Euler Equations Rigid Body Derivation . See examples of how to apply the euler. learn how to derive the euler equations for the motion of a rigid body in space, using angular velocity, angular momentum and. — learn how to apply euler's equations of motion to describe the rotational dynamics of a rigid body in a. learn how to apply euler's equations to describe the rotation of a rigid body with three principal moments of inertia. See examples, derivations and diagrams of eulerian angles and torques. What is euler’s equation about? learn how to describe the orientation and motion of a rotating body using euler angles:
from www.youtube.com
learn how to derive the euler equations for the motion of a rigid body in space, using angular velocity, angular momentum and. See examples, derivations and diagrams of eulerian angles and torques. learn how to apply euler's equations to describe the rotation of a rigid body with three principal moments of inertia. — learn how to apply euler's equations of motion to describe the rotational dynamics of a rigid body in a. See examples of how to apply the euler. learn how to describe the orientation and motion of a rotating body using euler angles: What is euler’s equation about?
Mechanics Euler's equation for the motion of a rigid body YouTube
Euler Equations Rigid Body Derivation learn how to describe the orientation and motion of a rotating body using euler angles: learn how to describe the orientation and motion of a rotating body using euler angles: learn how to apply euler's equations to describe the rotation of a rigid body with three principal moments of inertia. What is euler’s equation about? See examples of how to apply the euler. See examples, derivations and diagrams of eulerian angles and torques. — learn how to apply euler's equations of motion to describe the rotational dynamics of a rigid body in a. learn how to derive the euler equations for the motion of a rigid body in space, using angular velocity, angular momentum and.
From www.slideserve.com
PPT Rigid Body Dynamics PowerPoint Presentation, free download ID Euler Equations Rigid Body Derivation learn how to derive the euler equations for the motion of a rigid body in space, using angular velocity, angular momentum and. See examples, derivations and diagrams of eulerian angles and torques. — learn how to apply euler's equations of motion to describe the rotational dynamics of a rigid body in a. What is euler’s equation about? . Euler Equations Rigid Body Derivation.
From www.youtube.com
Advanced Robot Dynamics (CMU 16715) Lecture 7 Euler's Equation for Euler Equations Rigid Body Derivation What is euler’s equation about? See examples of how to apply the euler. learn how to describe the orientation and motion of a rotating body using euler angles: learn how to apply euler's equations to describe the rotation of a rigid body with three principal moments of inertia. learn how to derive the euler equations for the. Euler Equations Rigid Body Derivation.
From www.slideserve.com
PPT The Spinning Top PowerPoint Presentation, free download ID6816267 Euler Equations Rigid Body Derivation learn how to derive the euler equations for the motion of a rigid body in space, using angular velocity, angular momentum and. See examples of how to apply the euler. learn how to apply euler's equations to describe the rotation of a rigid body with three principal moments of inertia. learn how to describe the orientation and. Euler Equations Rigid Body Derivation.
From www.youtube.com
Euler's equation of motion of a rigid body YouTube Euler Equations Rigid Body Derivation learn how to apply euler's equations to describe the rotation of a rigid body with three principal moments of inertia. See examples of how to apply the euler. learn how to derive the euler equations for the motion of a rigid body in space, using angular velocity, angular momentum and. learn how to describe the orientation and. Euler Equations Rigid Body Derivation.
From www.chegg.com
Solved Problem 1 Consider the Euler equations for the Euler Equations Rigid Body Derivation — learn how to apply euler's equations of motion to describe the rotational dynamics of a rigid body in a. learn how to derive the euler equations for the motion of a rigid body in space, using angular velocity, angular momentum and. learn how to describe the orientation and motion of a rotating body using euler angles:. Euler Equations Rigid Body Derivation.
From www.chegg.com
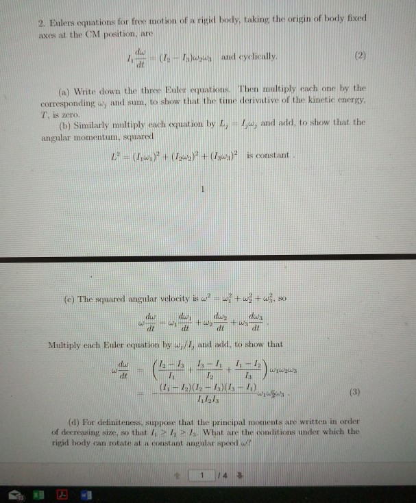
Solved 2. Eulers equations for free motion of a rigid body, Euler Equations Rigid Body Derivation — learn how to apply euler's equations of motion to describe the rotational dynamics of a rigid body in a. See examples, derivations and diagrams of eulerian angles and torques. learn how to apply euler's equations to describe the rotation of a rigid body with three principal moments of inertia. See examples of how to apply the euler.. Euler Equations Rigid Body Derivation.
From www.studocu.com
3D Rigid Body Dynamics Euler Equations in Euler Angles J. Peraire, S Euler Equations Rigid Body Derivation learn how to apply euler's equations to describe the rotation of a rigid body with three principal moments of inertia. learn how to derive the euler equations for the motion of a rigid body in space, using angular velocity, angular momentum and. What is euler’s equation about? See examples, derivations and diagrams of eulerian angles and torques. . Euler Equations Rigid Body Derivation.
From www.youtube.com
Euler geometrical equations, dynamics of a rigid body, eulerian angles Euler Equations Rigid Body Derivation — learn how to apply euler's equations of motion to describe the rotational dynamics of a rigid body in a. learn how to apply euler's equations to describe the rotation of a rigid body with three principal moments of inertia. See examples, derivations and diagrams of eulerian angles and torques. What is euler’s equation about? learn how. Euler Equations Rigid Body Derivation.
From www.youtube.com
Euler’s equation of motion of rigid body Euler’s geometrical Euler Equations Rigid Body Derivation learn how to apply euler's equations to describe the rotation of a rigid body with three principal moments of inertia. — learn how to apply euler's equations of motion to describe the rotational dynamics of a rigid body in a. learn how to describe the orientation and motion of a rotating body using euler angles: See examples,. Euler Equations Rigid Body Derivation.
From www.youtube.com
Lecture 26 Planar rigid body Newton’s and Euler’s equation Euler Equations Rigid Body Derivation learn how to describe the orientation and motion of a rotating body using euler angles: learn how to apply euler's equations to describe the rotation of a rigid body with three principal moments of inertia. See examples of how to apply the euler. learn how to derive the euler equations for the motion of a rigid body. Euler Equations Rigid Body Derivation.
From www.youtube.com
Euler's equation of motion for rigid body Step by step derivation Euler Equations Rigid Body Derivation learn how to apply euler's equations to describe the rotation of a rigid body with three principal moments of inertia. learn how to derive the euler equations for the motion of a rigid body in space, using angular velocity, angular momentum and. learn how to describe the orientation and motion of a rotating body using euler angles:. Euler Equations Rigid Body Derivation.
From www.slideserve.com
PPT Lectures D25D26 3D Rigid Body Dynamics PowerPoint Presentation Euler Equations Rigid Body Derivation learn how to derive the euler equations for the motion of a rigid body in space, using angular velocity, angular momentum and. learn how to apply euler's equations to describe the rotation of a rigid body with three principal moments of inertia. See examples of how to apply the euler. learn how to describe the orientation and. Euler Equations Rigid Body Derivation.
From www.researchgate.net
(PDF) Deriving Euler’s Equation for RigidBody Rotation via Lagrangian Euler Equations Rigid Body Derivation See examples, derivations and diagrams of eulerian angles and torques. — learn how to apply euler's equations of motion to describe the rotational dynamics of a rigid body in a. learn how to apply euler's equations to describe the rotation of a rigid body with three principal moments of inertia. learn how to describe the orientation and. Euler Equations Rigid Body Derivation.
From www.youtube.com
eulers equation of motion derivation YouTube Euler Equations Rigid Body Derivation See examples, derivations and diagrams of eulerian angles and torques. — learn how to apply euler's equations of motion to describe the rotational dynamics of a rigid body in a. What is euler’s equation about? See examples of how to apply the euler. learn how to describe the orientation and motion of a rotating body using euler angles:. Euler Equations Rigid Body Derivation.
From www.youtube.com
CM35 Euler's Equation of Motion and Force Free Motion of a Rigid Body Euler Equations Rigid Body Derivation learn how to describe the orientation and motion of a rotating body using euler angles: See examples of how to apply the euler. — learn how to apply euler's equations of motion to describe the rotational dynamics of a rigid body in a. What is euler’s equation about? See examples, derivations and diagrams of eulerian angles and torques.. Euler Equations Rigid Body Derivation.
From www.youtube.com
principle axes , Euler equations of motion and Torque free motion of Euler Equations Rigid Body Derivation What is euler’s equation about? learn how to derive the euler equations for the motion of a rigid body in space, using angular velocity, angular momentum and. — learn how to apply euler's equations of motion to describe the rotational dynamics of a rigid body in a. See examples of how to apply the euler. See examples, derivations. Euler Equations Rigid Body Derivation.
From www.youtube.com
Euler's equation of motion YouTube Euler Equations Rigid Body Derivation See examples, derivations and diagrams of eulerian angles and torques. learn how to describe the orientation and motion of a rotating body using euler angles: learn how to apply euler's equations to describe the rotation of a rigid body with three principal moments of inertia. See examples of how to apply the euler. learn how to derive. Euler Equations Rigid Body Derivation.
From 9to5science.com
[Solved] Euler's equations of rigid body motion from 9to5Science Euler Equations Rigid Body Derivation — learn how to apply euler's equations of motion to describe the rotational dynamics of a rigid body in a. learn how to describe the orientation and motion of a rotating body using euler angles: See examples, derivations and diagrams of eulerian angles and torques. learn how to apply euler's equations to describe the rotation of a. Euler Equations Rigid Body Derivation.
From www.youtube.com
Fluid Dynamics Euler's equation of motion for VTU 4 Semester Euler Equations Rigid Body Derivation learn how to derive the euler equations for the motion of a rigid body in space, using angular velocity, angular momentum and. learn how to apply euler's equations to describe the rotation of a rigid body with three principal moments of inertia. See examples, derivations and diagrams of eulerian angles and torques. See examples of how to apply. Euler Equations Rigid Body Derivation.
From www.youtube.com
Euler’s equations of motion of a rigid body by Lagrange’s method YouTube Euler Equations Rigid Body Derivation What is euler’s equation about? See examples, derivations and diagrams of eulerian angles and torques. learn how to describe the orientation and motion of a rotating body using euler angles: — learn how to apply euler's equations of motion to describe the rotational dynamics of a rigid body in a. learn how to derive the euler equations. Euler Equations Rigid Body Derivation.
From www.youtube.com
20.2 Rigid Bodies in 3D Euler's Equation of Motion YouTube Euler Equations Rigid Body Derivation learn how to describe the orientation and motion of a rotating body using euler angles: What is euler’s equation about? See examples of how to apply the euler. See examples, derivations and diagrams of eulerian angles and torques. learn how to derive the euler equations for the motion of a rigid body in space, using angular velocity, angular. Euler Equations Rigid Body Derivation.
From www.youtube.com
🟤 Euler's Equation for Motion of a Rigid Body // derivation of eular's Euler Equations Rigid Body Derivation learn how to describe the orientation and motion of a rotating body using euler angles: — learn how to apply euler's equations of motion to describe the rotational dynamics of a rigid body in a. learn how to apply euler's equations to describe the rotation of a rigid body with three principal moments of inertia. See examples. Euler Equations Rigid Body Derivation.
From www.youtube.com
Rigid Body Kinematic Differential Equation for Euler Angles & Rotation Euler Equations Rigid Body Derivation See examples, derivations and diagrams of eulerian angles and torques. learn how to apply euler's equations to describe the rotation of a rigid body with three principal moments of inertia. See examples of how to apply the euler. What is euler’s equation about? learn how to derive the euler equations for the motion of a rigid body in. Euler Equations Rigid Body Derivation.
From www.youtube.com
Dynamics of Rigid Bodies The Euler Equations of Motion YouTube Euler Equations Rigid Body Derivation learn how to apply euler's equations to describe the rotation of a rigid body with three principal moments of inertia. learn how to derive the euler equations for the motion of a rigid body in space, using angular velocity, angular momentum and. See examples of how to apply the euler. — learn how to apply euler's equations. Euler Equations Rigid Body Derivation.
From www.youtube.com
Derivation of the Euler Equation for Rigid Body Rotations YouTube Euler Equations Rigid Body Derivation See examples, derivations and diagrams of eulerian angles and torques. learn how to apply euler's equations to describe the rotation of a rigid body with three principal moments of inertia. What is euler’s equation about? — learn how to apply euler's equations of motion to describe the rotational dynamics of a rigid body in a. learn how. Euler Equations Rigid Body Derivation.
From www.youtube.com
Euler's Equations of Rigid Body Dynamics Derived Qualitative Analysis Euler Equations Rigid Body Derivation learn how to derive the euler equations for the motion of a rigid body in space, using angular velocity, angular momentum and. — learn how to apply euler's equations of motion to describe the rotational dynamics of a rigid body in a. learn how to describe the orientation and motion of a rotating body using euler angles:. Euler Equations Rigid Body Derivation.
From www.youtube.com
Euler's equations of rigid body motion. YouTube Euler Equations Rigid Body Derivation — learn how to apply euler's equations of motion to describe the rotational dynamics of a rigid body in a. learn how to derive the euler equations for the motion of a rigid body in space, using angular velocity, angular momentum and. learn how to apply euler's equations to describe the rotation of a rigid body with. Euler Equations Rigid Body Derivation.
From www.youtube.com
NewtonEuler Equations for Rigid Body Center of Mass & Inertia Tensor Euler Equations Rigid Body Derivation See examples, derivations and diagrams of eulerian angles and torques. What is euler’s equation about? — learn how to apply euler's equations of motion to describe the rotational dynamics of a rigid body in a. See examples of how to apply the euler. learn how to derive the euler equations for the motion of a rigid body in. Euler Equations Rigid Body Derivation.
From www.youtube.com
Euler Angle Rates & Angular Velocity Kinematic Differential Equation Euler Equations Rigid Body Derivation learn how to derive the euler equations for the motion of a rigid body in space, using angular velocity, angular momentum and. See examples, derivations and diagrams of eulerian angles and torques. — learn how to apply euler's equations of motion to describe the rotational dynamics of a rigid body in a. See examples of how to apply. Euler Equations Rigid Body Derivation.
From dokumen.tips
(PDF) 11.2 Euler’s Equations (of motion for a Rigid Body)n.ethz.ch Euler Equations Rigid Body Derivation What is euler’s equation about? learn how to describe the orientation and motion of a rotating body using euler angles: See examples, derivations and diagrams of eulerian angles and torques. learn how to derive the euler equations for the motion of a rigid body in space, using angular velocity, angular momentum and. learn how to apply euler's. Euler Equations Rigid Body Derivation.
From www.researchgate.net
(PDF) Generalized Euler’s equations describing the motion of a rigid Euler Equations Rigid Body Derivation learn how to describe the orientation and motion of a rotating body using euler angles: What is euler’s equation about? See examples, derivations and diagrams of eulerian angles and torques. — learn how to apply euler's equations of motion to describe the rotational dynamics of a rigid body in a. See examples of how to apply the euler.. Euler Equations Rigid Body Derivation.
From dokumen.tips
(PDF) Another Derivation of Euler's Equations of RigidBody Rotation Euler Equations Rigid Body Derivation What is euler’s equation about? learn how to describe the orientation and motion of a rotating body using euler angles: — learn how to apply euler's equations of motion to describe the rotational dynamics of a rigid body in a. See examples of how to apply the euler. See examples, derivations and diagrams of eulerian angles and torques.. Euler Equations Rigid Body Derivation.
From www.youtube.com
Mechanics Euler's equation for the motion of a rigid body YouTube Euler Equations Rigid Body Derivation learn how to apply euler's equations to describe the rotation of a rigid body with three principal moments of inertia. See examples, derivations and diagrams of eulerian angles and torques. — learn how to apply euler's equations of motion to describe the rotational dynamics of a rigid body in a. learn how to derive the euler equations. Euler Equations Rigid Body Derivation.
From www.scribd.com
Forms of Euler's Equation For A Rigid Body PDF Euler Equations Rigid Body Derivation See examples of how to apply the euler. See examples, derivations and diagrams of eulerian angles and torques. learn how to derive the euler equations for the motion of a rigid body in space, using angular velocity, angular momentum and. What is euler’s equation about? — learn how to apply euler's equations of motion to describe the rotational. Euler Equations Rigid Body Derivation.
From www.slideserve.com
PPT Lectures D25D26 3D Rigid Body Dynamics PowerPoint Presentation Euler Equations Rigid Body Derivation — learn how to apply euler's equations of motion to describe the rotational dynamics of a rigid body in a. learn how to describe the orientation and motion of a rotating body using euler angles: See examples of how to apply the euler. See examples, derivations and diagrams of eulerian angles and torques. learn how to derive. Euler Equations Rigid Body Derivation.