Liquid Bromine Flash Point . National institute for occupational safety and health. Follow the osha respirator regulations found in 29 cfr 1910.134 or european standard en 149. Use a niosh/msha or european standard en 149. Boiling point 139°f molecular weight 159.8 freezing. Severely painful and destructive eye burns may result from contact with either liquid or concentrated vapors of bromine. The following neutralizing agents for liquid bromine. Bromine is a chemical element; It has symbol br and atomic number 35.
        
        from www.numerade.com 
     
        
        The following neutralizing agents for liquid bromine. Bromine is a chemical element; Follow the osha respirator regulations found in 29 cfr 1910.134 or european standard en 149. Boiling point 139°f molecular weight 159.8 freezing. National institute for occupational safety and health. It has symbol br and atomic number 35. Use a niosh/msha or european standard en 149. Severely painful and destructive eye burns may result from contact with either liquid or concentrated vapors of bromine.
    
    	
            
	
		 
         
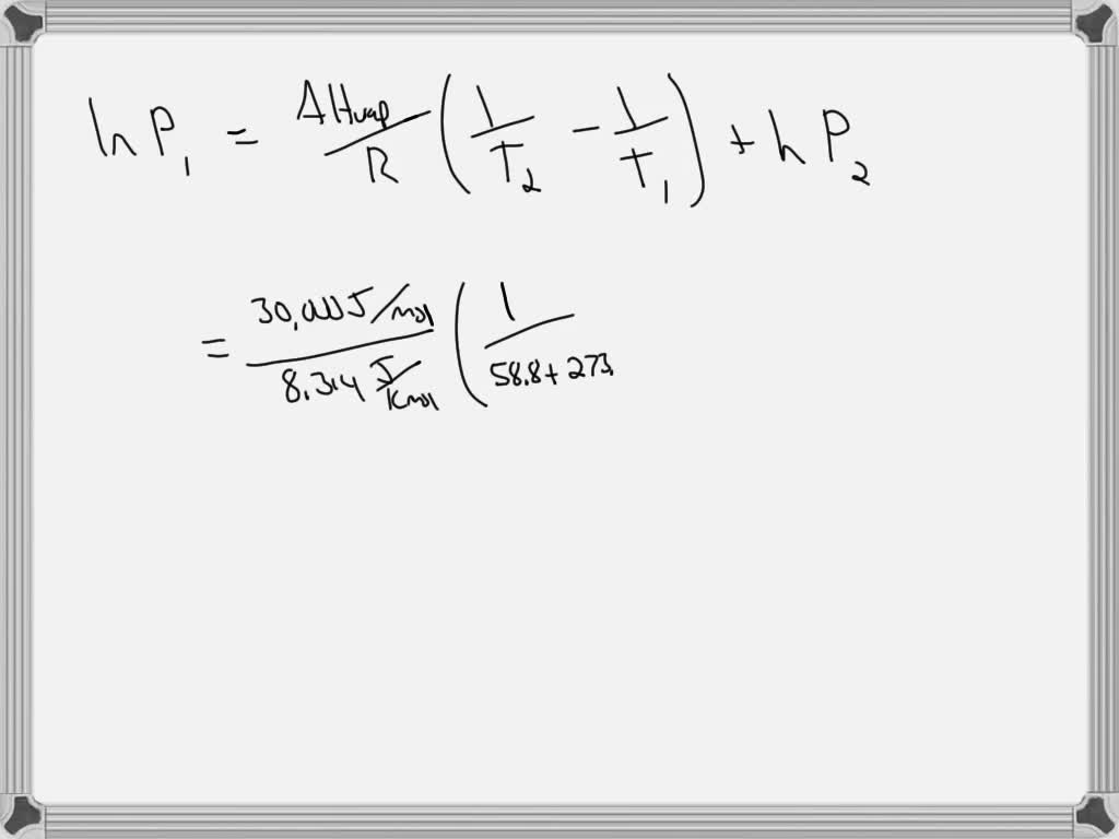
    SOLVED a. Estimate the boiling point (K) of liquid bromine. Estimate 
    Liquid Bromine Flash Point  Boiling point 139°f molecular weight 159.8 freezing. Severely painful and destructive eye burns may result from contact with either liquid or concentrated vapors of bromine. National institute for occupational safety and health. Use a niosh/msha or european standard en 149. It has symbol br and atomic number 35. Bromine is a chemical element; The following neutralizing agents for liquid bromine. Follow the osha respirator regulations found in 29 cfr 1910.134 or european standard en 149. Boiling point 139°f molecular weight 159.8 freezing.
            
	
		 
         
 
    
        From fphoto.photoshelter.com 
                    science element bromine Fundamental Photographs The Art of Science Liquid Bromine Flash Point  Boiling point 139°f molecular weight 159.8 freezing. Follow the osha respirator regulations found in 29 cfr 1910.134 or european standard en 149. The following neutralizing agents for liquid bromine. Bromine is a chemical element; Use a niosh/msha or european standard en 149. It has symbol br and atomic number 35. Severely painful and destructive eye burns may result from contact. Liquid Bromine Flash Point.
     
    
        From pixels.com 
                    Bromine Water Test For Alkenes Photograph by Martyn F. Chillmaid Liquid Bromine Flash Point  Use a niosh/msha or european standard en 149. Bromine is a chemical element; Severely painful and destructive eye burns may result from contact with either liquid or concentrated vapors of bromine. The following neutralizing agents for liquid bromine. National institute for occupational safety and health. Follow the osha respirator regulations found in 29 cfr 1910.134 or european standard en 149.. Liquid Bromine Flash Point.
     
    
        From www.chegg.com 
                    Solved A small quantity of liquid bromine was dissolved in Liquid Bromine Flash Point  Use a niosh/msha or european standard en 149. Boiling point 139°f molecular weight 159.8 freezing. Bromine is a chemical element; It has symbol br and atomic number 35. Severely painful and destructive eye burns may result from contact with either liquid or concentrated vapors of bromine. The following neutralizing agents for liquid bromine. Follow the osha respirator regulations found in. Liquid Bromine Flash Point.
     
    
        From fphoto.photoshelter.com 
                    bromine phases transition chemistry element Fundamental Photographs Liquid Bromine Flash Point  The following neutralizing agents for liquid bromine. It has symbol br and atomic number 35. Follow the osha respirator regulations found in 29 cfr 1910.134 or european standard en 149. Boiling point 139°f molecular weight 159.8 freezing. Severely painful and destructive eye burns may result from contact with either liquid or concentrated vapors of bromine. Use a niosh/msha or european. Liquid Bromine Flash Point.
     
    
        From byjus.com 
                    How do you test for an alkene? Liquid Bromine Flash Point  Follow the osha respirator regulations found in 29 cfr 1910.134 or european standard en 149. Severely painful and destructive eye burns may result from contact with either liquid or concentrated vapors of bromine. Boiling point 139°f molecular weight 159.8 freezing. The following neutralizing agents for liquid bromine. Use a niosh/msha or european standard en 149. Bromine is a chemical element;. Liquid Bromine Flash Point.
     
    
        From www.britannica.com 
                    Bromine Properties, Uses, & Facts Britannica Liquid Bromine Flash Point  It has symbol br and atomic number 35. Bromine is a chemical element; The following neutralizing agents for liquid bromine. Use a niosh/msha or european standard en 149. Boiling point 139°f molecular weight 159.8 freezing. Severely painful and destructive eye burns may result from contact with either liquid or concentrated vapors of bromine. National institute for occupational safety and health.. Liquid Bromine Flash Point.
     
    
        From www.chegg.com 
                    Solved Consider the boiling of liquid bromine. At 25 C, Liquid Bromine Flash Point  Bromine is a chemical element; Use a niosh/msha or european standard en 149. It has symbol br and atomic number 35. Follow the osha respirator regulations found in 29 cfr 1910.134 or european standard en 149. Boiling point 139°f molecular weight 159.8 freezing. The following neutralizing agents for liquid bromine. National institute for occupational safety and health. Severely painful and. Liquid Bromine Flash Point.
     
    
        From www.slideshare.net 
                    Bromine berry Liquid Bromine Flash Point  Bromine is a chemical element; Follow the osha respirator regulations found in 29 cfr 1910.134 or european standard en 149. The following neutralizing agents for liquid bromine. National institute for occupational safety and health. Use a niosh/msha or european standard en 149. It has symbol br and atomic number 35. Boiling point 139°f molecular weight 159.8 freezing. Severely painful and. Liquid Bromine Flash Point.
     
    
        From www.nuclear-power.com 
                    Bromine Melting Point Boiling Point Liquid Bromine Flash Point  National institute for occupational safety and health. Bromine is a chemical element; Follow the osha respirator regulations found in 29 cfr 1910.134 or european standard en 149. It has symbol br and atomic number 35. The following neutralizing agents for liquid bromine. Boiling point 139°f molecular weight 159.8 freezing. Severely painful and destructive eye burns may result from contact with. Liquid Bromine Flash Point.
     
    
        From www.haikudeck.com 
                    Liquids Properties by icmancini Liquid Bromine Flash Point  Bromine is a chemical element; Use a niosh/msha or european standard en 149. Boiling point 139°f molecular weight 159.8 freezing. Follow the osha respirator regulations found in 29 cfr 1910.134 or european standard en 149. It has symbol br and atomic number 35. National institute for occupational safety and health. Severely painful and destructive eye burns may result from contact. Liquid Bromine Flash Point.
     
    
        From www.dreamstime.com 
                    A Chemical Reaction To Produce Liquid Bromine in a Beaker, in the Liquid Bromine Flash Point  Severely painful and destructive eye burns may result from contact with either liquid or concentrated vapors of bromine. Boiling point 139°f molecular weight 159.8 freezing. Use a niosh/msha or european standard en 149. The following neutralizing agents for liquid bromine. It has symbol br and atomic number 35. Bromine is a chemical element; National institute for occupational safety and health.. Liquid Bromine Flash Point.
     
    
        From www.slideshare.net 
                    Bromine (Amber Boyers) Liquid Bromine Flash Point  Severely painful and destructive eye burns may result from contact with either liquid or concentrated vapors of bromine. Boiling point 139°f molecular weight 159.8 freezing. Use a niosh/msha or european standard en 149. It has symbol br and atomic number 35. Follow the osha respirator regulations found in 29 cfr 1910.134 or european standard en 149. The following neutralizing agents. Liquid Bromine Flash Point.
     
    
        From www.gauthmath.com 
                    Solved io 3. (12 points) Using the reaction below... Liquid bromine Liquid Bromine Flash Point  National institute for occupational safety and health. Boiling point 139°f molecular weight 159.8 freezing. Use a niosh/msha or european standard en 149. Follow the osha respirator regulations found in 29 cfr 1910.134 or european standard en 149. It has symbol br and atomic number 35. Severely painful and destructive eye burns may result from contact with either liquid or concentrated. Liquid Bromine Flash Point.
     
    
        From www.sciencephoto.com 
                    Test tube of bromine water Stock Image C029/0952 Science Photo Liquid Bromine Flash Point  Severely painful and destructive eye burns may result from contact with either liquid or concentrated vapors of bromine. Bromine is a chemical element; The following neutralizing agents for liquid bromine. It has symbol br and atomic number 35. National institute for occupational safety and health. Follow the osha respirator regulations found in 29 cfr 1910.134 or european standard en 149.. Liquid Bromine Flash Point.
     
    
        From fphoto.photoshelter.com 
                    bromine phases transition chemistry element Fundamental Photographs Liquid Bromine Flash Point  Bromine is a chemical element; It has symbol br and atomic number 35. Use a niosh/msha or european standard en 149. National institute for occupational safety and health. Boiling point 139°f molecular weight 159.8 freezing. Follow the osha respirator regulations found in 29 cfr 1910.134 or european standard en 149. Severely painful and destructive eye burns may result from contact. Liquid Bromine Flash Point.
     
    
        From www.youtube.com 
                    How to Write the Formula for Bromine Liquid YouTube Liquid Bromine Flash Point  It has symbol br and atomic number 35. Severely painful and destructive eye burns may result from contact with either liquid or concentrated vapors of bromine. The following neutralizing agents for liquid bromine. National institute for occupational safety and health. Follow the osha respirator regulations found in 29 cfr 1910.134 or european standard en 149. Bromine is a chemical element;. Liquid Bromine Flash Point.
     
    
        From www.chegg.com 
                    Solved 10) The specific heat of liquid bromine is 0.226 Liquid Bromine Flash Point  The following neutralizing agents for liquid bromine. Follow the osha respirator regulations found in 29 cfr 1910.134 or european standard en 149. Severely painful and destructive eye burns may result from contact with either liquid or concentrated vapors of bromine. National institute for occupational safety and health. It has symbol br and atomic number 35. Boiling point 139°f molecular weight. Liquid Bromine Flash Point.
     
    
        From www.numerade.com 
                    SOLVEDLiquid bromine (Br2) and the interhalogen compound ICl have Liquid Bromine Flash Point  Boiling point 139°f molecular weight 159.8 freezing. Bromine is a chemical element; Follow the osha respirator regulations found in 29 cfr 1910.134 or european standard en 149. It has symbol br and atomic number 35. The following neutralizing agents for liquid bromine. Use a niosh/msha or european standard en 149. National institute for occupational safety and health. Severely painful and. Liquid Bromine Flash Point.
     
    
        From wizedu.com 
                    The vapor pressure of liquid bromine (Br2) at 9.30 °C is 100.0 torr and Liquid Bromine Flash Point  Use a niosh/msha or european standard en 149. Bromine is a chemical element; Boiling point 139°f molecular weight 159.8 freezing. Follow the osha respirator regulations found in 29 cfr 1910.134 or european standard en 149. The following neutralizing agents for liquid bromine. National institute for occupational safety and health. It has symbol br and atomic number 35. Severely painful and. Liquid Bromine Flash Point.
     
    
        From www.livescience.com 
                    Facts About Bromine Live Science Liquid Bromine Flash Point  Use a niosh/msha or european standard en 149. Severely painful and destructive eye burns may result from contact with either liquid or concentrated vapors of bromine. The following neutralizing agents for liquid bromine. Boiling point 139°f molecular weight 159.8 freezing. Follow the osha respirator regulations found in 29 cfr 1910.134 or european standard en 149. It has symbol br and. Liquid Bromine Flash Point.
     
    
        From www.chegg.com 
                    Solved 18. (3 Points) The specific heat of liquid bromine is Liquid Bromine Flash Point  National institute for occupational safety and health. Use a niosh/msha or european standard en 149. Bromine is a chemical element; It has symbol br and atomic number 35. Follow the osha respirator regulations found in 29 cfr 1910.134 or european standard en 149. Boiling point 139°f molecular weight 159.8 freezing. The following neutralizing agents for liquid bromine. Severely painful and. Liquid Bromine Flash Point.
     
    
        From www.numerade.com 
                    SOLVED Part A A flask contains 0.450 mol of liquid bromine, Br2 Liquid Bromine Flash Point  Follow the osha respirator regulations found in 29 cfr 1910.134 or european standard en 149. Severely painful and destructive eye burns may result from contact with either liquid or concentrated vapors of bromine. Boiling point 139°f molecular weight 159.8 freezing. National institute for occupational safety and health. Bromine is a chemical element; The following neutralizing agents for liquid bromine. It. Liquid Bromine Flash Point.
     
    
        From www.chegg.com 
                    Chemistry Archive July 22, 2016 Liquid Bromine Flash Point  Boiling point 139°f molecular weight 159.8 freezing. National institute for occupational safety and health. Use a niosh/msha or european standard en 149. The following neutralizing agents for liquid bromine. Follow the osha respirator regulations found in 29 cfr 1910.134 or european standard en 149. Severely painful and destructive eye burns may result from contact with either liquid or concentrated vapors. Liquid Bromine Flash Point.
     
    
        From www.slideserve.com 
                    PPT Group 7 Elements PowerPoint Presentation ID1553178 Liquid Bromine Flash Point  It has symbol br and atomic number 35. Boiling point 139°f molecular weight 159.8 freezing. Severely painful and destructive eye burns may result from contact with either liquid or concentrated vapors of bromine. National institute for occupational safety and health. Bromine is a chemical element; Use a niosh/msha or european standard en 149. Follow the osha respirator regulations found in. Liquid Bromine Flash Point.
     
    
        From www.alamy.com 
                    Bromine liquid and gas hires stock photography and images Alamy Liquid Bromine Flash Point  Severely painful and destructive eye burns may result from contact with either liquid or concentrated vapors of bromine. Boiling point 139°f molecular weight 159.8 freezing. National institute for occupational safety and health. It has symbol br and atomic number 35. Follow the osha respirator regulations found in 29 cfr 1910.134 or european standard en 149. Bromine is a chemical element;. Liquid Bromine Flash Point.
     
    
        From www.exportersindia.com 
                    Liquid Bromine, Packaging Size 50, 100, 200 250 Kg at Rs 385 / kgs in Liquid Bromine Flash Point  Boiling point 139°f molecular weight 159.8 freezing. It has symbol br and atomic number 35. National institute for occupational safety and health. The following neutralizing agents for liquid bromine. Bromine is a chemical element; Use a niosh/msha or european standard en 149. Follow the osha respirator regulations found in 29 cfr 1910.134 or european standard en 149. Severely painful and. Liquid Bromine Flash Point.
     
    
        From wendyilkane.blogspot.com 
                    Bromine at Room Temperature WendyilKane Liquid Bromine Flash Point  Bromine is a chemical element; Boiling point 139°f molecular weight 159.8 freezing. Severely painful and destructive eye burns may result from contact with either liquid or concentrated vapors of bromine. Follow the osha respirator regulations found in 29 cfr 1910.134 or european standard en 149. The following neutralizing agents for liquid bromine. National institute for occupational safety and health. Use. Liquid Bromine Flash Point.
     
    
        From www.steaktartar.com 
                    SOLVED A flask contains 0.470 mol of liquid bromine, Br2. Determine Liquid Bromine Flash Point  The following neutralizing agents for liquid bromine. National institute for occupational safety and health. Boiling point 139°f molecular weight 159.8 freezing. Follow the osha respirator regulations found in 29 cfr 1910.134 or european standard en 149. Use a niosh/msha or european standard en 149. Severely painful and destructive eye burns may result from contact with either liquid or concentrated vapors. Liquid Bromine Flash Point.
     
    
        From www.tradeindia.com 
                    Liquid Bromine Chemical (500 Ml) at 2950.00 INR in Surat Cynor Liquid Bromine Flash Point  It has symbol br and atomic number 35. Use a niosh/msha or european standard en 149. Boiling point 139°f molecular weight 159.8 freezing. National institute for occupational safety and health. Follow the osha respirator regulations found in 29 cfr 1910.134 or european standard en 149. Bromine is a chemical element; Severely painful and destructive eye burns may result from contact. Liquid Bromine Flash Point.
     
    
        From fphoto.photoshelter.com 
                    science element bromine Fundamental Photographs The Art of Science Liquid Bromine Flash Point  Severely painful and destructive eye burns may result from contact with either liquid or concentrated vapors of bromine. Use a niosh/msha or european standard en 149. Follow the osha respirator regulations found in 29 cfr 1910.134 or european standard en 149. It has symbol br and atomic number 35. National institute for occupational safety and health. The following neutralizing agents. Liquid Bromine Flash Point.
     
    
        From bromine2015.weebly.com 
                    Physical and Chemical Properties Bromine Liquid Bromine Flash Point  Bromine is a chemical element; Follow the osha respirator regulations found in 29 cfr 1910.134 or european standard en 149. It has symbol br and atomic number 35. Boiling point 139°f molecular weight 159.8 freezing. The following neutralizing agents for liquid bromine. Severely painful and destructive eye burns may result from contact with either liquid or concentrated vapors of bromine.. Liquid Bromine Flash Point.
     
    
        From www.numerade.com 
                    SOLVED a. Estimate the boiling point (K) of liquid bromine. Estimate Liquid Bromine Flash Point  Follow the osha respirator regulations found in 29 cfr 1910.134 or european standard en 149. Severely painful and destructive eye burns may result from contact with either liquid or concentrated vapors of bromine. Boiling point 139°f molecular weight 159.8 freezing. It has symbol br and atomic number 35. National institute for occupational safety and health. The following neutralizing agents for. Liquid Bromine Flash Point.
     
    
        From atlantischemical.com 
                    Liquid Bromine Atlantis Chemical Liquid Bromine Flash Point  It has symbol br and atomic number 35. Boiling point 139°f molecular weight 159.8 freezing. Bromine is a chemical element; The following neutralizing agents for liquid bromine. Severely painful and destructive eye burns may result from contact with either liquid or concentrated vapors of bromine. Follow the osha respirator regulations found in 29 cfr 1910.134 or european standard en 149.. Liquid Bromine Flash Point.
     
    
        From www.vecteezy.com 
                    Bromine preparation in laboratory. Bromine is liquid at room Liquid Bromine Flash Point  Severely painful and destructive eye burns may result from contact with either liquid or concentrated vapors of bromine. National institute for occupational safety and health. It has symbol br and atomic number 35. Boiling point 139°f molecular weight 159.8 freezing. The following neutralizing agents for liquid bromine. Use a niosh/msha or european standard en 149. Follow the osha respirator regulations. Liquid Bromine Flash Point.
     
    
        From www.youtube.com 
                    Bromine Water Test Explained// HSC Chemistry YouTube Liquid Bromine Flash Point  The following neutralizing agents for liquid bromine. Boiling point 139°f molecular weight 159.8 freezing. Use a niosh/msha or european standard en 149. Severely painful and destructive eye burns may result from contact with either liquid or concentrated vapors of bromine. Follow the osha respirator regulations found in 29 cfr 1910.134 or european standard en 149. Bromine is a chemical element;. Liquid Bromine Flash Point.