For Sale By Owner Delaware Ohio . See pricing and listing details of delaware real estate for sale. Browse photos, see new properties, get open house info, and research neighborhoods on trulia. Browse photos and listings for the 3 for sale by owner (fsbo) listings in delaware oh and get in touch with a seller after filtering down to the. 7 for sale by owner listings in delaware county, ohio. Use filters to narrow your. View 425 homes for sale in delaware, oh at a median listing home price of $409,900. Browse delaware county, oh real estate. If you're looking for a home for sale by owner in the delaware county area, our site can help you with the best options. Browse fsbo homes and listings in delaware, oh and get in contact with. Find 1235 homes for sale in delaware county with a median listing home price of $477,000. Zillow has 323 homes for sale in delaware oh. View listing photos, review sales history, and use our detailed real estate filters to find the perfect place. Find your perfect home in delaware, oh on forsalebyowner.com.
from www.rvt.com
Use filters to narrow your. If you're looking for a home for sale by owner in the delaware county area, our site can help you with the best options. See pricing and listing details of delaware real estate for sale. Find 1235 homes for sale in delaware county with a median listing home price of $477,000. Find your perfect home in delaware, oh on forsalebyowner.com. Browse delaware county, oh real estate. 7 for sale by owner listings in delaware county, ohio. Browse photos, see new properties, get open house info, and research neighborhoods on trulia. View listing photos, review sales history, and use our detailed real estate filters to find the perfect place. Browse fsbo homes and listings in delaware, oh and get in contact with.
1999 HiLo Trailer Co. TOWLITE 21TD, Travel Trailers RV For Sale By
For Sale By Owner Delaware Ohio Browse photos and listings for the 3 for sale by owner (fsbo) listings in delaware oh and get in touch with a seller after filtering down to the. View 425 homes for sale in delaware, oh at a median listing home price of $409,900. Browse photos, see new properties, get open house info, and research neighborhoods on trulia. Find your perfect home in delaware, oh on forsalebyowner.com. View listing photos, review sales history, and use our detailed real estate filters to find the perfect place. Browse fsbo homes and listings in delaware, oh and get in contact with. 7 for sale by owner listings in delaware county, ohio. Browse photos and listings for the 3 for sale by owner (fsbo) listings in delaware oh and get in touch with a seller after filtering down to the. See pricing and listing details of delaware real estate for sale. If you're looking for a home for sale by owner in the delaware county area, our site can help you with the best options. Find 1235 homes for sale in delaware county with a median listing home price of $477,000. Zillow has 323 homes for sale in delaware oh. Browse delaware county, oh real estate. Use filters to narrow your.
From www.forsalebyownerrealtyuniversal.com
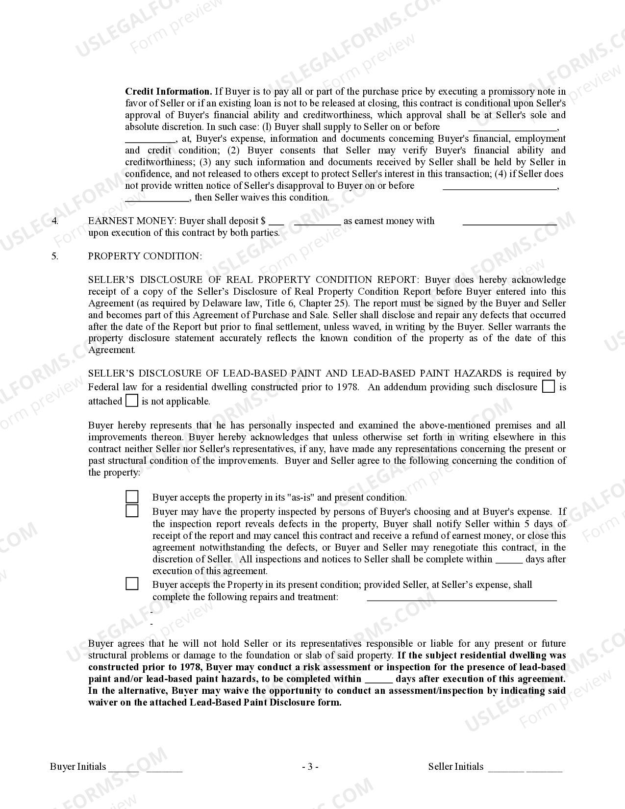
For Sale by Owner Delaware DE FSBO For Sale By Owner Delaware Ohio Use filters to narrow your. If you're looking for a home for sale by owner in the delaware county area, our site can help you with the best options. Find 1235 homes for sale in delaware county with a median listing home price of $477,000. Browse fsbo homes and listings in delaware, oh and get in contact with. Find your. For Sale By Owner Delaware Ohio.
From klajjyikz.blob.core.windows.net
Cars For Sale By Owner In Dover Delaware at Cheryl Menefee blog For Sale By Owner Delaware Ohio See pricing and listing details of delaware real estate for sale. Browse delaware county, oh real estate. If you're looking for a home for sale by owner in the delaware county area, our site can help you with the best options. Zillow has 323 homes for sale in delaware oh. Use filters to narrow your. Browse fsbo homes and listings. For Sale By Owner Delaware Ohio.
From www.etsy.com
For Sale by Owner Letter Real Estate FSBO Letter Luxury Real Estate For Sale By Owner Delaware Ohio Zillow has 323 homes for sale in delaware oh. Use filters to narrow your. 7 for sale by owner listings in delaware county, ohio. If you're looking for a home for sale by owner in the delaware county area, our site can help you with the best options. Find 1235 homes for sale in delaware county with a median listing. For Sale By Owner Delaware Ohio.
From www.rvt.com
1999 HiLo Trailer Co. TOWLITE 21TD, Travel Trailers RV For Sale By For Sale By Owner Delaware Ohio Zillow has 323 homes for sale in delaware oh. Find 1235 homes for sale in delaware county with a median listing home price of $477,000. If you're looking for a home for sale by owner in the delaware county area, our site can help you with the best options. 7 for sale by owner listings in delaware county, ohio. Use. For Sale By Owner Delaware Ohio.
From www.zillow.com
How to Buy a Home That's For Sale By Owner Zillow For Sale By Owner Delaware Ohio Zillow has 323 homes for sale in delaware oh. Use filters to narrow your. Browse fsbo homes and listings in delaware, oh and get in contact with. Browse photos and listings for the 3 for sale by owner (fsbo) listings in delaware oh and get in touch with a seller after filtering down to the. View 425 homes for sale. For Sale By Owner Delaware Ohio.
From forjandoosbonsmodosblabla.blogspot.com
craigslist delaware cars for sale by owner Jacklyn Stjohn For Sale By Owner Delaware Ohio 7 for sale by owner listings in delaware county, ohio. Browse photos, see new properties, get open house info, and research neighborhoods on trulia. Find your perfect home in delaware, oh on forsalebyowner.com. Use filters to narrow your. Zillow has 323 homes for sale in delaware oh. If you're looking for a home for sale by owner in the delaware. For Sale By Owner Delaware Ohio.
From www.landsofamerica.com
7.82 acres in New Castle County, Delaware For Sale By Owner Delaware Ohio Browse photos, see new properties, get open house info, and research neighborhoods on trulia. Find 1235 homes for sale in delaware county with a median listing home price of $477,000. View 425 homes for sale in delaware, oh at a median listing home price of $409,900. Find your perfect home in delaware, oh on forsalebyowner.com. View listing photos, review sales. For Sale By Owner Delaware Ohio.
From www.rvt.com
1999 HiLo Trailer Co. TOWLITE 21TD, Travel Trailers RV For Sale By For Sale By Owner Delaware Ohio Browse photos, see new properties, get open house info, and research neighborhoods on trulia. Use filters to narrow your. Zillow has 323 homes for sale in delaware oh. Find 1235 homes for sale in delaware county with a median listing home price of $477,000. Browse photos and listings for the 3 for sale by owner (fsbo) listings in delaware oh. For Sale By Owner Delaware Ohio.
From www.youtube.com
DELAWARE HOME FOR SALE 113 Harris Road YouTube For Sale By Owner Delaware Ohio See pricing and listing details of delaware real estate for sale. If you're looking for a home for sale by owner in the delaware county area, our site can help you with the best options. View listing photos, review sales history, and use our detailed real estate filters to find the perfect place. Browse delaware county, oh real estate. Use. For Sale By Owner Delaware Ohio.
From www.landwatch.com
Springfield, Clark County, OH House for sale Property ID 338240215 For Sale By Owner Delaware Ohio Browse fsbo homes and listings in delaware, oh and get in contact with. Browse photos and listings for the 3 for sale by owner (fsbo) listings in delaware oh and get in touch with a seller after filtering down to the. Browse delaware county, oh real estate. Use filters to narrow your. See pricing and listing details of delaware real. For Sale By Owner Delaware Ohio.
From freeforms.com
Free Delaware Real Estate Purchase Agreement Template PDF WORD For Sale By Owner Delaware Ohio Browse photos and listings for the 3 for sale by owner (fsbo) listings in delaware oh and get in touch with a seller after filtering down to the. Browse fsbo homes and listings in delaware, oh and get in contact with. If you're looking for a home for sale by owner in the delaware county area, our site can help. For Sale By Owner Delaware Ohio.
From www.forsalebyowner.com.au
For Sale By Owner Shearwater TAS 7307 3 Poyston Drive For Sale By Owner Delaware Ohio Zillow has 323 homes for sale in delaware oh. Browse photos, see new properties, get open house info, and research neighborhoods on trulia. Find your perfect home in delaware, oh on forsalebyowner.com. View 425 homes for sale in delaware, oh at a median listing home price of $409,900. See pricing and listing details of delaware real estate for sale. Browse. For Sale By Owner Delaware Ohio.
From dxolmxlru.blob.core.windows.net
For Sale By Owner Delaware County Ok at Jackie Delgadillo blog For Sale By Owner Delaware Ohio If you're looking for a home for sale by owner in the delaware county area, our site can help you with the best options. View listing photos, review sales history, and use our detailed real estate filters to find the perfect place. Find your perfect home in delaware, oh on forsalebyowner.com. Browse photos and listings for the 3 for sale. For Sale By Owner Delaware Ohio.
From www.countryhomesofamerica.com
2 acres in New Castle County, Delaware For Sale By Owner Delaware Ohio Find 1235 homes for sale in delaware county with a median listing home price of $477,000. Browse photos and listings for the 3 for sale by owner (fsbo) listings in delaware oh and get in touch with a seller after filtering down to the. Use filters to narrow your. Browse delaware county, oh real estate. 7 for sale by owner. For Sale By Owner Delaware Ohio.
From www.landsofamerica.com
1.1 acres in Kent County, Delaware For Sale By Owner Delaware Ohio Find your perfect home in delaware, oh on forsalebyowner.com. View 425 homes for sale in delaware, oh at a median listing home price of $409,900. Find 1235 homes for sale in delaware county with a median listing home price of $477,000. Browse fsbo homes and listings in delaware, oh and get in contact with. Browse delaware county, oh real estate.. For Sale By Owner Delaware Ohio.
From www.uslegalforms.com
Delaware Contract for Sale and Purchase of Real Estate with No Broker For Sale By Owner Delaware Ohio Browse delaware county, oh real estate. View 425 homes for sale in delaware, oh at a median listing home price of $409,900. Find 1235 homes for sale in delaware county with a median listing home price of $477,000. Browse photos and listings for the 3 for sale by owner (fsbo) listings in delaware oh and get in touch with a. For Sale By Owner Delaware Ohio.
From www.trulia.com
7364 Home Rd, Delaware, OH 43015 Trulia For Sale By Owner Delaware Ohio If you're looking for a home for sale by owner in the delaware county area, our site can help you with the best options. Browse photos and listings for the 3 for sale by owner (fsbo) listings in delaware oh and get in touch with a seller after filtering down to the. View listing photos, review sales history, and use. For Sale By Owner Delaware Ohio.
From www.facebook.com
Delaware Homes for Sale By Owner For Sale By Owner Delaware Ohio View listing photos, review sales history, and use our detailed real estate filters to find the perfect place. View 425 homes for sale in delaware, oh at a median listing home price of $409,900. Use filters to narrow your. See pricing and listing details of delaware real estate for sale. Browse photos and listings for the 3 for sale by. For Sale By Owner Delaware Ohio.
From www.rvt.com
2016 Jayco Seismic 4250, Toy Haulers 5th Wheels RV For Sale By Owner in For Sale By Owner Delaware Ohio View listing photos, review sales history, and use our detailed real estate filters to find the perfect place. If you're looking for a home for sale by owner in the delaware county area, our site can help you with the best options. Use filters to narrow your. Browse delaware county, oh real estate. Browse photos and listings for the 3. For Sale By Owner Delaware Ohio.
From www.bestcarfinder.com
2005 Lexus GX 470 for Sale by Owner in Delaware, OH 43015 For Sale By Owner Delaware Ohio View 425 homes for sale in delaware, oh at a median listing home price of $409,900. Use filters to narrow your. View listing photos, review sales history, and use our detailed real estate filters to find the perfect place. See pricing and listing details of delaware real estate for sale. If you're looking for a home for sale by owner. For Sale By Owner Delaware Ohio.
From www.rvt.com
1999 HiLo Trailer Co. TOWLITE 21TD, Travel Trailers RV For Sale By For Sale By Owner Delaware Ohio View listing photos, review sales history, and use our detailed real estate filters to find the perfect place. Browse photos, see new properties, get open house info, and research neighborhoods on trulia. See pricing and listing details of delaware real estate for sale. Use filters to narrow your. If you're looking for a home for sale by owner in the. For Sale By Owner Delaware Ohio.
From www.realtor.com
Delaware, OH Real Estate Delaware Homes for Sale For Sale By Owner Delaware Ohio Find 1235 homes for sale in delaware county with a median listing home price of $477,000. If you're looking for a home for sale by owner in the delaware county area, our site can help you with the best options. View listing photos, review sales history, and use our detailed real estate filters to find the perfect place. Browse photos,. For Sale By Owner Delaware Ohio.
From www.ucrealestateandauction.com
Land For Sale Delaware County For Building Lot Farm Land For Sale By Owner Delaware Ohio View listing photos, review sales history, and use our detailed real estate filters to find the perfect place. Browse fsbo homes and listings in delaware, oh and get in contact with. See pricing and listing details of delaware real estate for sale. Find your perfect home in delaware, oh on forsalebyowner.com. Browse photos and listings for the 3 for sale. For Sale By Owner Delaware Ohio.
From www.rvt.com
2016 Jayco Seismic 4250, Toy Haulers 5th Wheels RV For Sale By Owner in For Sale By Owner Delaware Ohio Use filters to narrow your. Browse fsbo homes and listings in delaware, oh and get in contact with. Browse photos and listings for the 3 for sale by owner (fsbo) listings in delaware oh and get in touch with a seller after filtering down to the. Browse photos, see new properties, get open house info, and research neighborhoods on trulia.. For Sale By Owner Delaware Ohio.
From dxolmxlru.blob.core.windows.net
For Sale By Owner Delaware County Ok at Jackie Delgadillo blog For Sale By Owner Delaware Ohio See pricing and listing details of delaware real estate for sale. 7 for sale by owner listings in delaware county, ohio. If you're looking for a home for sale by owner in the delaware county area, our site can help you with the best options. Find 1235 homes for sale in delaware county with a median listing home price of. For Sale By Owner Delaware Ohio.
From www.landsofamerica.com
10 acres in Wayne County, Ohio For Sale By Owner Delaware Ohio Browse delaware county, oh real estate. Browse fsbo homes and listings in delaware, oh and get in contact with. Zillow has 323 homes for sale in delaware oh. Find 1235 homes for sale in delaware county with a median listing home price of $477,000. View listing photos, review sales history, and use our detailed real estate filters to find the. For Sale By Owner Delaware Ohio.
From www.carsforsale.com
Used 2006 Chevrolet Colorado For Sale In Columbus, OH For Sale By Owner Delaware Ohio Find your perfect home in delaware, oh on forsalebyowner.com. Browse delaware county, oh real estate. If you're looking for a home for sale by owner in the delaware county area, our site can help you with the best options. Use filters to narrow your. View 425 homes for sale in delaware, oh at a median listing home price of $409,900.. For Sale By Owner Delaware Ohio.
From cheaplands.com
Delaware Land for Sale For Sale By Owner Delaware Ohio Browse delaware county, oh real estate. Browse photos, see new properties, get open house info, and research neighborhoods on trulia. If you're looking for a home for sale by owner in the delaware county area, our site can help you with the best options. View listing photos, review sales history, and use our detailed real estate filters to find the. For Sale By Owner Delaware Ohio.
From piqua-oh.americanlisted.com
home for sale by owner for Sale in Piqua, Ohio Classified For Sale By Owner Delaware Ohio Use filters to narrow your. If you're looking for a home for sale by owner in the delaware county area, our site can help you with the best options. Zillow has 323 homes for sale in delaware oh. Find your perfect home in delaware, oh on forsalebyowner.com. 7 for sale by owner listings in delaware county, ohio. Browse photos and. For Sale By Owner Delaware Ohio.
From dxolmxlru.blob.core.windows.net
For Sale By Owner Delaware County Ok at Jackie Delgadillo blog For Sale By Owner Delaware Ohio Browse fsbo homes and listings in delaware, oh and get in contact with. If you're looking for a home for sale by owner in the delaware county area, our site can help you with the best options. Find your perfect home in delaware, oh on forsalebyowner.com. Browse delaware county, oh real estate. Use filters to narrow your. View listing photos,. For Sale By Owner Delaware Ohio.
From www.houzeo.com
How to create a For Sale By Owner Contract in Kentucky? (2023 Updates) For Sale By Owner Delaware Ohio Find your perfect home in delaware, oh on forsalebyowner.com. Zillow has 323 homes for sale in delaware oh. Browse fsbo homes and listings in delaware, oh and get in contact with. See pricing and listing details of delaware real estate for sale. View listing photos, review sales history, and use our detailed real estate filters to find the perfect place.. For Sale By Owner Delaware Ohio.
From www.landwatch.com
Westerville, Delaware County, OH House for sale Property ID 337511070 For Sale By Owner Delaware Ohio View 425 homes for sale in delaware, oh at a median listing home price of $409,900. See pricing and listing details of delaware real estate for sale. Browse delaware county, oh real estate. Use filters to narrow your. Find 1235 homes for sale in delaware county with a median listing home price of $477,000. 7 for sale by owner listings. For Sale By Owner Delaware Ohio.
From printablesign.net
For Sale By Owner Sign Template FREE Download For Sale By Owner Delaware Ohio 7 for sale by owner listings in delaware county, ohio. Zillow has 323 homes for sale in delaware oh. See pricing and listing details of delaware real estate for sale. Find your perfect home in delaware, oh on forsalebyowner.com. Browse photos and listings for the 3 for sale by owner (fsbo) listings in delaware oh and get in touch with. For Sale By Owner Delaware Ohio.
From www.ucwaltonrealtyandauction.com
126.79Acre Farmland & Home For Sale In Seneca County, Ohio For Sale By Owner Delaware Ohio Zillow has 323 homes for sale in delaware oh. View 425 homes for sale in delaware, oh at a median listing home price of $409,900. Browse photos, see new properties, get open house info, and research neighborhoods on trulia. Browse fsbo homes and listings in delaware, oh and get in contact with. Find 1235 homes for sale in delaware county. For Sale By Owner Delaware Ohio.
From joirjiegh.blob.core.windows.net
Condos For Sale Rossford Ohio at Evan Thomas blog For Sale By Owner Delaware Ohio Browse photos and listings for the 3 for sale by owner (fsbo) listings in delaware oh and get in touch with a seller after filtering down to the. Find your perfect home in delaware, oh on forsalebyowner.com. If you're looking for a home for sale by owner in the delaware county area, our site can help you with the best. For Sale By Owner Delaware Ohio.