Magnesium + Iron(Iii) Chloride Equation . Iron (iii) chloride is the limiting reactant and 14.8g of magnesium are left in excess. First, we set all coefficients to 1: Magnesium is the limiting reactant and 10g of iron (iii). 1 fecl 3 + 1 mg = 1 fe + 1 mgcl 2 for each element, we. An aqueous solution of iron (iii) chloride reacts with magnesium solid to give solid iron an aqueous magnesium chloride. The balanced chemical equation for the reaction between solid magnesium (mg) and aqueous iron(iii) chloride (fecl3) to form solid iron (fe). Pbso4 + hcl = pbcl2 + h2so4 hno3 + mg = mg (no3)2 + h2 fe + hcl = h2 + fecl2 Chemical equation (h2o = h + o) Let's balance this equation using the inspection method. By convention, the lowest whole number ratio is used in the formulas of ionic compounds. Note the acetic acid, a weak electrolyte, is only ionized in solution to a small extent and, consequently, is written in the molecular way.
from www.researchgate.net
The balanced chemical equation for the reaction between solid magnesium (mg) and aqueous iron(iii) chloride (fecl3) to form solid iron (fe). Let's balance this equation using the inspection method. Pbso4 + hcl = pbcl2 + h2so4 hno3 + mg = mg (no3)2 + h2 fe + hcl = h2 + fecl2 An aqueous solution of iron (iii) chloride reacts with magnesium solid to give solid iron an aqueous magnesium chloride. 1 fecl 3 + 1 mg = 1 fe + 1 mgcl 2 for each element, we. By convention, the lowest whole number ratio is used in the formulas of ionic compounds. Chemical equation (h2o = h + o) Magnesium is the limiting reactant and 10g of iron (iii). Iron (iii) chloride is the limiting reactant and 14.8g of magnesium are left in excess. Note the acetic acid, a weak electrolyte, is only ionized in solution to a small extent and, consequently, is written in the molecular way.
16. The rest of the iron and magnesium chlorides in the chlorination
Magnesium + Iron(Iii) Chloride Equation Note the acetic acid, a weak electrolyte, is only ionized in solution to a small extent and, consequently, is written in the molecular way. Magnesium is the limiting reactant and 10g of iron (iii). An aqueous solution of iron (iii) chloride reacts with magnesium solid to give solid iron an aqueous magnesium chloride. Iron (iii) chloride is the limiting reactant and 14.8g of magnesium are left in excess. By convention, the lowest whole number ratio is used in the formulas of ionic compounds. Let's balance this equation using the inspection method. Pbso4 + hcl = pbcl2 + h2so4 hno3 + mg = mg (no3)2 + h2 fe + hcl = h2 + fecl2 Chemical equation (h2o = h + o) First, we set all coefficients to 1: Note the acetic acid, a weak electrolyte, is only ionized in solution to a small extent and, consequently, is written in the molecular way. The balanced chemical equation for the reaction between solid magnesium (mg) and aqueous iron(iii) chloride (fecl3) to form solid iron (fe). 1 fecl 3 + 1 mg = 1 fe + 1 mgcl 2 for each element, we.
From www.slideserve.com
PPT Double Replacement 1. Hydrogen sulfide is bubbled through a Magnesium + Iron(Iii) Chloride Equation An aqueous solution of iron (iii) chloride reacts with magnesium solid to give solid iron an aqueous magnesium chloride. Pbso4 + hcl = pbcl2 + h2so4 hno3 + mg = mg (no3)2 + h2 fe + hcl = h2 + fecl2 Iron (iii) chloride is the limiting reactant and 14.8g of magnesium are left in excess. By convention, the lowest. Magnesium + Iron(Iii) Chloride Equation.
From testbook.com
Iron (III) Chloride Formula Know Structure, Preparation,& Uses Magnesium + Iron(Iii) Chloride Equation An aqueous solution of iron (iii) chloride reacts with magnesium solid to give solid iron an aqueous magnesium chloride. Chemical equation (h2o = h + o) Iron (iii) chloride is the limiting reactant and 14.8g of magnesium are left in excess. Magnesium is the limiting reactant and 10g of iron (iii). By convention, the lowest whole number ratio is used. Magnesium + Iron(Iii) Chloride Equation.
From www.slideserve.com
PPT Preview PowerPoint Presentation, free download ID6531641 Magnesium + Iron(Iii) Chloride Equation By convention, the lowest whole number ratio is used in the formulas of ionic compounds. Magnesium is the limiting reactant and 10g of iron (iii). Iron (iii) chloride is the limiting reactant and 14.8g of magnesium are left in excess. Note the acetic acid, a weak electrolyte, is only ionized in solution to a small extent and, consequently, is written. Magnesium + Iron(Iii) Chloride Equation.
From www.coursehero.com
[Solved] A chemist prepares a solution of iron (III) chloride (FeCl Magnesium + Iron(Iii) Chloride Equation 1 fecl 3 + 1 mg = 1 fe + 1 mgcl 2 for each element, we. Let's balance this equation using the inspection method. By convention, the lowest whole number ratio is used in the formulas of ionic compounds. Chemical equation (h2o = h + o) Magnesium is the limiting reactant and 10g of iron (iii). The balanced chemical. Magnesium + Iron(Iii) Chloride Equation.
From loetrsxww.blob.core.windows.net
Hydrolysis Of Iron(Iii) Chloride Equation at Lamphere blog Magnesium + Iron(Iii) Chloride Equation Magnesium is the limiting reactant and 10g of iron (iii). Iron (iii) chloride is the limiting reactant and 14.8g of magnesium are left in excess. 1 fecl 3 + 1 mg = 1 fe + 1 mgcl 2 for each element, we. Pbso4 + hcl = pbcl2 + h2so4 hno3 + mg = mg (no3)2 + h2 fe + hcl. Magnesium + Iron(Iii) Chloride Equation.
From brainly.com
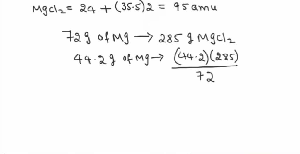
Magnesium reacts with iron chloride solution. Calculate the mass of Magnesium + Iron(Iii) Chloride Equation Magnesium is the limiting reactant and 10g of iron (iii). An aqueous solution of iron (iii) chloride reacts with magnesium solid to give solid iron an aqueous magnesium chloride. 1 fecl 3 + 1 mg = 1 fe + 1 mgcl 2 for each element, we. By convention, the lowest whole number ratio is used in the formulas of ionic. Magnesium + Iron(Iii) Chloride Equation.
From www.researchgate.net
16. The rest of the iron and magnesium chlorides in the chlorination Magnesium + Iron(Iii) Chloride Equation Chemical equation (h2o = h + o) Let's balance this equation using the inspection method. Note the acetic acid, a weak electrolyte, is only ionized in solution to a small extent and, consequently, is written in the molecular way. First, we set all coefficients to 1: The balanced chemical equation for the reaction between solid magnesium (mg) and aqueous iron(iii). Magnesium + Iron(Iii) Chloride Equation.
From signalticket9.pythonanywhere.com
Unbelievable Magnesium Chloride Balanced Equation Maths Formulas For Magnesium + Iron(Iii) Chloride Equation Pbso4 + hcl = pbcl2 + h2so4 hno3 + mg = mg (no3)2 + h2 fe + hcl = h2 + fecl2 An aqueous solution of iron (iii) chloride reacts with magnesium solid to give solid iron an aqueous magnesium chloride. Note the acetic acid, a weak electrolyte, is only ionized in solution to a small extent and, consequently, is. Magnesium + Iron(Iii) Chloride Equation.
From slideplayer.com
Chapter 7 Notes Chemical Formulas West Valley High School ppt download Magnesium + Iron(Iii) Chloride Equation Pbso4 + hcl = pbcl2 + h2so4 hno3 + mg = mg (no3)2 + h2 fe + hcl = h2 + fecl2 An aqueous solution of iron (iii) chloride reacts with magnesium solid to give solid iron an aqueous magnesium chloride. Magnesium is the limiting reactant and 10g of iron (iii). Chemical equation (h2o = h + o) Let's balance. Magnesium + Iron(Iii) Chloride Equation.
From www.doubtnut.com
Statement1 is True, Statement2 is False Magnesium + Iron(Iii) Chloride Equation Note the acetic acid, a weak electrolyte, is only ionized in solution to a small extent and, consequently, is written in the molecular way. Magnesium is the limiting reactant and 10g of iron (iii). By convention, the lowest whole number ratio is used in the formulas of ionic compounds. First, we set all coefficients to 1: 1 fecl 3 +. Magnesium + Iron(Iii) Chloride Equation.
From loetrsxww.blob.core.windows.net
Hydrolysis Of Iron(Iii) Chloride Equation at Lamphere blog Magnesium + Iron(Iii) Chloride Equation The balanced chemical equation for the reaction between solid magnesium (mg) and aqueous iron(iii) chloride (fecl3) to form solid iron (fe). Iron (iii) chloride is the limiting reactant and 14.8g of magnesium are left in excess. Pbso4 + hcl = pbcl2 + h2so4 hno3 + mg = mg (no3)2 + h2 fe + hcl = h2 + fecl2 Chemical equation. Magnesium + Iron(Iii) Chloride Equation.
From www.slideserve.com
PPT Magnesium metal is added to nitrogen gas PowerPoint Presentation Magnesium + Iron(Iii) Chloride Equation By convention, the lowest whole number ratio is used in the formulas of ionic compounds. Let's balance this equation using the inspection method. An aqueous solution of iron (iii) chloride reacts with magnesium solid to give solid iron an aqueous magnesium chloride. First, we set all coefficients to 1: Iron (iii) chloride is the limiting reactant and 14.8g of magnesium. Magnesium + Iron(Iii) Chloride Equation.
From loetrsxww.blob.core.windows.net
Hydrolysis Of Iron(Iii) Chloride Equation at Lamphere blog Magnesium + Iron(Iii) Chloride Equation Note the acetic acid, a weak electrolyte, is only ionized in solution to a small extent and, consequently, is written in the molecular way. The balanced chemical equation for the reaction between solid magnesium (mg) and aqueous iron(iii) chloride (fecl3) to form solid iron (fe). Iron (iii) chloride is the limiting reactant and 14.8g of magnesium are left in excess.. Magnesium + Iron(Iii) Chloride Equation.
From www.chegg.com
Solved When iron (III) chloride and hydrogen sulfide react Magnesium + Iron(Iii) Chloride Equation Chemical equation (h2o = h + o) The balanced chemical equation for the reaction between solid magnesium (mg) and aqueous iron(iii) chloride (fecl3) to form solid iron (fe). By convention, the lowest whole number ratio is used in the formulas of ionic compounds. Iron (iii) chloride is the limiting reactant and 14.8g of magnesium are left in excess. Magnesium is. Magnesium + Iron(Iii) Chloride Equation.
From www.numerade.com
SOLVED An aqueous solution of magnesium chloride, MgCl2, is added to Magnesium + Iron(Iii) Chloride Equation An aqueous solution of iron (iii) chloride reacts with magnesium solid to give solid iron an aqueous magnesium chloride. By convention, the lowest whole number ratio is used in the formulas of ionic compounds. Iron (iii) chloride is the limiting reactant and 14.8g of magnesium are left in excess. 1 fecl 3 + 1 mg = 1 fe + 1. Magnesium + Iron(Iii) Chloride Equation.
From www.bartleby.com
Answered The Iron metal reacts with chlorine gas… bartleby Magnesium + Iron(Iii) Chloride Equation Magnesium is the limiting reactant and 10g of iron (iii). Let's balance this equation using the inspection method. Chemical equation (h2o = h + o) Note the acetic acid, a weak electrolyte, is only ionized in solution to a small extent and, consequently, is written in the molecular way. Iron (iii) chloride is the limiting reactant and 14.8g of magnesium. Magnesium + Iron(Iii) Chloride Equation.
From www.nagwa.com
Question Video Identifying the Equation That Describes What Happens to Magnesium + Iron(Iii) Chloride Equation Pbso4 + hcl = pbcl2 + h2so4 hno3 + mg = mg (no3)2 + h2 fe + hcl = h2 + fecl2 1 fecl 3 + 1 mg = 1 fe + 1 mgcl 2 for each element, we. The balanced chemical equation for the reaction between solid magnesium (mg) and aqueous iron(iii) chloride (fecl3) to form solid iron (fe).. Magnesium + Iron(Iii) Chloride Equation.
From www.slideserve.com
PPT Prentice Hall Chemistry (c) 2005 PowerPoint Presentation ID6658952 Magnesium + Iron(Iii) Chloride Equation Note the acetic acid, a weak electrolyte, is only ionized in solution to a small extent and, consequently, is written in the molecular way. Chemical equation (h2o = h + o) 1 fecl 3 + 1 mg = 1 fe + 1 mgcl 2 for each element, we. Pbso4 + hcl = pbcl2 + h2so4 hno3 + mg = mg. Magnesium + Iron(Iii) Chloride Equation.
From app.pandai.org
Chemical Formulae Magnesium + Iron(Iii) Chloride Equation First, we set all coefficients to 1: Note the acetic acid, a weak electrolyte, is only ionized in solution to a small extent and, consequently, is written in the molecular way. An aqueous solution of iron (iii) chloride reacts with magnesium solid to give solid iron an aqueous magnesium chloride. Pbso4 + hcl = pbcl2 + h2so4 hno3 + mg. Magnesium + Iron(Iii) Chloride Equation.
From slideplayer.com
Chapter 7 Compounds and Their Bonds ppt download Magnesium + Iron(Iii) Chloride Equation Magnesium is the limiting reactant and 10g of iron (iii). Chemical equation (h2o = h + o) Let's balance this equation using the inspection method. 1 fecl 3 + 1 mg = 1 fe + 1 mgcl 2 for each element, we. First, we set all coefficients to 1: Note the acetic acid, a weak electrolyte, is only ionized in. Magnesium + Iron(Iii) Chloride Equation.
From www.chegg.com
Solved (4pts) For the reaction of iron(III) chloride and Magnesium + Iron(Iii) Chloride Equation Note the acetic acid, a weak electrolyte, is only ionized in solution to a small extent and, consequently, is written in the molecular way. By convention, the lowest whole number ratio is used in the formulas of ionic compounds. First, we set all coefficients to 1: Chemical equation (h2o = h + o) An aqueous solution of iron (iii) chloride. Magnesium + Iron(Iii) Chloride Equation.
From www.numerade.com
SOLVED Magnesium reacts with iron(III) chloride to form magnesium Magnesium + Iron(Iii) Chloride Equation 1 fecl 3 + 1 mg = 1 fe + 1 mgcl 2 for each element, we. An aqueous solution of iron (iii) chloride reacts with magnesium solid to give solid iron an aqueous magnesium chloride. The balanced chemical equation for the reaction between solid magnesium (mg) and aqueous iron(iii) chloride (fecl3) to form solid iron (fe). Pbso4 + hcl. Magnesium + Iron(Iii) Chloride Equation.
From www.youtube.com
How to write the formula for iron (III) chloride YouTube Magnesium + Iron(Iii) Chloride Equation An aqueous solution of iron (iii) chloride reacts with magnesium solid to give solid iron an aqueous magnesium chloride. Iron (iii) chloride is the limiting reactant and 14.8g of magnesium are left in excess. First, we set all coefficients to 1: 1 fecl 3 + 1 mg = 1 fe + 1 mgcl 2 for each element, we. Let's balance. Magnesium + Iron(Iii) Chloride Equation.
From www.youtube.com
How to Write the Formula for Iron (III) chloride YouTube Magnesium + Iron(Iii) Chloride Equation Let's balance this equation using the inspection method. First, we set all coefficients to 1: Iron (iii) chloride is the limiting reactant and 14.8g of magnesium are left in excess. Magnesium is the limiting reactant and 10g of iron (iii). An aqueous solution of iron (iii) chloride reacts with magnesium solid to give solid iron an aqueous magnesium chloride. Note. Magnesium + Iron(Iii) Chloride Equation.
From davis-well-rodgers.blogspot.com
Iron Iii Chloride and Sodium Hydroxide Ionic Equation DaviswellRodgers Magnesium + Iron(Iii) Chloride Equation An aqueous solution of iron (iii) chloride reacts with magnesium solid to give solid iron an aqueous magnesium chloride. By convention, the lowest whole number ratio is used in the formulas of ionic compounds. Let's balance this equation using the inspection method. The balanced chemical equation for the reaction between solid magnesium (mg) and aqueous iron(iii) chloride (fecl3) to form. Magnesium + Iron(Iii) Chloride Equation.
From www.coursehero.com
[Solved] When iron (III) chloride and hydrogen sulfide react in the gas Magnesium + Iron(Iii) Chloride Equation Let's balance this equation using the inspection method. 1 fecl 3 + 1 mg = 1 fe + 1 mgcl 2 for each element, we. Pbso4 + hcl = pbcl2 + h2so4 hno3 + mg = mg (no3)2 + h2 fe + hcl = h2 + fecl2 Iron (iii) chloride is the limiting reactant and 14.8g of magnesium are left. Magnesium + Iron(Iii) Chloride Equation.
From www.slideserve.com
PPT AP Net Ionic Equations PowerPoint Presentation, free download Magnesium + Iron(Iii) Chloride Equation Note the acetic acid, a weak electrolyte, is only ionized in solution to a small extent and, consequently, is written in the molecular way. Magnesium is the limiting reactant and 10g of iron (iii). 1 fecl 3 + 1 mg = 1 fe + 1 mgcl 2 for each element, we. Chemical equation (h2o = h + o) Pbso4 +. Magnesium + Iron(Iii) Chloride Equation.
From www.numerade.com
SOLVED Solid magnesium reacts with aqueous iron(III) chloride to form Magnesium + Iron(Iii) Chloride Equation Chemical equation (h2o = h + o) Magnesium is the limiting reactant and 10g of iron (iii). 1 fecl 3 + 1 mg = 1 fe + 1 mgcl 2 for each element, we. Note the acetic acid, a weak electrolyte, is only ionized in solution to a small extent and, consequently, is written in the molecular way. By convention,. Magnesium + Iron(Iii) Chloride Equation.
From www.slideserve.com
PPT Balancing Equations ANSWER KEY PowerPoint Presentation ID2276630 Magnesium + Iron(Iii) Chloride Equation By convention, the lowest whole number ratio is used in the formulas of ionic compounds. Magnesium is the limiting reactant and 10g of iron (iii). Chemical equation (h2o = h + o) Iron (iii) chloride is the limiting reactant and 14.8g of magnesium are left in excess. An aqueous solution of iron (iii) chloride reacts with magnesium solid to give. Magnesium + Iron(Iii) Chloride Equation.
From www.numerade.com
SOLVED 9. iron(III) chloride and magnesium metal Molecular Equation Magnesium + Iron(Iii) Chloride Equation Let's balance this equation using the inspection method. By convention, the lowest whole number ratio is used in the formulas of ionic compounds. Note the acetic acid, a weak electrolyte, is only ionized in solution to a small extent and, consequently, is written in the molecular way. First, we set all coefficients to 1: Pbso4 + hcl = pbcl2 +. Magnesium + Iron(Iii) Chloride Equation.
From www.numerade.com
SOLVEDThe reaction of iron metal and chlorine gas to give iron(III Magnesium + Iron(Iii) Chloride Equation Let's balance this equation using the inspection method. Pbso4 + hcl = pbcl2 + h2so4 hno3 + mg = mg (no3)2 + h2 fe + hcl = h2 + fecl2 By convention, the lowest whole number ratio is used in the formulas of ionic compounds. Iron (iii) chloride is the limiting reactant and 14.8g of magnesium are left in excess.. Magnesium + Iron(Iii) Chloride Equation.
From www.shutterstock.com
Iron Iii Chloride Handwritten Chemical Formula Stock Illustration Magnesium + Iron(Iii) Chloride Equation First, we set all coefficients to 1: An aqueous solution of iron (iii) chloride reacts with magnesium solid to give solid iron an aqueous magnesium chloride. 1 fecl 3 + 1 mg = 1 fe + 1 mgcl 2 for each element, we. Iron (iii) chloride is the limiting reactant and 14.8g of magnesium are left in excess. By convention,. Magnesium + Iron(Iii) Chloride Equation.
From www.slideserve.com
PPT Oral assessment PowerPoint Presentation, free download ID3444733 Magnesium + Iron(Iii) Chloride Equation Iron (iii) chloride is the limiting reactant and 14.8g of magnesium are left in excess. Let's balance this equation using the inspection method. An aqueous solution of iron (iii) chloride reacts with magnesium solid to give solid iron an aqueous magnesium chloride. Note the acetic acid, a weak electrolyte, is only ionized in solution to a small extent and, consequently,. Magnesium + Iron(Iii) Chloride Equation.
From www.youtube.com
Iron(iii) Chloride Preparation YouTube Magnesium + Iron(Iii) Chloride Equation Iron (iii) chloride is the limiting reactant and 14.8g of magnesium are left in excess. Pbso4 + hcl = pbcl2 + h2so4 hno3 + mg = mg (no3)2 + h2 fe + hcl = h2 + fecl2 The balanced chemical equation for the reaction between solid magnesium (mg) and aqueous iron(iii) chloride (fecl3) to form solid iron (fe). Chemical equation. Magnesium + Iron(Iii) Chloride Equation.
From www.youtube.com
Lewis Structure of Iron (III) Chloride, FeCl3 YouTube Magnesium + Iron(Iii) Chloride Equation Let's balance this equation using the inspection method. By convention, the lowest whole number ratio is used in the formulas of ionic compounds. 1 fecl 3 + 1 mg = 1 fe + 1 mgcl 2 for each element, we. Note the acetic acid, a weak electrolyte, is only ionized in solution to a small extent and, consequently, is written. Magnesium + Iron(Iii) Chloride Equation.