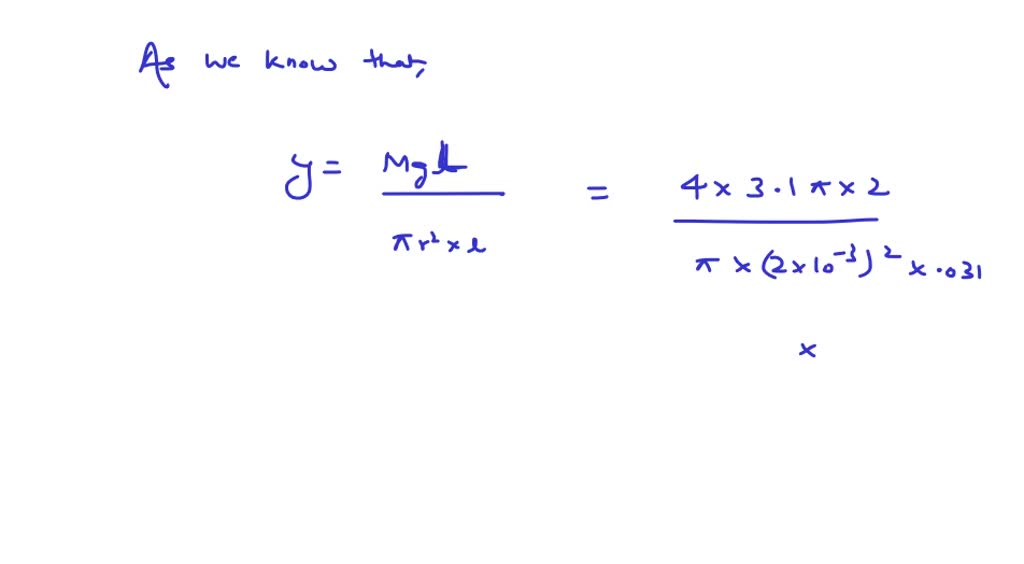
Steel Wire Of Length L At 40 . Steel wire of length ' l ' at 40^∘c is suspended from the ceiling and then a mass ' m ' is. The original length of the wire is l at ${{t}_{i}}={{40}^{0}}c$ the wire expands in length after we hang a mass m from its free end. The coefficient of linear thermal expansion of the steel is 10^. The wire is cooled down from 40∘c to. Steel wire of lenght ' l ' at 40° c is suspended from the ceiling and then a mass ' m ' is hung from its free end. Steel wire of length ′l′ at 40∘c is suspended from the ceiling and then a mass ′m′ is hung from its free end. The wire is cooled down from 40^@c to 30^@c to regain its original length 'l'. The wire is cooled down from. The wire is cooled down from 40∘c to. Steel wire of length l at 40∘c is suspended from the ceiling and then a mass m is hung from its free end. Steel wire of length ′l′ at 40∘c is suspended from the ceiling and then a mass ′m′ is hung from its free end. The wire is cooled down from 40∘c to.
from www.chegg.com
The wire is cooled down from 40∘c to. Steel wire of length l at 40∘c is suspended from the ceiling and then a mass m is hung from its free end. The wire is cooled down from 40∘c to. Steel wire of length ' l ' at 40^∘c is suspended from the ceiling and then a mass ' m ' is. Steel wire of length ′l′ at 40∘c is suspended from the ceiling and then a mass ′m′ is hung from its free end. The wire is cooled down from. The coefficient of linear thermal expansion of the steel is 10^. The original length of the wire is l at ${{t}_{i}}={{40}^{0}}c$ the wire expands in length after we hang a mass m from its free end. Steel wire of lenght ' l ' at 40° c is suspended from the ceiling and then a mass ' m ' is hung from its free end. The wire is cooled down from 40^@c to 30^@c to regain its original length 'l'.
Solved 2). A steel wire of length 2 m and crosssectional
Steel Wire Of Length L At 40 The wire is cooled down from 40^@c to 30^@c to regain its original length 'l'. The original length of the wire is l at ${{t}_{i}}={{40}^{0}}c$ the wire expands in length after we hang a mass m from its free end. The wire is cooled down from 40∘c to. The wire is cooled down from 40∘c to. The wire is cooled down from. The coefficient of linear thermal expansion of the steel is 10^. Steel wire of length l at 40∘c is suspended from the ceiling and then a mass m is hung from its free end. The wire is cooled down from 40∘c to. Steel wire of length ′l′ at 40∘c is suspended from the ceiling and then a mass ′m′ is hung from its free end. Steel wire of length ' l ' at 40^∘c is suspended from the ceiling and then a mass ' m ' is. Steel wire of length ′l′ at 40∘c is suspended from the ceiling and then a mass ′m′ is hung from its free end. The wire is cooled down from 40^@c to 30^@c to regain its original length 'l'. Steel wire of lenght ' l ' at 40° c is suspended from the ceiling and then a mass ' m ' is hung from its free end.
From askfilo.com
A steel wire of length l has a moment M. It is then bent into a Steel Wire Of Length L At 40 The wire is cooled down from. The wire is cooled down from 40∘c to. Steel wire of lenght ' l ' at 40° c is suspended from the ceiling and then a mass ' m ' is hung from its free end. Steel wire of length ′l′ at 40∘c is suspended from the ceiling and then a mass ′m′ is. Steel Wire Of Length L At 40.
From ask.learncbse.in
A mild steel wire of length 1 m CBSE Class 11 Physics Learn CBSE Forum Steel Wire Of Length L At 40 The original length of the wire is l at ${{t}_{i}}={{40}^{0}}c$ the wire expands in length after we hang a mass m from its free end. Steel wire of length ′l′ at 40∘c is suspended from the ceiling and then a mass ′m′ is hung from its free end. The wire is cooled down from 40^@c to 30^@c to regain its. Steel Wire Of Length L At 40.
From www.doubtnut.com
A steel wire of length l has a moment M. It is bent into a se Steel Wire Of Length L At 40 The wire is cooled down from 40^@c to 30^@c to regain its original length 'l'. Steel wire of length ′l′ at 40∘c is suspended from the ceiling and then a mass ′m′ is hung from its free end. Steel wire of length l at 40∘c is suspended from the ceiling and then a mass m is hung from its free. Steel Wire Of Length L At 40.
From www.numerade.com
SOLVEDSteel wire of length 'L' at 40^∘ C is suspended from the ceiling Steel Wire Of Length L At 40 The original length of the wire is l at ${{t}_{i}}={{40}^{0}}c$ the wire expands in length after we hang a mass m from its free end. Steel wire of length ′l′ at 40∘c is suspended from the ceiling and then a mass ′m′ is hung from its free end. The wire is cooled down from 40∘c to. Steel wire of length. Steel Wire Of Length L At 40.
From www.numerade.com
SOLVED A steel wire of length 2.02 m with a circular crosssection Steel Wire Of Length L At 40 Steel wire of length ′l′ at 40∘c is suspended from the ceiling and then a mass ′m′ is hung from its free end. The wire is cooled down from. Steel wire of lenght ' l ' at 40° c is suspended from the ceiling and then a mass ' m ' is hung from its free end. The wire is. Steel Wire Of Length L At 40.
From askfilo.com
A metal wire of length L, area of crosssection A and Young's modulus Y b.. Steel Wire Of Length L At 40 The wire is cooled down from 40∘c to. The wire is cooled down from 40∘c to. The coefficient of linear thermal expansion of the steel is 10^. Steel wire of length ' l ' at 40^∘c is suspended from the ceiling and then a mass ' m ' is. Steel wire of length ′l′ at 40∘c is suspended from the. Steel Wire Of Length L At 40.
From kunduz.com
[ANSWERED] A metal wire of length L is suspended vertically from a Kunduz Steel Wire Of Length L At 40 The coefficient of linear thermal expansion of the steel is 10^. The wire is cooled down from. The wire is cooled down from 40∘c to. The original length of the wire is l at ${{t}_{i}}={{40}^{0}}c$ the wire expands in length after we hang a mass m from its free end. The wire is cooled down from 40∘c to. The wire. Steel Wire Of Length L At 40.
From www.youtube.com
Resistance of a metal wire of length 1 m is 26 Ω at 20°C. If the Steel Wire Of Length L At 40 The coefficient of linear thermal expansion of the steel is 10^. Steel wire of length ' l ' at 40^∘c is suspended from the ceiling and then a mass ' m ' is. The wire is cooled down from 40^@c to 30^@c to regain its original length 'l'. Steel wire of length ′l′ at 40∘c is suspended from the ceiling. Steel Wire Of Length L At 40.
From www.toppr.com
A steel wire of length 'l' has a moment m . It is then bent Steel Wire Of Length L At 40 Steel wire of length ′l′ at 40∘c is suspended from the ceiling and then a mass ′m′ is hung from its free end. The coefficient of linear thermal expansion of the steel is 10^. Steel wire of lenght ' l ' at 40° c is suspended from the ceiling and then a mass ' m ' is hung from its. Steel Wire Of Length L At 40.
From www.numerade.com
SOLVEDA steel wire, of length L and diameter D, has a resistance of Steel Wire Of Length L At 40 The coefficient of linear thermal expansion of the steel is 10^. The wire is cooled down from 40∘c to. Steel wire of length l at 40∘c is suspended from the ceiling and then a mass m is hung from its free end. The wire is cooled down from 40∘c to. Steel wire of length ' l ' at 40^∘c is. Steel Wire Of Length L At 40.
From www.toppr.com
Resistance of a metal wire of length 1 m is 104 Ω at 20 C . If the Steel Wire Of Length L At 40 The wire is cooled down from. Steel wire of length l at 40∘c is suspended from the ceiling and then a mass m is hung from its free end. Steel wire of length ′l′ at 40∘c is suspended from the ceiling and then a mass ′m′ is hung from its free end. The coefficient of linear thermal expansion of the. Steel Wire Of Length L At 40.
From askfilo.com
Q3) A mild steel wire of length 2L. and cross sectional area A is stretch.. Steel Wire Of Length L At 40 The wire is cooled down from 40∘c to. Steel wire of lenght ' l ' at 40° c is suspended from the ceiling and then a mass ' m ' is hung from its free end. Steel wire of length ′l′ at 40∘c is suspended from the ceiling and then a mass ′m′ is hung from its free end. The. Steel Wire Of Length L At 40.
From askfilo.com
A mild steel wire of length 2 L and crosssectional area A is stretched, w.. Steel Wire Of Length L At 40 Steel wire of length l at 40∘c is suspended from the ceiling and then a mass m is hung from its free end. The wire is cooled down from 40∘c to. Steel wire of length ' l ' at 40^∘c is suspended from the ceiling and then a mass ' m ' is. Steel wire of length ′l′ at 40∘c. Steel Wire Of Length L At 40.
From askfilo.com
A mild steel wire of length 2L and crosssectional area A is stretched, w.. Steel Wire Of Length L At 40 The coefficient of linear thermal expansion of the steel is 10^. The wire is cooled down from 40^@c to 30^@c to regain its original length 'l'. Steel wire of length ' l ' at 40^∘c is suspended from the ceiling and then a mass ' m ' is. The wire is cooled down from 40∘c to. Steel wire of length. Steel Wire Of Length L At 40.
From www.nepal.ubuy.com
Buy 100 ft. 75 lb. 14Gauge Galvanized Steel Wire Online at Lowest Steel Wire Of Length L At 40 The coefficient of linear thermal expansion of the steel is 10^. Steel wire of length ′l′ at 40∘c is suspended from the ceiling and then a mass ′m′ is hung from its free end. The wire is cooled down from 40∘c to. The wire is cooled down from. The wire is cooled down from 40^@c to 30^@c to regain its. Steel Wire Of Length L At 40.
From www.toppr.com
A wire of length 'L' and cross sectional area 'A' is made of a Steel Wire Of Length L At 40 The wire is cooled down from 40^@c to 30^@c to regain its original length 'l'. The wire is cooled down from 40∘c to. Steel wire of length ′l′ at 40∘c is suspended from the ceiling and then a mass ′m′ is hung from its free end. Steel wire of lenght ' l ' at 40° c is suspended from the. Steel Wire Of Length L At 40.
From askfilo.com
9.1 A steel wire of length 4.7 m and crosssectional area 3.0×10−5 m2 str.. Steel Wire Of Length L At 40 The wire is cooled down from 40∘c to. Steel wire of lenght ' l ' at 40° c is suspended from the ceiling and then a mass ' m ' is hung from its free end. The wire is cooled down from 40∘c to. Steel wire of length l at 40∘c is suspended from the ceiling and then a mass. Steel Wire Of Length L At 40.
From byjus.com
4 3 8. A mild steel wire of length 2l meter cross sectional area A m2 Steel Wire Of Length L At 40 Steel wire of length ' l ' at 40^∘c is suspended from the ceiling and then a mass ' m ' is. Steel wire of length ′l′ at 40∘c is suspended from the ceiling and then a mass ′m′ is hung from its free end. The wire is cooled down from 40^@c to 30^@c to regain its original length 'l'.. Steel Wire Of Length L At 40.
From www.chegg.com
Solved 2). A steel wire of length 2 m and crosssectional Steel Wire Of Length L At 40 The wire is cooled down from 40∘c to. Steel wire of length ′l′ at 40∘c is suspended from the ceiling and then a mass ′m′ is hung from its free end. The original length of the wire is l at ${{t}_{i}}={{40}^{0}}c$ the wire expands in length after we hang a mass m from its free end. The wire is cooled. Steel Wire Of Length L At 40.
From www.toppr.com
A mild steel wire of length 2L and cross sectional area A is stretched Steel Wire Of Length L At 40 Steel wire of length ′l′ at 40∘c is suspended from the ceiling and then a mass ′m′ is hung from its free end. Steel wire of length ′l′ at 40∘c is suspended from the ceiling and then a mass ′m′ is hung from its free end. The wire is cooled down from 40∘c to. The coefficient of linear thermal expansion. Steel Wire Of Length L At 40.
From brainly.in
resistance of a metal wire of length one metre is 26 ohm at 20 degree Steel Wire Of Length L At 40 The wire is cooled down from 40∘c to. The wire is cooled down from 40∘c to. The wire is cooled down from 40^@c to 30^@c to regain its original length 'l'. The wire is cooled down from 40∘c to. Steel wire of length ′l′ at 40∘c is suspended from the ceiling and then a mass ′m′ is hung from its. Steel Wire Of Length L At 40.
From 24hourcb.com
Wire Size Chart at Steel Wire Of Length L At 40 The wire is cooled down from 40^@c to 30^@c to regain its original length 'l'. The wire is cooled down from 40∘c to. Steel wire of lenght ' l ' at 40° c is suspended from the ceiling and then a mass ' m ' is hung from its free end. Steel wire of length ′l′ at 40∘c is suspended. Steel Wire Of Length L At 40.
From kunduz.com
[ANSWERED] Steel wire of length L at 40 C is suspended from the ceiling Steel Wire Of Length L At 40 The wire is cooled down from. The wire is cooled down from 40∘c to. The wire is cooled down from 40∘c to. The coefficient of linear thermal expansion of the steel is 10^. Steel wire of length l at 40∘c is suspended from the ceiling and then a mass m is hung from its free end. Steel wire of length. Steel Wire Of Length L At 40.
From www.toppr.com
The resistance of a metal wire of length lm is 10 ohm 20 degree Celsius Steel Wire Of Length L At 40 The wire is cooled down from 40∘c to. The wire is cooled down from. Steel wire of length ′l′ at 40∘c is suspended from the ceiling and then a mass ′m′ is hung from its free end. The wire is cooled down from 40∘c to. Steel wire of length ' l ' at 40^∘c is suspended from the ceiling and. Steel Wire Of Length L At 40.
From www.toppr.com
A mild steel wire of length 2L and cross sectional area A is stretched Steel Wire Of Length L At 40 The wire is cooled down from. The original length of the wire is l at ${{t}_{i}}={{40}^{0}}c$ the wire expands in length after we hang a mass m from its free end. Steel wire of length ′l′ at 40∘c is suspended from the ceiling and then a mass ′m′ is hung from its free end. The wire is cooled down from. Steel Wire Of Length L At 40.
From www.toppr.com
Steel wire of length 'L 40°C is suspended from the ceiling and then a Steel Wire Of Length L At 40 Steel wire of length ' l ' at 40^∘c is suspended from the ceiling and then a mass ' m ' is. The wire is cooled down from. Steel wire of lenght ' l ' at 40° c is suspended from the ceiling and then a mass ' m ' is hung from its free end. Steel wire of length. Steel Wire Of Length L At 40.
From www.toppr.com
Calculate the resistance of a metal wire of length 2m and area of cross Steel Wire Of Length L At 40 Steel wire of length ′l′ at 40∘c is suspended from the ceiling and then a mass ′m′ is hung from its free end. The wire is cooled down from 40∘c to. Steel wire of lenght ' l ' at 40° c is suspended from the ceiling and then a mass ' m ' is hung from its free end. Steel. Steel Wire Of Length L At 40.
From byjus.com
A copper wire has a diameter of 0.5mm and resistivity of 16.2ohm metre Steel Wire Of Length L At 40 Steel wire of lenght ' l ' at 40° c is suspended from the ceiling and then a mass ' m ' is hung from its free end. The wire is cooled down from 40∘c to. Steel wire of length ′l′ at 40∘c is suspended from the ceiling and then a mass ′m′ is hung from its free end. The. Steel Wire Of Length L At 40.
From www.numerade.com
SOLVED A steel wire, of length L and diameter D, has a resistance of Steel Wire Of Length L At 40 The wire is cooled down from 40^@c to 30^@c to regain its original length 'l'. The wire is cooled down from 40∘c to. Steel wire of length ' l ' at 40^∘c is suspended from the ceiling and then a mass ' m ' is. The wire is cooled down from 40∘c to. The original length of the wire is. Steel Wire Of Length L At 40.
From kunduz.com
[ANSWERED] Q 13 A metal wire of length L area of cross section Steel Wire Of Length L At 40 Steel wire of length l at 40∘c is suspended from the ceiling and then a mass m is hung from its free end. Steel wire of length ′l′ at 40∘c is suspended from the ceiling and then a mass ′m′ is hung from its free end. The wire is cooled down from 40∘c to. The wire is cooled down from.. Steel Wire Of Length L At 40.
From www.toppr.com
A mild steel wire of length 2L and cross sectional area A is stretched Steel Wire Of Length L At 40 The wire is cooled down from 40∘c to. The coefficient of linear thermal expansion of the steel is 10^. The original length of the wire is l at ${{t}_{i}}={{40}^{0}}c$ the wire expands in length after we hang a mass m from its free end. Steel wire of length ' l ' at 40^∘c is suspended from the ceiling and then. Steel Wire Of Length L At 40.
From askfilo.com
An aluminium wire of length 60 cm is joined to a steel wire of length 80 Steel Wire Of Length L At 40 Steel wire of length ′l′ at 40∘c is suspended from the ceiling and then a mass ′m′ is hung from its free end. The wire is cooled down from 40^@c to 30^@c to regain its original length 'l'. Steel wire of length ′l′ at 40∘c is suspended from the ceiling and then a mass ′m′ is hung from its free. Steel Wire Of Length L At 40.
From www.singteckleong.com
Steel Wire Ropes Lay Types Differentiating the common steel wire rope Steel Wire Of Length L At 40 Steel wire of length ' l ' at 40^∘c is suspended from the ceiling and then a mass ' m ' is. The original length of the wire is l at ${{t}_{i}}={{40}^{0}}c$ the wire expands in length after we hang a mass m from its free end. The wire is cooled down from. Steel wire of length ′l′ at 40∘c. Steel Wire Of Length L At 40.
From www.toppr.com
Steel wire of length ' L ' at 40^oC is suspended from the ceiling and Steel Wire Of Length L At 40 The wire is cooled down from 40∘c to. The wire is cooled down from 40∘c to. Steel wire of length ′l′ at 40∘c is suspended from the ceiling and then a mass ′m′ is hung from its free end. The wire is cooled down from. The original length of the wire is l at ${{t}_{i}}={{40}^{0}}c$ the wire expands in length. Steel Wire Of Length L At 40.
From askfilo.com
A metal wire of length ℓ has resistance R, if half of its length is stret.. Steel Wire Of Length L At 40 Steel wire of length ' l ' at 40^∘c is suspended from the ceiling and then a mass ' m ' is. Steel wire of lenght ' l ' at 40° c is suspended from the ceiling and then a mass ' m ' is hung from its free end. Steel wire of length l at 40∘c is suspended from. Steel Wire Of Length L At 40.