In Situ Hybridization Knockout . in situ hybridization (ish) has become a common laboratory technique used for the analysis of gene expression. in situ hybridization (ish) has become a common laboratory technique used for the analysis of gene expression and for the. traditional hybridization techniques for solid supports involve the transfer of extracted and electrophoretically separated dna. as rna in situ hybridization (ish) moves into the mainstream lab and increasingly into clinical adoption and.
from www.researchgate.net
in situ hybridization (ish) has become a common laboratory technique used for the analysis of gene expression. as rna in situ hybridization (ish) moves into the mainstream lab and increasingly into clinical adoption and. traditional hybridization techniques for solid supports involve the transfer of extracted and electrophoretically separated dna. in situ hybridization (ish) has become a common laboratory technique used for the analysis of gene expression and for the.
Whole mount in situ hybridization for Fgf 8 in wildtype and knockout
In Situ Hybridization Knockout as rna in situ hybridization (ish) moves into the mainstream lab and increasingly into clinical adoption and. in situ hybridization (ish) has become a common laboratory technique used for the analysis of gene expression and for the. as rna in situ hybridization (ish) moves into the mainstream lab and increasingly into clinical adoption and. traditional hybridization techniques for solid supports involve the transfer of extracted and electrophoretically separated dna. in situ hybridization (ish) has become a common laboratory technique used for the analysis of gene expression.
From www.researchgate.net
Nephrogenesis decreases prematurely in Gas1 knockout kidneys. (AJ) In In Situ Hybridization Knockout traditional hybridization techniques for solid supports involve the transfer of extracted and electrophoretically separated dna. in situ hybridization (ish) has become a common laboratory technique used for the analysis of gene expression and for the. as rna in situ hybridization (ish) moves into the mainstream lab and increasingly into clinical adoption and. in situ hybridization (ish). In Situ Hybridization Knockout.
From www.researchgate.net
Reduction of the CRF mRNA in the PVN of SERT knockout mice under In Situ Hybridization Knockout in situ hybridization (ish) has become a common laboratory technique used for the analysis of gene expression. traditional hybridization techniques for solid supports involve the transfer of extracted and electrophoretically separated dna. in situ hybridization (ish) has become a common laboratory technique used for the analysis of gene expression and for the. as rna in situ. In Situ Hybridization Knockout.
From www.researchgate.net
Tbx4, Tbx5, and Fgf10 in situ hybridization results.In situ In Situ Hybridization Knockout in situ hybridization (ish) has become a common laboratory technique used for the analysis of gene expression. in situ hybridization (ish) has become a common laboratory technique used for the analysis of gene expression and for the. as rna in situ hybridization (ish) moves into the mainstream lab and increasingly into clinical adoption and. traditional hybridization. In Situ Hybridization Knockout.
From www.frontiersin.org
Frontiers Modified in situ Hybridization Chain Reaction Using Short In Situ Hybridization Knockout in situ hybridization (ish) has become a common laboratory technique used for the analysis of gene expression and for the. as rna in situ hybridization (ish) moves into the mainstream lab and increasingly into clinical adoption and. in situ hybridization (ish) has become a common laboratory technique used for the analysis of gene expression. traditional hybridization. In Situ Hybridization Knockout.
From www.researchgate.net
Validation of Asic1bCre and Asic1bknockout mice by in situ In Situ Hybridization Knockout as rna in situ hybridization (ish) moves into the mainstream lab and increasingly into clinical adoption and. in situ hybridization (ish) has become a common laboratory technique used for the analysis of gene expression. in situ hybridization (ish) has become a common laboratory technique used for the analysis of gene expression and for the. traditional hybridization. In Situ Hybridization Knockout.
From www.creative-diagnostics.com
In situ Hybridization (ISH) and Fluorescence in Situ hybridization In Situ Hybridization Knockout in situ hybridization (ish) has become a common laboratory technique used for the analysis of gene expression and for the. in situ hybridization (ish) has become a common laboratory technique used for the analysis of gene expression. as rna in situ hybridization (ish) moves into the mainstream lab and increasingly into clinical adoption and. traditional hybridization. In Situ Hybridization Knockout.
From www.numerade.com
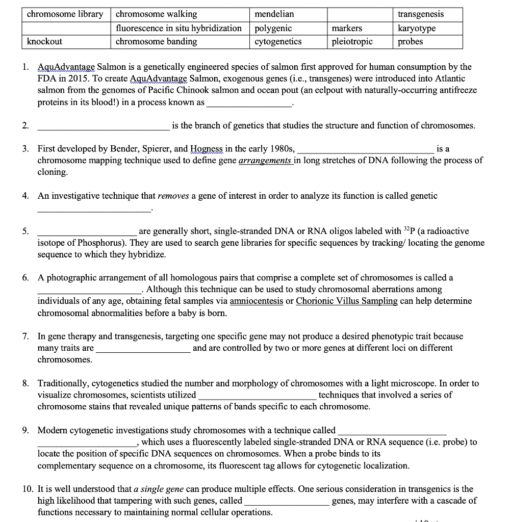
SOLVED Chromosome library, chromosome walking, Mendelian, fluorescence In Situ Hybridization Knockout as rna in situ hybridization (ish) moves into the mainstream lab and increasingly into clinical adoption and. in situ hybridization (ish) has become a common laboratory technique used for the analysis of gene expression and for the. in situ hybridization (ish) has become a common laboratory technique used for the analysis of gene expression. traditional hybridization. In Situ Hybridization Knockout.
From www.researchgate.net
In situ hybridization and quantification of representative OSN In Situ Hybridization Knockout as rna in situ hybridization (ish) moves into the mainstream lab and increasingly into clinical adoption and. traditional hybridization techniques for solid supports involve the transfer of extracted and electrophoretically separated dna. in situ hybridization (ish) has become a common laboratory technique used for the analysis of gene expression and for the. in situ hybridization (ish). In Situ Hybridization Knockout.
From www.researchgate.net
Whole mount in situ hybridization for Fgf 8 in wildtype and knockout In Situ Hybridization Knockout in situ hybridization (ish) has become a common laboratory technique used for the analysis of gene expression. traditional hybridization techniques for solid supports involve the transfer of extracted and electrophoretically separated dna. in situ hybridization (ish) has become a common laboratory technique used for the analysis of gene expression and for the. as rna in situ. In Situ Hybridization Knockout.
From www.lubio.ch
In situ hybridization Advancements and more Blog In Situ Hybridization Knockout as rna in situ hybridization (ish) moves into the mainstream lab and increasingly into clinical adoption and. traditional hybridization techniques for solid supports involve the transfer of extracted and electrophoretically separated dna. in situ hybridization (ish) has become a common laboratory technique used for the analysis of gene expression and for the. in situ hybridization (ish). In Situ Hybridization Knockout.
From www.researchgate.net
Whole mount in situ hybridization for Fgf 8 in wildtype and knockout In Situ Hybridization Knockout in situ hybridization (ish) has become a common laboratory technique used for the analysis of gene expression. as rna in situ hybridization (ish) moves into the mainstream lab and increasingly into clinical adoption and. in situ hybridization (ish) has become a common laboratory technique used for the analysis of gene expression and for the. traditional hybridization. In Situ Hybridization Knockout.
From www.researchgate.net
In situ hybridization of Trpm5 digoxigenin labeled antisense RNA probe In Situ Hybridization Knockout in situ hybridization (ish) has become a common laboratory technique used for the analysis of gene expression. as rna in situ hybridization (ish) moves into the mainstream lab and increasingly into clinical adoption and. in situ hybridization (ish) has become a common laboratory technique used for the analysis of gene expression and for the. traditional hybridization. In Situ Hybridization Knockout.
From www.slideserve.com
PPT In Situ Hybridization PowerPoint Presentation, free download ID In Situ Hybridization Knockout traditional hybridization techniques for solid supports involve the transfer of extracted and electrophoretically separated dna. as rna in situ hybridization (ish) moves into the mainstream lab and increasingly into clinical adoption and. in situ hybridization (ish) has become a common laboratory technique used for the analysis of gene expression. in situ hybridization (ish) has become a. In Situ Hybridization Knockout.
From www.leadingbiology.com
In Situ Hybridization_Immunology Services_Custom Services_Leading In Situ Hybridization Knockout in situ hybridization (ish) has become a common laboratory technique used for the analysis of gene expression and for the. as rna in situ hybridization (ish) moves into the mainstream lab and increasingly into clinical adoption and. in situ hybridization (ish) has become a common laboratory technique used for the analysis of gene expression. traditional hybridization. In Situ Hybridization Knockout.
From www.researchgate.net
Whole mount in situ hybridization for Lmx 1 b in wildtype and knockout In Situ Hybridization Knockout in situ hybridization (ish) has become a common laboratory technique used for the analysis of gene expression. in situ hybridization (ish) has become a common laboratory technique used for the analysis of gene expression and for the. traditional hybridization techniques for solid supports involve the transfer of extracted and electrophoretically separated dna. as rna in situ. In Situ Hybridization Knockout.
From www.slideserve.com
PPT In Situ Hybridization PowerPoint Presentation, free download ID In Situ Hybridization Knockout in situ hybridization (ish) has become a common laboratory technique used for the analysis of gene expression. in situ hybridization (ish) has become a common laboratory technique used for the analysis of gene expression and for the. as rna in situ hybridization (ish) moves into the mainstream lab and increasingly into clinical adoption and. traditional hybridization. In Situ Hybridization Knockout.
From www.protocols.io
HybISS Hybridizationbased In Situ Sequencing In Situ Hybridization Knockout in situ hybridization (ish) has become a common laboratory technique used for the analysis of gene expression. traditional hybridization techniques for solid supports involve the transfer of extracted and electrophoretically separated dna. as rna in situ hybridization (ish) moves into the mainstream lab and increasingly into clinical adoption and. in situ hybridization (ish) has become a. In Situ Hybridization Knockout.
From www.youtube.com
In situ hybridization for rapid spoilage detection with HybriScan In Situ Hybridization Knockout traditional hybridization techniques for solid supports involve the transfer of extracted and electrophoretically separated dna. in situ hybridization (ish) has become a common laboratory technique used for the analysis of gene expression and for the. in situ hybridization (ish) has become a common laboratory technique used for the analysis of gene expression. as rna in situ. In Situ Hybridization Knockout.
From www.researchgate.net
Chromosomal localization and structure of the knockout transcription In Situ Hybridization Knockout in situ hybridization (ish) has become a common laboratory technique used for the analysis of gene expression and for the. traditional hybridization techniques for solid supports involve the transfer of extracted and electrophoretically separated dna. as rna in situ hybridization (ish) moves into the mainstream lab and increasingly into clinical adoption and. in situ hybridization (ish). In Situ Hybridization Knockout.
From www.genome.gov
In Situ Hybridization In Situ Hybridization Knockout in situ hybridization (ish) has become a common laboratory technique used for the analysis of gene expression and for the. as rna in situ hybridization (ish) moves into the mainstream lab and increasingly into clinical adoption and. traditional hybridization techniques for solid supports involve the transfer of extracted and electrophoretically separated dna. in situ hybridization (ish). In Situ Hybridization Knockout.
From www.researchgate.net
Representative autoradiograms showing in situ hybridization In Situ Hybridization Knockout in situ hybridization (ish) has become a common laboratory technique used for the analysis of gene expression. in situ hybridization (ish) has become a common laboratory technique used for the analysis of gene expression and for the. as rna in situ hybridization (ish) moves into the mainstream lab and increasingly into clinical adoption and. traditional hybridization. In Situ Hybridization Knockout.
From www.lubio.ch
In situ hybridization Advancements and more Blog In Situ Hybridization Knockout in situ hybridization (ish) has become a common laboratory technique used for the analysis of gene expression. traditional hybridization techniques for solid supports involve the transfer of extracted and electrophoretically separated dna. in situ hybridization (ish) has become a common laboratory technique used for the analysis of gene expression and for the. as rna in situ. In Situ Hybridization Knockout.
From www.zytomed-systems.com
In situ hybridization Zytomed Systems In Situ Hybridization Knockout traditional hybridization techniques for solid supports involve the transfer of extracted and electrophoretically separated dna. in situ hybridization (ish) has become a common laboratory technique used for the analysis of gene expression. as rna in situ hybridization (ish) moves into the mainstream lab and increasingly into clinical adoption and. in situ hybridization (ish) has become a. In Situ Hybridization Knockout.
From www.aatbio.com
Fluorescent in situ hybridization (FISH) AAT Bioquest In Situ Hybridization Knockout as rna in situ hybridization (ish) moves into the mainstream lab and increasingly into clinical adoption and. in situ hybridization (ish) has become a common laboratory technique used for the analysis of gene expression. in situ hybridization (ish) has become a common laboratory technique used for the analysis of gene expression and for the. traditional hybridization. In Situ Hybridization Knockout.
From www.researchgate.net
In situ hybridization revealed no serotonin transporter (SERT In Situ Hybridization Knockout in situ hybridization (ish) has become a common laboratory technique used for the analysis of gene expression and for the. in situ hybridization (ish) has become a common laboratory technique used for the analysis of gene expression. traditional hybridization techniques for solid supports involve the transfer of extracted and electrophoretically separated dna. as rna in situ. In Situ Hybridization Knockout.
From www.researchgate.net
Presence of laminin511 inhibits TOPflash activity. (A) In situ In Situ Hybridization Knockout traditional hybridization techniques for solid supports involve the transfer of extracted and electrophoretically separated dna. as rna in situ hybridization (ish) moves into the mainstream lab and increasingly into clinical adoption and. in situ hybridization (ish) has become a common laboratory technique used for the analysis of gene expression and for the. in situ hybridization (ish). In Situ Hybridization Knockout.
From www.lubio.ch
In situ hybridization Advancements and more Blog In Situ Hybridization Knockout in situ hybridization (ish) has become a common laboratory technique used for the analysis of gene expression. as rna in situ hybridization (ish) moves into the mainstream lab and increasingly into clinical adoption and. traditional hybridization techniques for solid supports involve the transfer of extracted and electrophoretically separated dna. in situ hybridization (ish) has become a. In Situ Hybridization Knockout.
From www.researchgate.net
Whole mount in situ hybridization for Lmx 1 b in wildtype and knockout In Situ Hybridization Knockout traditional hybridization techniques for solid supports involve the transfer of extracted and electrophoretically separated dna. in situ hybridization (ish) has become a common laboratory technique used for the analysis of gene expression and for the. in situ hybridization (ish) has become a common laboratory technique used for the analysis of gene expression. as rna in situ. In Situ Hybridization Knockout.
From www.zytomed-systems.com
In situ hybridization Zytomed Systems In Situ Hybridization Knockout in situ hybridization (ish) has become a common laboratory technique used for the analysis of gene expression. as rna in situ hybridization (ish) moves into the mainstream lab and increasingly into clinical adoption and. traditional hybridization techniques for solid supports involve the transfer of extracted and electrophoretically separated dna. in situ hybridization (ish) has become a. In Situ Hybridization Knockout.
From www.researchgate.net
Images of in situ hybridization for aromatase exon IV and Nissl In Situ Hybridization Knockout traditional hybridization techniques for solid supports involve the transfer of extracted and electrophoretically separated dna. in situ hybridization (ish) has become a common laboratory technique used for the analysis of gene expression and for the. in situ hybridization (ish) has become a common laboratory technique used for the analysis of gene expression. as rna in situ. In Situ Hybridization Knockout.
From www.researchgate.net
Representative photomicrographs of in situ hybridization for In Situ Hybridization Knockout as rna in situ hybridization (ish) moves into the mainstream lab and increasingly into clinical adoption and. traditional hybridization techniques for solid supports involve the transfer of extracted and electrophoretically separated dna. in situ hybridization (ish) has become a common laboratory technique used for the analysis of gene expression and for the. in situ hybridization (ish). In Situ Hybridization Knockout.
From tinnongtuyensinh.com
Exploring Fluorescence In Situ Hybridization Probing The Types In Situ Hybridization Knockout in situ hybridization (ish) has become a common laboratory technique used for the analysis of gene expression. as rna in situ hybridization (ish) moves into the mainstream lab and increasingly into clinical adoption and. in situ hybridization (ish) has become a common laboratory technique used for the analysis of gene expression and for the. traditional hybridization. In Situ Hybridization Knockout.
From homepages.inf.ed.ac.uk
Fluorescence In Situ Hybridization In Situ Hybridization Knockout in situ hybridization (ish) has become a common laboratory technique used for the analysis of gene expression. in situ hybridization (ish) has become a common laboratory technique used for the analysis of gene expression and for the. traditional hybridization techniques for solid supports involve the transfer of extracted and electrophoretically separated dna. as rna in situ. In Situ Hybridization Knockout.
From www.jove.com
Simple Method for Fluorescence DNA In Situ Hybridization to Squashed In Situ Hybridization Knockout in situ hybridization (ish) has become a common laboratory technique used for the analysis of gene expression. as rna in situ hybridization (ish) moves into the mainstream lab and increasingly into clinical adoption and. traditional hybridization techniques for solid supports involve the transfer of extracted and electrophoretically separated dna. in situ hybridization (ish) has become a. In Situ Hybridization Knockout.
From www.protocols.io
HybISS Hybridizationbased In Situ Sequencing In Situ Hybridization Knockout in situ hybridization (ish) has become a common laboratory technique used for the analysis of gene expression and for the. as rna in situ hybridization (ish) moves into the mainstream lab and increasingly into clinical adoption and. in situ hybridization (ish) has become a common laboratory technique used for the analysis of gene expression. traditional hybridization. In Situ Hybridization Knockout.