Can Be Enclosed With 12 Inches Of String.
From www.youtube.com
Largest Rectangular Area in a Histogram C++ YouTube What Is The Largest Rectangular Area That Can Be Enclosed With 12 Inches Of String Our area of rectangle calculator supports input in different metrics: find the largest rectangular area possible in a given histogram where the largest rectangle can be made of a number of contiguous bars whose heights are given in an array. For simplicity, assume that all bars have the same width and the width is 1 unit. the result. What Is The Largest Rectangular Area That Can Be Enclosed With 12 Inches Of String.
From www.youtube.com
Optimization Find Dimensions of Rectangle With Largest Area Inscribed What Is The Largest Rectangular Area That Can Be Enclosed With 12 Inches Of String find the largest possible rectangular area you can enclose, assuming you have 128 meters of fencing. a maximum area calculator lets you easily figure out the largest possible area that can be enclosed within a given set of parameters, such as perimeter or shape constraints. the result you need is that for a rectangle with a given. What Is The Largest Rectangular Area That Can Be Enclosed With 12 Inches Of String.
From furniture-ideas.github.io
View Determine The Maximum Area Of Rectangular Field That Can Be What Is The Largest Rectangular Area That Can Be Enclosed With 12 Inches Of String Hist = {60, 20, 50, 40, 10, 50, 60} output: find the largest possible rectangular area you can enclose, assuming you have 128 meters of fencing. For simplicity, assume that all bars have the same width and the width is 1 unit. the result you need is that for a rectangle with a given perimeter the square has. What Is The Largest Rectangular Area That Can Be Enclosed With 12 Inches Of String.
From thirdspacelearning.com
Surface Area of a Rectangular Prism Math Guide What Is The Largest Rectangular Area That Can Be Enclosed With 12 Inches Of String the largest rectangular area that can be enclosed with 12 inches of string is a square of side 3 inches, resulting in. the result you need is that for a rectangle with a given perimeter the square has the largest area. Our area of rectangle calculator supports input in different metrics: easily calculate the area of any. What Is The Largest Rectangular Area That Can Be Enclosed With 12 Inches Of String.
From socratic.org
What is the area of the largest rectangle that can be inscribed under What Is The Largest Rectangular Area That Can Be Enclosed With 12 Inches Of String To find the maximum area of a shape, one typically uses optimization techniques, where calculus and geometry formulas come into play. the result you need is that for a rectangle with a given perimeter the square has the largest area. the largest rectangular area that can be enclosed with 12 inches of string is a square of side. What Is The Largest Rectangular Area That Can Be Enclosed With 12 Inches Of String.
From www.numerade.com
Determine the area of the largest piece of rectangular ground that can What Is The Largest Rectangular Area That Can Be Enclosed With 12 Inches Of String the largest rectangular area that can be enclosed with 12 inches of string is a square of side 3 inches, resulting in. To find the maximum area of a shape, one typically uses optimization techniques, where calculus and geometry formulas come into play. find the largest rectangular area possible in a given histogram where the largest rectangle can. What Is The Largest Rectangular Area That Can Be Enclosed With 12 Inches Of String.
From fyomzumcn.blob.core.windows.net
How To Find Rectangular Area at Charles Seymour blog What Is The Largest Rectangular Area That Can Be Enclosed With 12 Inches Of String the largest rectangular area that can be enclosed with 12 inches of string is a square of side 3 inches, resulting in. find the largest rectangular area possible in a given histogram where the largest rectangle can be made of a number of contiguous bars whose heights are given in an array. a maximum area calculator lets. What Is The Largest Rectangular Area That Can Be Enclosed With 12 Inches Of String.
From www.chegg.com
Solved 7. The maximum rectangular area that can be enclosed What Is The Largest Rectangular Area That Can Be Enclosed With 12 Inches Of String Hist = {60, 20, 50, 40, 10, 50, 60} output: Our area of rectangle calculator supports input in different metrics: For simplicity, assume that all bars have the same width and the width is 1 unit. a maximum area calculator lets you easily figure out the largest possible area that can be enclosed within a given set of parameters,. What Is The Largest Rectangular Area That Can Be Enclosed With 12 Inches Of String.
From www.gauthmath.com
Solved 12. Find the maximum rectangular area that can be enclosed by a What Is The Largest Rectangular Area That Can Be Enclosed With 12 Inches Of String For simplicity, assume that all bars have the same width and the width is 1 unit. Our area of rectangle calculator supports input in different metrics: find the largest possible rectangular area you can enclose, assuming you have 128 meters of fencing. quadratic equations are used to find maximums and minimums for rectangular regions. To find the maximum. What Is The Largest Rectangular Area That Can Be Enclosed With 12 Inches Of String.
From www.numerade.com
⏩SOLVEDWhat is the largest rectangular area one can enclose with 14 What Is The Largest Rectangular Area That Can Be Enclosed With 12 Inches Of String a maximum area calculator lets you easily figure out the largest possible area that can be enclosed within a given set of parameters, such as perimeter or shape constraints. the largest rectangular area that can be enclosed with 12 inches of string is a square of side 3 inches, resulting in. find the largest possible rectangular area. What Is The Largest Rectangular Area That Can Be Enclosed With 12 Inches Of String.
From furnitureideas.github.io
Get Find The Maximum Rectangular Area That Can Be Enclosed By A Fence What Is The Largest Rectangular Area That Can Be Enclosed With 12 Inches Of String a maximum area calculator lets you easily figure out the largest possible area that can be enclosed within a given set of parameters, such as perimeter or shape constraints. find the largest rectangular area possible in a given histogram where the largest rectangle can be made of a number of contiguous bars whose heights are given in an. What Is The Largest Rectangular Area That Can Be Enclosed With 12 Inches Of String.
From www.youtube.com
Maximum Area for Rectangular Fence Field Quadratic Relations What Is The Largest Rectangular Area That Can Be Enclosed With 12 Inches Of String Our area of rectangle calculator supports input in different metrics: For simplicity, assume that all bars have the same width and the width is 1 unit. To find the maximum area of a shape, one typically uses optimization techniques, where calculus and geometry formulas come into play. find the largest possible rectangular area you can enclose, assuming you have. What Is The Largest Rectangular Area That Can Be Enclosed With 12 Inches Of String.
From www.geeksforgeeks.org
Largest Rectangular Area in a Histogram Set 2 What Is The Largest Rectangular Area That Can Be Enclosed With 12 Inches Of String the largest rectangular area that can be enclosed with 12 inches of string is a square of side 3 inches, resulting in. find the largest rectangular area possible in a given histogram where the largest rectangle can be made of a number of contiguous bars whose heights are given in an array. quadratic equations are used to. What Is The Largest Rectangular Area That Can Be Enclosed With 12 Inches Of String.
From www.numerade.com
SOLVED Find the dimensions of the rectangular garden of largest area What Is The Largest Rectangular Area That Can Be Enclosed With 12 Inches Of String quadratic equations are used to find maximums and minimums for rectangular regions. Our area of rectangle calculator supports input in different metrics: To find the maximum area of a shape, one typically uses optimization techniques, where calculus and geometry formulas come into play. Hist = {60, 20, 50, 40, 10, 50, 60} output: a maximum area calculator lets. What Is The Largest Rectangular Area That Can Be Enclosed With 12 Inches Of String.
From www.chegg.com
Solved 4. Find the biggest rectangular area that can be What Is The Largest Rectangular Area That Can Be Enclosed With 12 Inches Of String An example of this type of. Hist = {60, 20, 50, 40, 10, 50, 60} output: a maximum area calculator lets you easily figure out the largest possible area that can be enclosed within a given set of parameters, such as perimeter or shape constraints. For simplicity, assume that all bars have the same width and the width is. What Is The Largest Rectangular Area That Can Be Enclosed With 12 Inches Of String.
From www.chegg.com
Solved Find the area of the largest rectangle that can be What Is The Largest Rectangular Area That Can Be Enclosed With 12 Inches Of String To find the maximum area of a shape, one typically uses optimization techniques, where calculus and geometry formulas come into play. An example of this type of. easily calculate the area of any rectangle given its sides (length and width). the result you need is that for a rectangle with a given perimeter the square has the largest. What Is The Largest Rectangular Area That Can Be Enclosed With 12 Inches Of String.
From www.numerade.com
SOLVED Whats the largest rectangular area that can be enclosed by x What Is The Largest Rectangular Area That Can Be Enclosed With 12 Inches Of String a maximum area calculator lets you easily figure out the largest possible area that can be enclosed within a given set of parameters, such as perimeter or shape constraints. the result you need is that for a rectangle with a given perimeter the square has the largest area. easily calculate the area of any rectangle given its. What Is The Largest Rectangular Area That Can Be Enclosed With 12 Inches Of String.
From www.youtube.com
Area of a Rectangle YouTube What Is The Largest Rectangular Area That Can Be Enclosed With 12 Inches Of String find the largest possible rectangular area you can enclose, assuming you have 128 meters of fencing. To find the maximum area of a shape, one typically uses optimization techniques, where calculus and geometry formulas come into play. Hist = {60, 20, 50, 40, 10, 50, 60} output: find the largest rectangular area possible in a given histogram where. What Is The Largest Rectangular Area That Can Be Enclosed With 12 Inches Of String.
From www.youtube.com
Largest area of a rectangle inscribed in a semicircle (KristaKingMath What Is The Largest Rectangular Area That Can Be Enclosed With 12 Inches Of String Our area of rectangle calculator supports input in different metrics: Hist = {60, 20, 50, 40, 10, 50, 60} output: An example of this type of. find the largest possible rectangular area you can enclose, assuming you have 128 meters of fencing. To find the maximum area of a shape, one typically uses optimization techniques, where calculus and geometry. What Is The Largest Rectangular Area That Can Be Enclosed With 12 Inches Of String.