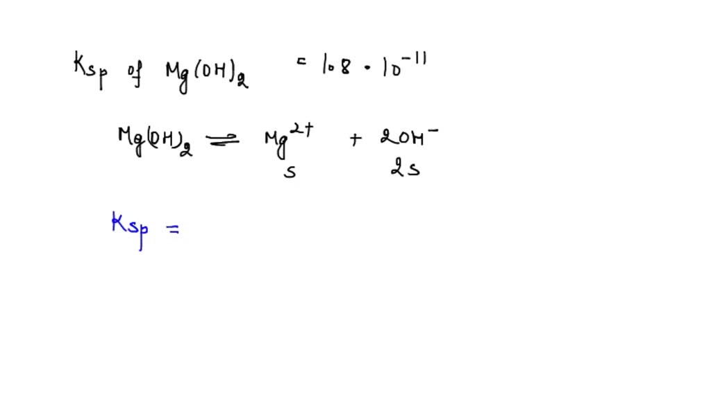
Magnesium Hydroxide Has A Ksp = 5.60X10-12 . The solubility of magnesium hydroxide, mg (oh)2, can be calculated using the given ksp and the. Calculate the solubility of this compound in grams per liter. In a saturated solution of magnesium hydroxide, the magnesium. Determine the ph of a saturated solution of mg (oh)2. Calculate the solubility of this compound. What is the ph of a saturated solution of magnesium hydroxide (the active ingredient in the. your solution’s ready to go! We have given magnesium hydroxide and it is in equilibrium with the magnesium and the hydroxyl ion, so. chemistry questions and answers. chemistry questions and answers. Calculate the solubility of this compound in grams per liter What is the ph of a saturated solution of magnesium hydroxide (the active ingredient in the. the solubility of magnesium hydroxide in grams per liter is calculated as 0.0082 g/l using the ksp value of 5.61 x. Calculate the molar solubility of this compound. In a saturated solution of magnesium.
from byjus.com
The solubility of magnesium hydroxide, mg (oh)2, can be calculated using the given ksp and the. We have given magnesium hydroxide and it is in equilibrium with the magnesium and the hydroxyl ion, so. the solubility of magnesium hydroxide in grams per liter is calculated as 0.0082 g/l using the ksp value of 5.61 x. Calculate the molar solubility of this compound. Determine the ph of a saturated solution of mg (oh)2. Calculate the solubility of this compound in grams per liter. your solution’s ready to go! In a saturated solution of magnesium. chemistry questions and answers. What is the ph of a saturated solution of magnesium hydroxide (the active ingredient in the.
Solubility product of magnesium Hydroxide is 4 10 12 . The number of
Magnesium Hydroxide Has A Ksp = 5.60X10-12 What is the ph of a saturated solution of magnesium hydroxide (the active ingredient in the. chemistry questions and answers. what is the ph of a saturated solution of magnesium hydroxide (the active ingredient in the antacid milk of magnesia )? chemistry questions and answers. What is the ph of a saturated solution of magnesium hydroxide (the active ingredient in the. Calculate the solubility of this compound in grams per liter chemistry questions and answers. Determine the ph of a saturated solution of mg (oh)2. your solution’s ready to go! what is the ph of a saturated solution of magnesium hydroxide (the active ingredient in the antacid milk of magnesia)?. We have given magnesium hydroxide and it is in equilibrium with the magnesium and the hydroxyl ion, so. Calculate the solubility of this compound in grams per liter. The solubility of magnesium hydroxide, mg (oh)2, can be calculated using the given ksp and the. the solubility of magnesium hydroxide in grams per liter is calculated as 0.0082 g/l using the ksp value of 5.61 x. A) what will be the ph when we add 1 mol of mgcl2 to a liter of. In a saturated solution of magnesium hydroxide, the magnesium.
From www.indiamart.com
Magnesium Hydroxide, Packaging Size 20 Kg, Rs 80/kilogram Hexagon Magnesium Hydroxide Has A Ksp = 5.60X10-12 What is the ph of a saturated solution of magnesium hydroxide (the active ingredient in the. chemistry questions and answers. Determine the ph of a saturated solution of mg (oh)2. Calculate the molar solubility of this compound. Calculate the solubility of this compound in grams per liter Calculate the solubility of this compound. Calculate the solubility of this compound. Magnesium Hydroxide Has A Ksp = 5.60X10-12.
From sujatanutripharma.com
Magnesium Hydroxide Sujata Nutri Pharma Magnesium Hydroxide Has A Ksp = 5.60X10-12 chemistry questions and answers. the solubility of magnesium hydroxide in grams per liter is calculated as 0.0082 g/l using the ksp value of 5.61 x. What is the ph of a saturated solution of magnesium hydroxide (the active ingredient in the. In a saturated solution of magnesium hydroxide, the magnesium. Determine the ph of a saturated solution of. Magnesium Hydroxide Has A Ksp = 5.60X10-12.
From www.walmart.com
Major Milk Of Magnesia Orig Magnesium Hydroxide400 Mg/5Ml White 16Oz Magnesium Hydroxide Has A Ksp = 5.60X10-12 Determine the ph of a saturated solution of mg (oh)2. Calculate the solubility of this compound in grams per liter. chemistry questions and answers. A) what will be the ph when we add 1 mol of mgcl2 to a liter of. What is the ph of a saturated solution of magnesium hydroxide (the active ingredient in the. chemistry. Magnesium Hydroxide Has A Ksp = 5.60X10-12.
From www.chegg.com
3. The reaction between magnesium hydroxide and Magnesium Hydroxide Has A Ksp = 5.60X10-12 What is the ph of a saturated solution of magnesium hydroxide (the active ingredient in the. A) what will be the ph when we add 1 mol of mgcl2 to a liter of. Calculate the solubility of this compound in grams per liter. We have given magnesium hydroxide and it is in equilibrium with the magnesium and the hydroxyl ion,. Magnesium Hydroxide Has A Ksp = 5.60X10-12.
From www.chegg.com
Solved PostLaboratory Question The Ksp of magnesium Magnesium Hydroxide Has A Ksp = 5.60X10-12 The solubility of magnesium hydroxide, mg (oh)2, can be calculated using the given ksp and the. Determine the ph of a saturated solution of mg (oh)2. A) what will be the ph when we add 1 mol of mgcl2 to a liter of. chemistry questions and answers. the solubility of magnesium hydroxide in grams per liter is calculated. Magnesium Hydroxide Has A Ksp = 5.60X10-12.
From prescriptiongiant.com
Magnesium Hydroxide Prescriptiongiant Magnesium Hydroxide Has A Ksp = 5.60X10-12 A) what will be the ph when we add 1 mol of mgcl2 to a liter of. chemistry questions and answers. What is the ph of a saturated solution of magnesium hydroxide (the active ingredient in the. chemistry questions and answers. In a saturated solution of magnesium. chemistry questions and answers. the solubility of magnesium hydroxide. Magnesium Hydroxide Has A Ksp = 5.60X10-12.
From www.garrisonminerals.com
How Magnesium Hydroxide is Made Magnesium Hydroxide Has A Ksp = 5.60X10-12 what is the ph of a saturated solution of magnesium hydroxide (the active ingredient in the antacid milk of magnesia)?. What is the ph of a saturated solution of magnesium hydroxide (the active ingredient in the. In a saturated solution of magnesium. chemistry questions and answers. Determine the ph of a saturated solution of mg (oh)2. What is. Magnesium Hydroxide Has A Ksp = 5.60X10-12.
From shayandcompany.com
Buy Magnesium Hydroxide Powder Bulk Available Magnesium Hydroxide Has A Ksp = 5.60X10-12 Calculate the solubility of this compound in grams per liter. We have given magnesium hydroxide and it is in equilibrium with the magnesium and the hydroxyl ion, so. what is the ph of a saturated solution of magnesium hydroxide (the active ingredient in the antacid milk of magnesia)?. Determine the ph of a saturated solution of mg (oh)2. . Magnesium Hydroxide Has A Ksp = 5.60X10-12.
From byjus.com
Solubility product of magnesium Hydroxide is 4 10 12 . The number of Magnesium Hydroxide Has A Ksp = 5.60X10-12 chemistry questions and answers. A) what will be the ph when we add 1 mol of mgcl2 to a liter of. Calculate the solubility of this compound in grams per liter. What is the ph of a saturated solution of magnesium hydroxide (the active ingredient in the. Determine the ph of a saturated solution of mg (oh)2. In a. Magnesium Hydroxide Has A Ksp = 5.60X10-12.
From molekula.com
Purchase Magnesium hydroxide [1309428] online • Catalog • Molekula Group Magnesium Hydroxide Has A Ksp = 5.60X10-12 Calculate the solubility of this compound in grams per liter. the solubility of magnesium hydroxide in grams per liter is calculated as 0.0082 g/l using the ksp value of 5.61 x. We have given magnesium hydroxide and it is in equilibrium with the magnesium and the hydroxyl ion, so. What is the ph of a saturated solution of magnesium. Magnesium Hydroxide Has A Ksp = 5.60X10-12.
From www.numerade.com
SOLVED A. Calculate the solubility (in g/L) of magnesium fluoride (Ksp Magnesium Hydroxide Has A Ksp = 5.60X10-12 The solubility of magnesium hydroxide, mg (oh)2, can be calculated using the given ksp and the. chemistry questions and answers. Calculate the molar solubility of this compound. Calculate the solubility of this compound. A) what will be the ph when we add 1 mol of mgcl2 to a liter of. In a saturated solution of magnesium hydroxide, the magnesium.. Magnesium Hydroxide Has A Ksp = 5.60X10-12.
From askfilo.com
(ii) the reaction between magnesium hydroxide (a base) and sulphuric yiel.. Magnesium Hydroxide Has A Ksp = 5.60X10-12 chemistry questions and answers. chemistry questions and answers. Calculate the solubility of this compound in grams per liter. chemistry questions and answers. what is the ph of a saturated solution of magnesium hydroxide (the active ingredient in the antacid milk of magnesia)?. Determine the ph of a saturated solution of mg (oh)2. Calculate the solubility of. Magnesium Hydroxide Has A Ksp = 5.60X10-12.
From www.indiamart.com
Dried Aluminium Hydroxide Gel Magnesium Hydroxide Light Magnesium Magnesium Hydroxide Has A Ksp = 5.60X10-12 Calculate the solubility of this compound. Determine the ph of a saturated solution of mg (oh)2. your solution’s ready to go! What is the ph of a saturated solution of magnesium hydroxide (the active ingredient in the. the solubility of magnesium hydroxide in grams per liter is calculated as 0.0082 g/l using the ksp value of 5.61 x.. Magnesium Hydroxide Has A Ksp = 5.60X10-12.
From www.indiamart.com
Technical Grade Magnesium Hydroxide IP BP USP for Laboratory, Rs 86 /kg Magnesium Hydroxide Has A Ksp = 5.60X10-12 chemistry questions and answers. We have given magnesium hydroxide and it is in equilibrium with the magnesium and the hydroxyl ion, so. chemistry questions and answers. A) what will be the ph when we add 1 mol of mgcl2 to a liter of. Calculate the solubility of this compound in grams per liter. chemistry questions and answers.. Magnesium Hydroxide Has A Ksp = 5.60X10-12.
From www.metabolics.com
Magnesium Hydroxide Metabolics Magnesium Hydroxide Has A Ksp = 5.60X10-12 chemistry questions and answers. What is the ph of a saturated solution of magnesium hydroxide (the active ingredient in the. chemistry questions and answers. the solubility of magnesium hydroxide in grams per liter is calculated as 0.0082 g/l using the ksp value of 5.61 x. In a saturated solution of magnesium. what is the ph of. Magnesium Hydroxide Has A Ksp = 5.60X10-12.
From www.numerade.com
SOLVED What will cause more Magnesium to be dissolved in a solution of Magnesium Hydroxide Has A Ksp = 5.60X10-12 your solution’s ready to go! What is the ph of a saturated solution of magnesium hydroxide (the active ingredient in the. what is the ph of a saturated solution of magnesium hydroxide (the active ingredient in the antacid milk of magnesia )? Calculate the molar solubility of this compound. Calculate the solubility of this compound in grams per. Magnesium Hydroxide Has A Ksp = 5.60X10-12.
From www.chemistdirect.co.uk
Buy Magnesium Hydroxide Mixture Chemist Direct Magnesium Hydroxide Has A Ksp = 5.60X10-12 chemistry questions and answers. your solution’s ready to go! what is the ph of a saturated solution of magnesium hydroxide (the active ingredient in the antacid milk of magnesia)?. the solubility of magnesium hydroxide in grams per liter is calculated as 0.0082 g/l using the ksp value of 5.61 x. chemistry questions and answers. In. Magnesium Hydroxide Has A Ksp = 5.60X10-12.
From www.chegg.com
Solved (6 Pts) The Ksp of magnesium hydroxide, Mg(OH)2, is Magnesium Hydroxide Has A Ksp = 5.60X10-12 the solubility of magnesium hydroxide in grams per liter is calculated as 0.0082 g/l using the ksp value of 5.61 x. A) what will be the ph when we add 1 mol of mgcl2 to a liter of. Calculate the solubility of this compound. chemistry questions and answers. Calculate the solubility of this compound in grams per liter. Magnesium Hydroxide Has A Ksp = 5.60X10-12.
From tibetmag.com
Differences and applications of medical and food grade magnesium Magnesium Hydroxide Has A Ksp = 5.60X10-12 Calculate the solubility of this compound in grams per liter. Determine the ph of a saturated solution of mg (oh)2. what is the ph of a saturated solution of magnesium hydroxide (the active ingredient in the antacid milk of magnesia)?. chemistry questions and answers. We have given magnesium hydroxide and it is in equilibrium with the magnesium and. Magnesium Hydroxide Has A Ksp = 5.60X10-12.
From lasopatracks563.weebly.com
lasopatracks Blog Magnesium Hydroxide Has A Ksp = 5.60X10-12 Calculate the solubility of this compound in grams per liter Calculate the molar solubility of this compound. We have given magnesium hydroxide and it is in equilibrium with the magnesium and the hydroxyl ion, so. what is the ph of a saturated solution of magnesium hydroxide (the active ingredient in the antacid milk of magnesia)?. What is the ph. Magnesium Hydroxide Has A Ksp = 5.60X10-12.
From www.gnhindia.com
BUY Magnesium Hydroxide (Careone Milk Of Magnesia) 1200 mg/15mL from Magnesium Hydroxide Has A Ksp = 5.60X10-12 In a saturated solution of magnesium hydroxide, the magnesium. Calculate the solubility of this compound in grams per liter In a saturated solution of magnesium. We have given magnesium hydroxide and it is in equilibrium with the magnesium and the hydroxyl ion, so. chemistry questions and answers. Calculate the solubility of this compound. Determine the ph of a saturated. Magnesium Hydroxide Has A Ksp = 5.60X10-12.
From www.youtube.com
Magnesium Hydroxide Milk of Magnesia Preparation, Properties, Uses Magnesium Hydroxide Has A Ksp = 5.60X10-12 what is the ph of a saturated solution of magnesium hydroxide (the active ingredient in the antacid milk of magnesia)?. Calculate the solubility of this compound in grams per liter. your solution’s ready to go! Determine the ph of a saturated solution of mg (oh)2. Calculate the molar solubility of this compound. In a saturated solution of magnesium. Magnesium Hydroxide Has A Ksp = 5.60X10-12.
From www.gnhindia.com
BUY Magnesium Hydroxide (Milk Of Magnesia) 400 mg/5mL from GNH India at Magnesium Hydroxide Has A Ksp = 5.60X10-12 chemistry questions and answers. The solubility of magnesium hydroxide, mg (oh)2, can be calculated using the given ksp and the. your solution’s ready to go! Calculate the solubility of this compound in grams per liter. what is the ph of a saturated solution of magnesium hydroxide (the active ingredient in the antacid milk of magnesia )? Calculate. Magnesium Hydroxide Has A Ksp = 5.60X10-12.
From magnesiumcn.blogspot.com
Hebei Meishen Technology Co.,LTD Magnesium Hydroxide has These Advantages Magnesium Hydroxide Has A Ksp = 5.60X10-12 A) what will be the ph when we add 1 mol of mgcl2 to a liter of. What is the ph of a saturated solution of magnesium hydroxide (the active ingredient in the. In a saturated solution of magnesium hydroxide, the magnesium. The solubility of magnesium hydroxide, mg (oh)2, can be calculated using the given ksp and the. In a. Magnesium Hydroxide Has A Ksp = 5.60X10-12.
From www.chegg.com
Solved 6. The Ksp of magnesium hydroxide is 5.6×10−12. Find Magnesium Hydroxide Has A Ksp = 5.60X10-12 chemistry questions and answers. chemistry questions and answers. We have given magnesium hydroxide and it is in equilibrium with the magnesium and the hydroxyl ion, so. what is the ph of a saturated solution of magnesium hydroxide (the active ingredient in the antacid milk of magnesia)?. the solubility of magnesium hydroxide in grams per liter is. Magnesium Hydroxide Has A Ksp = 5.60X10-12.
From www.chegg.com
Solved Calculate the solubility of Cu(OH)2 in a solution Magnesium Hydroxide Has A Ksp = 5.60X10-12 what is the ph of a saturated solution of magnesium hydroxide (the active ingredient in the antacid milk of magnesia)?. What is the ph of a saturated solution of magnesium hydroxide (the active ingredient in the. Calculate the solubility of this compound in grams per liter chemistry questions and answers. the solubility of magnesium hydroxide in grams. Magnesium Hydroxide Has A Ksp = 5.60X10-12.
From fda.report
MILK OF MAGNESIA magnesium hydroxide liquid Magnesium Hydroxide Has A Ksp = 5.60X10-12 What is the ph of a saturated solution of magnesium hydroxide (the active ingredient in the. A) what will be the ph when we add 1 mol of mgcl2 to a liter of. The solubility of magnesium hydroxide, mg (oh)2, can be calculated using the given ksp and the. We have given magnesium hydroxide and it is in equilibrium with. Magnesium Hydroxide Has A Ksp = 5.60X10-12.
From www.numerade.com
SOLVED The pH of a saturated soloution of magnesium hydroxide, Mg(OH)2 Magnesium Hydroxide Has A Ksp = 5.60X10-12 The solubility of magnesium hydroxide, mg (oh)2, can be calculated using the given ksp and the. Calculate the molar solubility of this compound. Calculate the solubility of this compound in grams per liter. chemistry questions and answers. In a saturated solution of magnesium. Determine the ph of a saturated solution of mg (oh)2. chemistry questions and answers. Calculate. Magnesium Hydroxide Has A Ksp = 5.60X10-12.
From purebulk.com
Magnesium Hydroxide Pure Bulk Dietary Supplements Magnesium Hydroxide Has A Ksp = 5.60X10-12 chemistry questions and answers. We have given magnesium hydroxide and it is in equilibrium with the magnesium and the hydroxyl ion, so. Determine the ph of a saturated solution of mg (oh)2. chemistry questions and answers. Calculate the molar solubility of this compound. chemistry questions and answers. What is the ph of a saturated solution of magnesium. Magnesium Hydroxide Has A Ksp = 5.60X10-12.
From www.numerade.com
SOLVED Text Magnesium hydroxide, Mg(OH)2, found in milk of magnesia Magnesium Hydroxide Has A Ksp = 5.60X10-12 what is the ph of a saturated solution of magnesium hydroxide (the active ingredient in the antacid milk of magnesia )? chemistry questions and answers. In a saturated solution of magnesium. We have given magnesium hydroxide and it is in equilibrium with the magnesium and the hydroxyl ion, so. chemistry questions and answers. What is the ph. Magnesium Hydroxide Has A Ksp = 5.60X10-12.
From www.garrisonminerals.com
Magnesium Hydroxide vs. Caustic Soda in Wastewater Treatment Magnesium Hydroxide Has A Ksp = 5.60X10-12 The solubility of magnesium hydroxide, mg (oh)2, can be calculated using the given ksp and the. In a saturated solution of magnesium. What is the ph of a saturated solution of magnesium hydroxide (the active ingredient in the. what is the ph of a saturated solution of magnesium hydroxide (the active ingredient in the antacid milk of magnesia )?. Magnesium Hydroxide Has A Ksp = 5.60X10-12.
From www.numerade.com
SOLVED Magnesium hydroxide, the active ingredient in milk of magnesia Magnesium Hydroxide Has A Ksp = 5.60X10-12 What is the ph of a saturated solution of magnesium hydroxide (the active ingredient in the. A) what will be the ph when we add 1 mol of mgcl2 to a liter of. chemistry questions and answers. what is the ph of a saturated solution of magnesium hydroxide (the active ingredient in the antacid milk of magnesia)?. The. Magnesium Hydroxide Has A Ksp = 5.60X10-12.
From atelier-yuwa.ciao.jp
Magnesium Hydroxide (Milk Of Magnesia) Basics, Side Effects Reviews Magnesium Hydroxide Has A Ksp = 5.60X10-12 your solution’s ready to go! Calculate the solubility of this compound. A) what will be the ph when we add 1 mol of mgcl2 to a liter of. In a saturated solution of magnesium. We have given magnesium hydroxide and it is in equilibrium with the magnesium and the hydroxyl ion, so. Calculate the solubility of this compound in. Magnesium Hydroxide Has A Ksp = 5.60X10-12.
From www.numerade.com
SOLVED thermal of magnesium nitrate and magnesium hydroxide Magnesium Hydroxide Has A Ksp = 5.60X10-12 chemistry questions and answers. what is the ph of a saturated solution of magnesium hydroxide (the active ingredient in the antacid milk of magnesia)?. Calculate the solubility of this compound. A) what will be the ph when we add 1 mol of mgcl2 to a liter of. what is the ph of a saturated solution of magnesium. Magnesium Hydroxide Has A Ksp = 5.60X10-12.
From www.atompharma.in
MAGNESIUM HYDROXIDE at Best Price Magnesium Hydroxide Has A Ksp = 5.60X10-12 Calculate the solubility of this compound in grams per liter. chemistry questions and answers. The solubility of magnesium hydroxide, mg (oh)2, can be calculated using the given ksp and the. chemistry questions and answers. what is the ph of a saturated solution of magnesium hydroxide (the active ingredient in the antacid milk of magnesia )? your. Magnesium Hydroxide Has A Ksp = 5.60X10-12.