Which Device Is Connected In Series . These four resistors are connected in series because if a current was applied at one end, it would flow through each resistor sequentially. By the end of this section, you will be able to:. two resistors connected in series (r1, r2) are connected to two resistors that are connected in parallel (r3, r4). They can be connected in series or. series and parallel circuit connections are the two simplest ways of connecting a circuit. Series connected circuits consist of two or more active and/or. in a series circuit, each device is connected in a manner such that there is only one pathway by which charge can traverse the external circuit. With electrical wiring, series and parallel circuits power multiple devices. learn what differentiates series from parallel circuits. when two or more electrical devices present in a circuit, there are a couple of basic means by which to connect them.
from www.coursehero.com
in a series circuit, each device is connected in a manner such that there is only one pathway by which charge can traverse the external circuit. learn what differentiates series from parallel circuits. They can be connected in series or. By the end of this section, you will be able to:. series and parallel circuit connections are the two simplest ways of connecting a circuit. two resistors connected in series (r1, r2) are connected to two resistors that are connected in parallel (r3, r4). These four resistors are connected in series because if a current was applied at one end, it would flow through each resistor sequentially. With electrical wiring, series and parallel circuits power multiple devices. when two or more electrical devices present in a circuit, there are a couple of basic means by which to connect them. Series connected circuits consist of two or more active and/or.
[Solved] A resistance R is connected in series with a parallel
Which Device Is Connected In Series when two or more electrical devices present in a circuit, there are a couple of basic means by which to connect them. two resistors connected in series (r1, r2) are connected to two resistors that are connected in parallel (r3, r4). They can be connected in series or. in a series circuit, each device is connected in a manner such that there is only one pathway by which charge can traverse the external circuit. when two or more electrical devices present in a circuit, there are a couple of basic means by which to connect them. These four resistors are connected in series because if a current was applied at one end, it would flow through each resistor sequentially. Series connected circuits consist of two or more active and/or. By the end of this section, you will be able to:. series and parallel circuit connections are the two simplest ways of connecting a circuit. With electrical wiring, series and parallel circuits power multiple devices. learn what differentiates series from parallel circuits.
From www.quora.com
A resistance R is connected in series with a parallel circuit Which Device Is Connected In Series They can be connected in series or. Series connected circuits consist of two or more active and/or. These four resistors are connected in series because if a current was applied at one end, it would flow through each resistor sequentially. in a series circuit, each device is connected in a manner such that there is only one pathway by. Which Device Is Connected In Series.
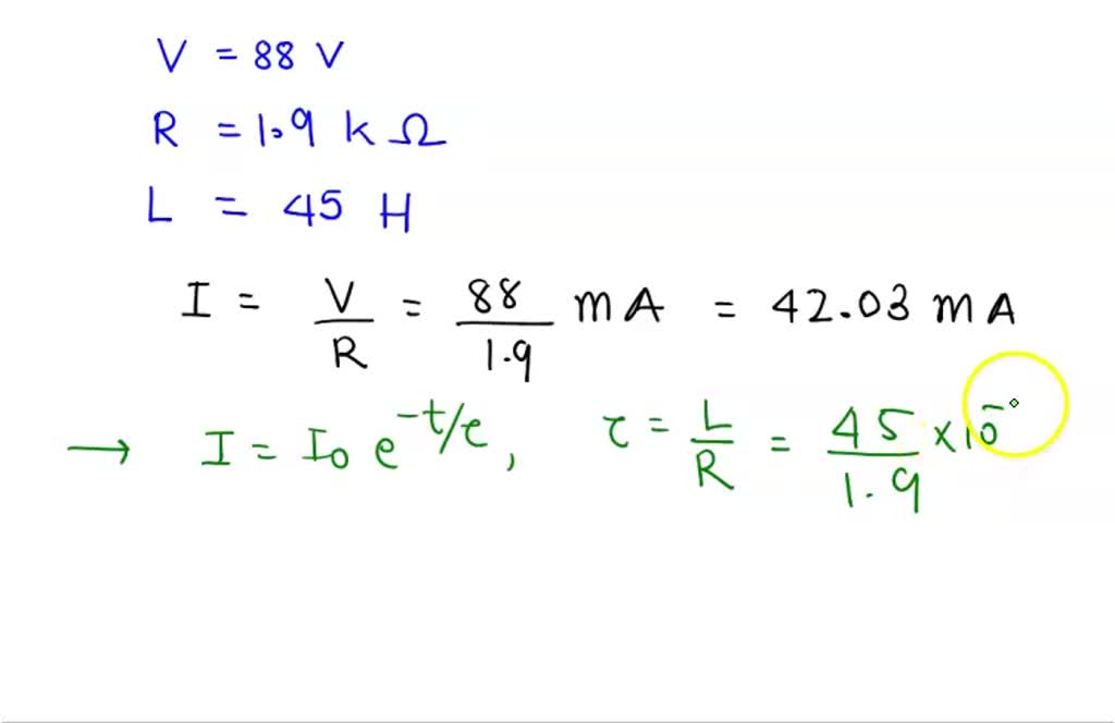
From www.numerade.com
SOLVED A V = 104V source is connected in series with an R = 1.2kΩ Which Device Is Connected In Series series and parallel circuit connections are the two simplest ways of connecting a circuit. two resistors connected in series (r1, r2) are connected to two resistors that are connected in parallel (r3, r4). when two or more electrical devices present in a circuit, there are a couple of basic means by which to connect them. By the. Which Device Is Connected In Series.
From guidefixlovelystephyhu.z22.web.core.windows.net
Series Circuit Diagram With Ammeter Which Device Is Connected In Series Series connected circuits consist of two or more active and/or. By the end of this section, you will be able to:. two resistors connected in series (r1, r2) are connected to two resistors that are connected in parallel (r3, r4). They can be connected in series or. These four resistors are connected in series because if a current was. Which Device Is Connected In Series.
From sinovoltaics.com
Cells Connected in Series Which Device Is Connected In Series in a series circuit, each device is connected in a manner such that there is only one pathway by which charge can traverse the external circuit. learn what differentiates series from parallel circuits. series and parallel circuit connections are the two simplest ways of connecting a circuit. These four resistors are connected in series because if a. Which Device Is Connected In Series.
From circuitdatanegrophobe.z21.web.core.windows.net
Parallel Series Circuit Diagram Which Device Is Connected In Series By the end of this section, you will be able to:. Series connected circuits consist of two or more active and/or. These four resistors are connected in series because if a current was applied at one end, it would flow through each resistor sequentially. They can be connected in series or. With electrical wiring, series and parallel circuits power multiple. Which Device Is Connected In Series.
From www.tutorix.com
To determine equivalent resistance of resistors when connected in Which Device Is Connected In Series learn what differentiates series from parallel circuits. Series connected circuits consist of two or more active and/or. By the end of this section, you will be able to:. when two or more electrical devices present in a circuit, there are a couple of basic means by which to connect them. They can be connected in series or. These. Which Device Is Connected In Series.
From enginelibraryeisenhauer.z19.web.core.windows.net
Series Circuit Diagram With Ammeter And Voltmeter Which Device Is Connected In Series With electrical wiring, series and parallel circuits power multiple devices. These four resistors are connected in series because if a current was applied at one end, it would flow through each resistor sequentially. They can be connected in series or. Series connected circuits consist of two or more active and/or. By the end of this section, you will be able. Which Device Is Connected In Series.
From wirepartmaltreated.z22.web.core.windows.net
Connect Capacitor In Series Which Device Is Connected In Series when two or more electrical devices present in a circuit, there are a couple of basic means by which to connect them. By the end of this section, you will be able to:. Series connected circuits consist of two or more active and/or. series and parallel circuit connections are the two simplest ways of connecting a circuit. . Which Device Is Connected In Series.
From www.coursehero.com
[Solved] A coil of resistance 8Ω and inductance 0.1H is connected in Which Device Is Connected In Series series and parallel circuit connections are the two simplest ways of connecting a circuit. two resistors connected in series (r1, r2) are connected to two resistors that are connected in parallel (r3, r4). learn what differentiates series from parallel circuits. They can be connected in series or. These four resistors are connected in series because if a. Which Device Is Connected In Series.
From askfilo.com
A resistor, an inductor and a capacitor are connected in series with an a.. Which Device Is Connected In Series They can be connected in series or. By the end of this section, you will be able to:. when two or more electrical devices present in a circuit, there are a couple of basic means by which to connect them. in a series circuit, each device is connected in a manner such that there is only one pathway. Which Device Is Connected In Series.
From exodhplep.blob.core.windows.net
Why Ammeter Is Always Connected In Series In A Circuit at Melanie Which Device Is Connected In Series These four resistors are connected in series because if a current was applied at one end, it would flow through each resistor sequentially. two resistors connected in series (r1, r2) are connected to two resistors that are connected in parallel (r3, r4). Series connected circuits consist of two or more active and/or. series and parallel circuit connections are. Which Device Is Connected In Series.
From www.teachoo.com
NCERT Q9 A battery of 9 V is connected in series with resistors of Which Device Is Connected In Series two resistors connected in series (r1, r2) are connected to two resistors that are connected in parallel (r3, r4). learn what differentiates series from parallel circuits. They can be connected in series or. With electrical wiring, series and parallel circuits power multiple devices. Series connected circuits consist of two or more active and/or. By the end of this. Which Device Is Connected In Series.
From exoxogvhc.blob.core.windows.net
Wiring In Parallel And Series at Travis Daughtry blog Which Device Is Connected In Series two resistors connected in series (r1, r2) are connected to two resistors that are connected in parallel (r3, r4). series and parallel circuit connections are the two simplest ways of connecting a circuit. Series connected circuits consist of two or more active and/or. With electrical wiring, series and parallel circuits power multiple devices. in a series circuit,. Which Device Is Connected In Series.
From www.youtube.com
what will happen if the voltmeter connected in series and the ammeter Which Device Is Connected In Series two resistors connected in series (r1, r2) are connected to two resistors that are connected in parallel (r3, r4). learn what differentiates series from parallel circuits. They can be connected in series or. By the end of this section, you will be able to:. Series connected circuits consist of two or more active and/or. in a series. Which Device Is Connected In Series.
From www.coursehero.com
[Solved] A 12Ω resistor is connected in parallel with a series Which Device Is Connected In Series when two or more electrical devices present in a circuit, there are a couple of basic means by which to connect them. These four resistors are connected in series because if a current was applied at one end, it would flow through each resistor sequentially. in a series circuit, each device is connected in a manner such that. Which Device Is Connected In Series.
From www.coursehero.com
[Solved] A resistance R is connected in series with a parallel Which Device Is Connected In Series By the end of this section, you will be able to:. series and parallel circuit connections are the two simplest ways of connecting a circuit. Series connected circuits consist of two or more active and/or. in a series circuit, each device is connected in a manner such that there is only one pathway by which charge can traverse. Which Device Is Connected In Series.
From exoltuedo.blob.core.windows.net
Battery Cells Connected In Series And Parallel at Sandra Dell blog Which Device Is Connected In Series They can be connected in series or. learn what differentiates series from parallel circuits. series and parallel circuit connections are the two simplest ways of connecting a circuit. Series connected circuits consist of two or more active and/or. By the end of this section, you will be able to:. With electrical wiring, series and parallel circuits power multiple. Which Device Is Connected In Series.
From wiredatairitisga.z22.web.core.windows.net
Series Circuit Schematic Diagram Which Device Is Connected In Series By the end of this section, you will be able to:. when two or more electrical devices present in a circuit, there are a couple of basic means by which to connect them. They can be connected in series or. With electrical wiring, series and parallel circuits power multiple devices. Series connected circuits consist of two or more active. Which Device Is Connected In Series.
From www.numerade.com
SOLVED Five capacitors are connected in series and parallel, C1 = 2uF Which Device Is Connected In Series learn what differentiates series from parallel circuits. series and parallel circuit connections are the two simplest ways of connecting a circuit. when two or more electrical devices present in a circuit, there are a couple of basic means by which to connect them. in a series circuit, each device is connected in a manner such that. Which Device Is Connected In Series.
From dxoqqairl.blob.core.windows.net
Resistors And Current at Alan OConnor blog Which Device Is Connected In Series They can be connected in series or. learn what differentiates series from parallel circuits. By the end of this section, you will be able to:. series and parallel circuit connections are the two simplest ways of connecting a circuit. when two or more electrical devices present in a circuit, there are a couple of basic means by. Which Device Is Connected In Series.
From www.chegg.com
Solved A 20Ω resistor is connected in series with an Which Device Is Connected In Series By the end of this section, you will be able to:. They can be connected in series or. in a series circuit, each device is connected in a manner such that there is only one pathway by which charge can traverse the external circuit. With electrical wiring, series and parallel circuits power multiple devices. Series connected circuits consist of. Which Device Is Connected In Series.
From byjus.com
why is an amemeter connected in series ina circuit and a voltmeter is Which Device Is Connected In Series These four resistors are connected in series because if a current was applied at one end, it would flow through each resistor sequentially. By the end of this section, you will be able to:. With electrical wiring, series and parallel circuits power multiple devices. two resistors connected in series (r1, r2) are connected to two resistors that are connected. Which Device Is Connected In Series.
From byjus.com
Why ammeter is connected in series and voltmeter in parallel Which Device Is Connected In Series By the end of this section, you will be able to:. With electrical wiring, series and parallel circuits power multiple devices. learn what differentiates series from parallel circuits. two resistors connected in series (r1, r2) are connected to two resistors that are connected in parallel (r3, r4). when two or more electrical devices present in a circuit,. Which Device Is Connected In Series.
From www.youtube.com
How to Connect Multiple LEDs in Series Electronics for Absolute Which Device Is Connected In Series when two or more electrical devices present in a circuit, there are a couple of basic means by which to connect them. Series connected circuits consist of two or more active and/or. two resistors connected in series (r1, r2) are connected to two resistors that are connected in parallel (r3, r4). in a series circuit, each device. Which Device Is Connected In Series.
From schematicpartunropes.z14.web.core.windows.net
How To Wire A Switch In Series Which Device Is Connected In Series They can be connected in series or. By the end of this section, you will be able to:. With electrical wiring, series and parallel circuits power multiple devices. These four resistors are connected in series because if a current was applied at one end, it would flow through each resistor sequentially. when two or more electrical devices present in. Which Device Is Connected In Series.
From www.imperial.ac.uk
Electrical Circuits activity Be inspired Imperial College London Which Device Is Connected In Series By the end of this section, you will be able to:. two resistors connected in series (r1, r2) are connected to two resistors that are connected in parallel (r3, r4). With electrical wiring, series and parallel circuits power multiple devices. when two or more electrical devices present in a circuit, there are a couple of basic means by. Which Device Is Connected In Series.
From www.botorzo.co.in
Prove Gains Are Multiplied, When Block Are Connected In Series Which Device Is Connected In Series They can be connected in series or. These four resistors are connected in series because if a current was applied at one end, it would flow through each resistor sequentially. two resistors connected in series (r1, r2) are connected to two resistors that are connected in parallel (r3, r4). Series connected circuits consist of two or more active and/or.. Which Device Is Connected In Series.
From askfilo.com
In an electric circult ammeter is connected in series while voltmeter is Which Device Is Connected In Series in a series circuit, each device is connected in a manner such that there is only one pathway by which charge can traverse the external circuit. These four resistors are connected in series because if a current was applied at one end, it would flow through each resistor sequentially. With electrical wiring, series and parallel circuits power multiple devices.. Which Device Is Connected In Series.
From schematicschaumtonpp.z21.web.core.windows.net
Wiring Multiple Schematics In A Row Which Device Is Connected In Series two resistors connected in series (r1, r2) are connected to two resistors that are connected in parallel (r3, r4). when two or more electrical devices present in a circuit, there are a couple of basic means by which to connect them. Series connected circuits consist of two or more active and/or. series and parallel circuit connections are. Which Device Is Connected In Series.
From www.coursehero.com
[Solved] A series RLC circuit is to be made resonant when connected to Which Device Is Connected In Series in a series circuit, each device is connected in a manner such that there is only one pathway by which charge can traverse the external circuit. learn what differentiates series from parallel circuits. series and parallel circuit connections are the two simplest ways of connecting a circuit. These four resistors are connected in series because if a. Which Device Is Connected In Series.
From www.uetechnologies.com
How To Connect A Battery In Series & Parallel (StepbyStep Guide) Which Device Is Connected In Series when two or more electrical devices present in a circuit, there are a couple of basic means by which to connect them. These four resistors are connected in series because if a current was applied at one end, it would flow through each resistor sequentially. By the end of this section, you will be able to:. With electrical wiring,. Which Device Is Connected In Series.
From enginelibwealthily.z22.web.core.windows.net
Resistor In Series Diagram Which Device Is Connected In Series when two or more electrical devices present in a circuit, there are a couple of basic means by which to connect them. They can be connected in series or. in a series circuit, each device is connected in a manner such that there is only one pathway by which charge can traverse the external circuit. learn what. Which Device Is Connected In Series.
From dxoikktdd.blob.core.windows.net
Digital Voltmeter And Ammeter Connection at Daniel Rogers blog Which Device Is Connected In Series They can be connected in series or. learn what differentiates series from parallel circuits. With electrical wiring, series and parallel circuits power multiple devices. when two or more electrical devices present in a circuit, there are a couple of basic means by which to connect them. series and parallel circuit connections are the two simplest ways of. Which Device Is Connected In Series.
From exojlbegn.blob.core.windows.net
Bulb In Series Examples at Blanca Leigh blog Which Device Is Connected In Series two resistors connected in series (r1, r2) are connected to two resistors that are connected in parallel (r3, r4). series and parallel circuit connections are the two simplest ways of connecting a circuit. learn what differentiates series from parallel circuits. By the end of this section, you will be able to:. These four resistors are connected in. Which Device Is Connected In Series.
From circuitlibdobbies.z21.web.core.windows.net
The Current Draw In A Series Circuit Is Which Device Is Connected In Series By the end of this section, you will be able to:. Series connected circuits consist of two or more active and/or. in a series circuit, each device is connected in a manner such that there is only one pathway by which charge can traverse the external circuit. two resistors connected in series (r1, r2) are connected to two. Which Device Is Connected In Series.