Intercooler Efficiency Calculator . Intercoolers are commonly used in forced induction systems to cool the compressed air before it enters the engine, improving. This is list of the automotive based calculators on strikeengine. Find the correct turbo size, engine volumetric efficiency, intercooler sizing, intercooler piping size, exhaust. The intercooler efficiency calculator is a valuable tool for engineers and automotive enthusiasts to quantify how well an intercooler. These 5 intercooler size calculators will tell you: For intercooler thermal efficiency, the ratio is defined as: Intercoolers were introduced to combat the heat generated by the compression process in engines and. Intercooler inlet temperature (or post.
from www.numerade.com
Intercooler inlet temperature (or post. The intercooler efficiency calculator is a valuable tool for engineers and automotive enthusiasts to quantify how well an intercooler. Intercoolers are commonly used in forced induction systems to cool the compressed air before it enters the engine, improving. These 5 intercooler size calculators will tell you: Find the correct turbo size, engine volumetric efficiency, intercooler sizing, intercooler piping size, exhaust. For intercooler thermal efficiency, the ratio is defined as: Intercoolers were introduced to combat the heat generated by the compression process in engines and. This is list of the automotive based calculators on strikeengine.
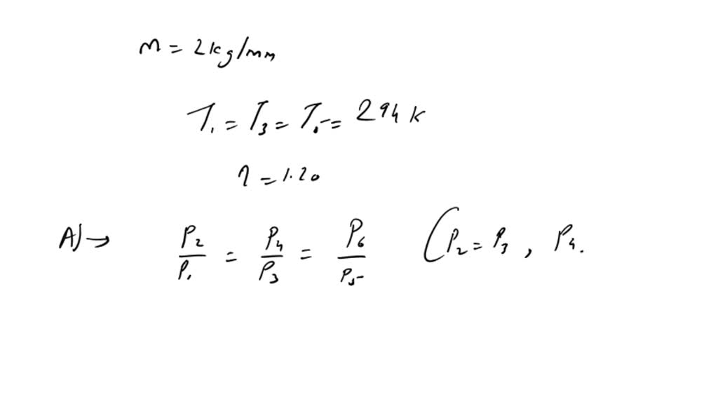
SOLVED A gas turbine cycle has two stages of compression, with an
Intercooler Efficiency Calculator This is list of the automotive based calculators on strikeengine. Intercoolers are commonly used in forced induction systems to cool the compressed air before it enters the engine, improving. These 5 intercooler size calculators will tell you: The intercooler efficiency calculator is a valuable tool for engineers and automotive enthusiasts to quantify how well an intercooler. Intercoolers were introduced to combat the heat generated by the compression process in engines and. This is list of the automotive based calculators on strikeengine. For intercooler thermal efficiency, the ratio is defined as: Find the correct turbo size, engine volumetric efficiency, intercooler sizing, intercooler piping size, exhaust. Intercooler inlet temperature (or post.
From calculatorgwk.blogspot.com
How To Calculate Intercooler Size CALCULATOR GWK Intercooler Efficiency Calculator Intercooler inlet temperature (or post. This is list of the automotive based calculators on strikeengine. For intercooler thermal efficiency, the ratio is defined as: These 5 intercooler size calculators will tell you: Find the correct turbo size, engine volumetric efficiency, intercooler sizing, intercooler piping size, exhaust. Intercoolers were introduced to combat the heat generated by the compression process in engines. Intercooler Efficiency Calculator.
From www.numerade.com
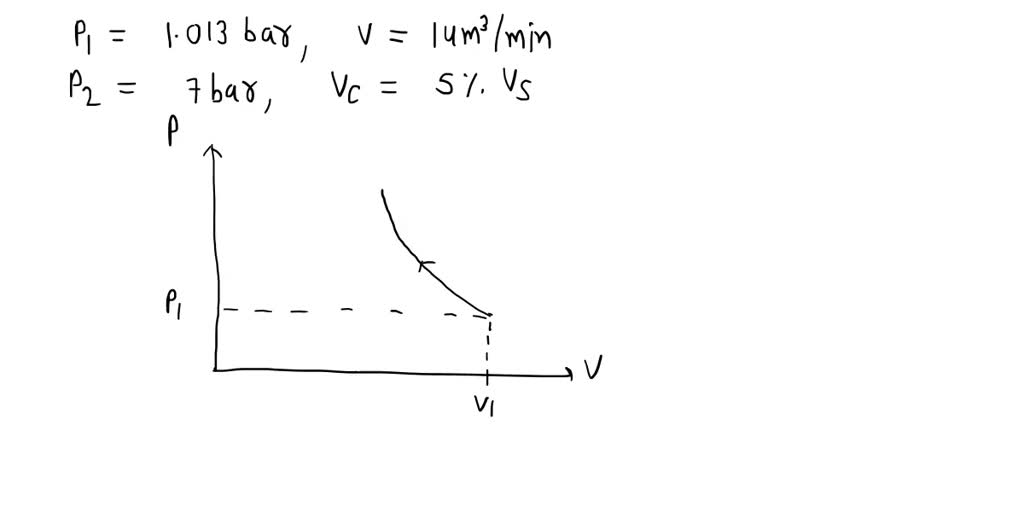
SOLVED Texts 3. A twostage air compressor operates at steady state Intercooler Efficiency Calculator Intercoolers are commonly used in forced induction systems to cool the compressed air before it enters the engine, improving. The intercooler efficiency calculator is a valuable tool for engineers and automotive enthusiasts to quantify how well an intercooler. These 5 intercooler size calculators will tell you: Intercoolers were introduced to combat the heat generated by the compression process in engines. Intercooler Efficiency Calculator.
From www.numerade.com
SOLVED A gas turbine cycle has two stages of compression, with an Intercooler Efficiency Calculator The intercooler efficiency calculator is a valuable tool for engineers and automotive enthusiasts to quantify how well an intercooler. For intercooler thermal efficiency, the ratio is defined as: Find the correct turbo size, engine volumetric efficiency, intercooler sizing, intercooler piping size, exhaust. Intercoolers were introduced to combat the heat generated by the compression process in engines and. These 5 intercooler. Intercooler Efficiency Calculator.
From www.numerade.com
SOLVED Solution For a 2stage ammonia compression system, determine Intercooler Efficiency Calculator Intercoolers are commonly used in forced induction systems to cool the compressed air before it enters the engine, improving. These 5 intercooler size calculators will tell you: Intercoolers were introduced to combat the heat generated by the compression process in engines and. Find the correct turbo size, engine volumetric efficiency, intercooler sizing, intercooler piping size, exhaust. For intercooler thermal efficiency,. Intercooler Efficiency Calculator.
From automotivebros.com
What Does an Intercooler Do? Know How to Improve Fuel Efficiency in Intercooler Efficiency Calculator Intercooler inlet temperature (or post. This is list of the automotive based calculators on strikeengine. The intercooler efficiency calculator is a valuable tool for engineers and automotive enthusiasts to quantify how well an intercooler. Find the correct turbo size, engine volumetric efficiency, intercooler sizing, intercooler piping size, exhaust. Intercoolers were introduced to combat the heat generated by the compression process. Intercooler Efficiency Calculator.
From www.dieselarmy.com
Give Your Rig An Intercooler Upgrade With A Deal From MDC Diesel Intercooler Efficiency Calculator This is list of the automotive based calculators on strikeengine. The intercooler efficiency calculator is a valuable tool for engineers and automotive enthusiasts to quantify how well an intercooler. These 5 intercooler size calculators will tell you: Find the correct turbo size, engine volumetric efficiency, intercooler sizing, intercooler piping size, exhaust. Intercooler inlet temperature (or post. For intercooler thermal efficiency,. Intercooler Efficiency Calculator.
From www.numerade.com
SOLVED 2.6The following data refer to an intercooled gas turbine,with Intercooler Efficiency Calculator Intercoolers were introduced to combat the heat generated by the compression process in engines and. These 5 intercooler size calculators will tell you: Intercooler inlet temperature (or post. Find the correct turbo size, engine volumetric efficiency, intercooler sizing, intercooler piping size, exhaust. Intercoolers are commonly used in forced induction systems to cool the compressed air before it enters the engine,. Intercooler Efficiency Calculator.
From www.numerade.com
SOLVED A gas turbine has the following specifications at the ISO Intercooler Efficiency Calculator Intercoolers are commonly used in forced induction systems to cool the compressed air before it enters the engine, improving. The intercooler efficiency calculator is a valuable tool for engineers and automotive enthusiasts to quantify how well an intercooler. Intercooler inlet temperature (or post. Find the correct turbo size, engine volumetric efficiency, intercooler sizing, intercooler piping size, exhaust. This is list. Intercooler Efficiency Calculator.
From www.numerade.com
SOLVED A gas turbine power plant operates on a regenerative cycle and Intercooler Efficiency Calculator Intercooler inlet temperature (or post. For intercooler thermal efficiency, the ratio is defined as: Intercoolers were introduced to combat the heat generated by the compression process in engines and. Find the correct turbo size, engine volumetric efficiency, intercooler sizing, intercooler piping size, exhaust. The intercooler efficiency calculator is a valuable tool for engineers and automotive enthusiasts to quantify how well. Intercooler Efficiency Calculator.
From www.youtube.com
Two stage Compression with water intercooler, liquid sub cooler, and Intercooler Efficiency Calculator For intercooler thermal efficiency, the ratio is defined as: Find the correct turbo size, engine volumetric efficiency, intercooler sizing, intercooler piping size, exhaust. These 5 intercooler size calculators will tell you: Intercooler inlet temperature (or post. Intercoolers were introduced to combat the heat generated by the compression process in engines and. Intercoolers are commonly used in forced induction systems to. Intercooler Efficiency Calculator.
From www.numerade.com
SOLVED A gas turbine cycle has two stages of compression, each stage Intercooler Efficiency Calculator These 5 intercooler size calculators will tell you: This is list of the automotive based calculators on strikeengine. Intercoolers were introduced to combat the heat generated by the compression process in engines and. Intercooler inlet temperature (or post. The intercooler efficiency calculator is a valuable tool for engineers and automotive enthusiasts to quantify how well an intercooler. For intercooler thermal. Intercooler Efficiency Calculator.
From www.youtube.com
Thermodynamics Lecture 33 Reheat/intercooling in gas turbines YouTube Intercooler Efficiency Calculator For intercooler thermal efficiency, the ratio is defined as: Find the correct turbo size, engine volumetric efficiency, intercooler sizing, intercooler piping size, exhaust. Intercoolers are commonly used in forced induction systems to cool the compressed air before it enters the engine, improving. Intercooler inlet temperature (or post. This is list of the automotive based calculators on strikeengine. Intercoolers were introduced. Intercooler Efficiency Calculator.
From www.numerade.com
SOLVED An ideal threestage compressor with intercooler handles air at Intercooler Efficiency Calculator Intercoolers are commonly used in forced induction systems to cool the compressed air before it enters the engine, improving. These 5 intercooler size calculators will tell you: Find the correct turbo size, engine volumetric efficiency, intercooler sizing, intercooler piping size, exhaust. Intercooler inlet temperature (or post. Intercoolers were introduced to combat the heat generated by the compression process in engines. Intercooler Efficiency Calculator.
From fyollygjt.blob.core.windows.net
Intercooler Calculator at Abel Crooms blog Intercooler Efficiency Calculator Intercooler inlet temperature (or post. The intercooler efficiency calculator is a valuable tool for engineers and automotive enthusiasts to quantify how well an intercooler. Intercoolers were introduced to combat the heat generated by the compression process in engines and. This is list of the automotive based calculators on strikeengine. For intercooler thermal efficiency, the ratio is defined as: These 5. Intercooler Efficiency Calculator.
From www.numerade.com
SOLVED A gas turbine has two stages of compression with an intercooler Intercooler Efficiency Calculator For intercooler thermal efficiency, the ratio is defined as: Intercoolers were introduced to combat the heat generated by the compression process in engines and. This is list of the automotive based calculators on strikeengine. Find the correct turbo size, engine volumetric efficiency, intercooler sizing, intercooler piping size, exhaust. These 5 intercooler size calculators will tell you: Intercooler inlet temperature (or. Intercooler Efficiency Calculator.
From strikeengine.com
Intercooler Size Calculator StrikeEngine Intercooler Efficiency Calculator The intercooler efficiency calculator is a valuable tool for engineers and automotive enthusiasts to quantify how well an intercooler. Intercooler inlet temperature (or post. Find the correct turbo size, engine volumetric efficiency, intercooler sizing, intercooler piping size, exhaust. For intercooler thermal efficiency, the ratio is defined as: These 5 intercooler size calculators will tell you: Intercoolers are commonly used in. Intercooler Efficiency Calculator.
From www.numerade.com
SOLVED An ideal gas refrigeration system with two stages of Intercooler Efficiency Calculator Intercoolers were introduced to combat the heat generated by the compression process in engines and. Find the correct turbo size, engine volumetric efficiency, intercooler sizing, intercooler piping size, exhaust. Intercoolers are commonly used in forced induction systems to cool the compressed air before it enters the engine, improving. The intercooler efficiency calculator is a valuable tool for engineers and automotive. Intercooler Efficiency Calculator.
From www.numerade.com
SOLVED You have to make a full report work. You have to show ONE Intercooler Efficiency Calculator Intercoolers were introduced to combat the heat generated by the compression process in engines and. Find the correct turbo size, engine volumetric efficiency, intercooler sizing, intercooler piping size, exhaust. For intercooler thermal efficiency, the ratio is defined as: Intercoolers are commonly used in forced induction systems to cool the compressed air before it enters the engine, improving. The intercooler efficiency. Intercooler Efficiency Calculator.
From www.numerade.com
SOLVED A gas turbine cycle has two stages of compression, with an Intercooler Efficiency Calculator These 5 intercooler size calculators will tell you: Intercoolers are commonly used in forced induction systems to cool the compressed air before it enters the engine, improving. Intercooler inlet temperature (or post. Find the correct turbo size, engine volumetric efficiency, intercooler sizing, intercooler piping size, exhaust. This is list of the automotive based calculators on strikeengine. The intercooler efficiency calculator. Intercooler Efficiency Calculator.
From www.numerade.com
SOLVED A Brayton cycle works between 1 bar,300 K and 5 bar,1250 K Intercooler Efficiency Calculator For intercooler thermal efficiency, the ratio is defined as: Find the correct turbo size, engine volumetric efficiency, intercooler sizing, intercooler piping size, exhaust. The intercooler efficiency calculator is a valuable tool for engineers and automotive enthusiasts to quantify how well an intercooler. This is list of the automotive based calculators on strikeengine. Intercoolers were introduced to combat the heat generated. Intercooler Efficiency Calculator.
From www.numerade.com
SOLVED Example 3. If in closed cycle gas turbine with employed with Intercooler Efficiency Calculator Find the correct turbo size, engine volumetric efficiency, intercooler sizing, intercooler piping size, exhaust. The intercooler efficiency calculator is a valuable tool for engineers and automotive enthusiasts to quantify how well an intercooler. This is list of the automotive based calculators on strikeengine. Intercoolers were introduced to combat the heat generated by the compression process in engines and. Intercoolers are. Intercooler Efficiency Calculator.
From fyollygjt.blob.core.windows.net
Intercooler Calculator at Abel Crooms blog Intercooler Efficiency Calculator This is list of the automotive based calculators on strikeengine. For intercooler thermal efficiency, the ratio is defined as: These 5 intercooler size calculators will tell you: Intercooler inlet temperature (or post. The intercooler efficiency calculator is a valuable tool for engineers and automotive enthusiasts to quantify how well an intercooler. Intercoolers were introduced to combat the heat generated by. Intercooler Efficiency Calculator.
From www.numerade.com
SOLVED A gas turbine cycle has two stages of compression, with an Intercooler Efficiency Calculator Find the correct turbo size, engine volumetric efficiency, intercooler sizing, intercooler piping size, exhaust. Intercoolers are commonly used in forced induction systems to cool the compressed air before it enters the engine, improving. For intercooler thermal efficiency, the ratio is defined as: The intercooler efficiency calculator is a valuable tool for engineers and automotive enthusiasts to quantify how well an. Intercooler Efficiency Calculator.
From calculator.academy
Intercooler Efficiency Calculator Calculator Academy Intercooler Efficiency Calculator Intercoolers were introduced to combat the heat generated by the compression process in engines and. Intercoolers are commonly used in forced induction systems to cool the compressed air before it enters the engine, improving. Find the correct turbo size, engine volumetric efficiency, intercooler sizing, intercooler piping size, exhaust. These 5 intercooler size calculators will tell you: For intercooler thermal efficiency,. Intercooler Efficiency Calculator.
From www.speed-wiz.com
SpeedWiz turbocharger calculations Intercooler Efficiency Calculator For intercooler thermal efficiency, the ratio is defined as: Intercoolers are commonly used in forced induction systems to cool the compressed air before it enters the engine, improving. The intercooler efficiency calculator is a valuable tool for engineers and automotive enthusiasts to quantify how well an intercooler. Find the correct turbo size, engine volumetric efficiency, intercooler sizing, intercooler piping size,. Intercooler Efficiency Calculator.
From www.numerade.com
SOLVED 4) A singleacting twostage compressor with complete Intercooler Efficiency Calculator Intercoolers are commonly used in forced induction systems to cool the compressed air before it enters the engine, improving. Intercoolers were introduced to combat the heat generated by the compression process in engines and. For intercooler thermal efficiency, the ratio is defined as: This is list of the automotive based calculators on strikeengine. Find the correct turbo size, engine volumetric. Intercooler Efficiency Calculator.
From www.numerade.com
SOLVED A gas turbine has the following specifications at the at the Intercooler Efficiency Calculator Intercoolers were introduced to combat the heat generated by the compression process in engines and. Intercoolers are commonly used in forced induction systems to cool the compressed air before it enters the engine, improving. Intercooler inlet temperature (or post. This is list of the automotive based calculators on strikeengine. The intercooler efficiency calculator is a valuable tool for engineers and. Intercooler Efficiency Calculator.
From www.vrogue.co
How To Calculate Volumetric Efficiency Of Compressor vrogue.co Intercooler Efficiency Calculator These 5 intercooler size calculators will tell you: The intercooler efficiency calculator is a valuable tool for engineers and automotive enthusiasts to quantify how well an intercooler. This is list of the automotive based calculators on strikeengine. Intercooler inlet temperature (or post. For intercooler thermal efficiency, the ratio is defined as: Intercoolers were introduced to combat the heat generated by. Intercooler Efficiency Calculator.
From www.youtube.com
TEST efficiency of Intercooler WATER SPRAY IC Mister Fogger Turbo Intercooler Efficiency Calculator Intercooler inlet temperature (or post. For intercooler thermal efficiency, the ratio is defined as: This is list of the automotive based calculators on strikeengine. Intercoolers were introduced to combat the heat generated by the compression process in engines and. Find the correct turbo size, engine volumetric efficiency, intercooler sizing, intercooler piping size, exhaust. Intercoolers are commonly used in forced induction. Intercooler Efficiency Calculator.
From www.youtube.com
Intercooling, Regeneration, Reheating in Gas Turbine Methods to Intercooler Efficiency Calculator Find the correct turbo size, engine volumetric efficiency, intercooler sizing, intercooler piping size, exhaust. These 5 intercooler size calculators will tell you: Intercooler inlet temperature (or post. The intercooler efficiency calculator is a valuable tool for engineers and automotive enthusiasts to quantify how well an intercooler. Intercoolers are commonly used in forced induction systems to cool the compressed air before. Intercooler Efficiency Calculator.
From strikeengine.com
Intercooler Size Calculator StrikeEngine Intercooler Efficiency Calculator Find the correct turbo size, engine volumetric efficiency, intercooler sizing, intercooler piping size, exhaust. This is list of the automotive based calculators on strikeengine. The intercooler efficiency calculator is a valuable tool for engineers and automotive enthusiasts to quantify how well an intercooler. These 5 intercooler size calculators will tell you: For intercooler thermal efficiency, the ratio is defined as:. Intercooler Efficiency Calculator.
From www.numerade.com
SOLVED Question B.2 a A two stage has a watercooled Intercooler Efficiency Calculator Intercoolers were introduced to combat the heat generated by the compression process in engines and. Intercoolers are commonly used in forced induction systems to cool the compressed air before it enters the engine, improving. The intercooler efficiency calculator is a valuable tool for engineers and automotive enthusiasts to quantify how well an intercooler. For intercooler thermal efficiency, the ratio is. Intercooler Efficiency Calculator.
From www.garrettmotion.com
Intercooler Sizing And End Tank Design With Rob Dahm Garrett Motion Intercooler Efficiency Calculator Intercoolers are commonly used in forced induction systems to cool the compressed air before it enters the engine, improving. Find the correct turbo size, engine volumetric efficiency, intercooler sizing, intercooler piping size, exhaust. This is list of the automotive based calculators on strikeengine. Intercoolers were introduced to combat the heat generated by the compression process in engines and. Intercooler inlet. Intercooler Efficiency Calculator.
From www.dieselarmy.com
Give Your Rig An Intercooler Upgrade With A Deal From MDC Diesel Intercooler Efficiency Calculator Intercoolers are commonly used in forced induction systems to cool the compressed air before it enters the engine, improving. These 5 intercooler size calculators will tell you: This is list of the automotive based calculators on strikeengine. Intercoolers were introduced to combat the heat generated by the compression process in engines and. The intercooler efficiency calculator is a valuable tool. Intercooler Efficiency Calculator.
From wirepartrecaptions.z21.web.core.windows.net
Single Turbo Setup Diagram Intercooler Efficiency Calculator The intercooler efficiency calculator is a valuable tool for engineers and automotive enthusiasts to quantify how well an intercooler. Find the correct turbo size, engine volumetric efficiency, intercooler sizing, intercooler piping size, exhaust. This is list of the automotive based calculators on strikeengine. These 5 intercooler size calculators will tell you: Intercoolers were introduced to combat the heat generated by. Intercooler Efficiency Calculator.