Filter Str_Detect Multiple . Hi, i want to remove few rows that contain different words. Vectorised over 'string' and 'pattern'. For example, variable country has several countries in it and i want to exclude the rows with mexico. In case you wants to filter all rows matching some string patterns, it would be handy to have str_detect_all for this task, i have used purrr. Str_detect() returns a logical vector with true for each element of string that matches pattern and false otherwise. Equivalent to str_detect, but capable of multiple patterns. Search each row and filter it if it contains the. Ksingh19 june 15, 2020, 2:50pm 1. Str_detect() returns a logical vector with true for each element of string that matches pattern and false otherwise. I would like to filter a dataframe using filter() and str_detect() matching for multiple patterns without multiple str_detect() function.
from forum.posit.co
Hi, i want to remove few rows that contain different words. Ksingh19 june 15, 2020, 2:50pm 1. Search each row and filter it if it contains the. Equivalent to str_detect, but capable of multiple patterns. Vectorised over 'string' and 'pattern'. For example, variable country has several countries in it and i want to exclude the rows with mexico. In case you wants to filter all rows matching some string patterns, it would be handy to have str_detect_all for this task, i have used purrr. Str_detect() returns a logical vector with true for each element of string that matches pattern and false otherwise. Str_detect() returns a logical vector with true for each element of string that matches pattern and false otherwise. I would like to filter a dataframe using filter() and str_detect() matching for multiple patterns without multiple str_detect() function.
How to use str_detect with multiple words General Posit Community
Filter Str_Detect Multiple Ksingh19 june 15, 2020, 2:50pm 1. Equivalent to str_detect, but capable of multiple patterns. Str_detect() returns a logical vector with true for each element of string that matches pattern and false otherwise. I would like to filter a dataframe using filter() and str_detect() matching for multiple patterns without multiple str_detect() function. Hi, i want to remove few rows that contain different words. Str_detect() returns a logical vector with true for each element of string that matches pattern and false otherwise. For example, variable country has several countries in it and i want to exclude the rows with mexico. In case you wants to filter all rows matching some string patterns, it would be handy to have str_detect_all for this task, i have used purrr. Ksingh19 june 15, 2020, 2:50pm 1. Search each row and filter it if it contains the. Vectorised over 'string' and 'pattern'.
From kids-step.com
東洋エレメント キャビンフィルタ 防塵タイプ エアクリィーズfine CN2013B ニッサン エルグランド PE52 エアコンフィルター Filter Str_Detect Multiple Str_detect() returns a logical vector with true for each element of string that matches pattern and false otherwise. In case you wants to filter all rows matching some string patterns, it would be handy to have str_detect_all for this task, i have used purrr. Vectorised over 'string' and 'pattern'. Equivalent to str_detect, but capable of multiple patterns. Ksingh19 june 15,. Filter Str_Detect Multiple.
From github.com
Cannot detect multiple DataMatrix symbols · Issue 412 · zxingcpp Filter Str_Detect Multiple For example, variable country has several countries in it and i want to exclude the rows with mexico. Search each row and filter it if it contains the. Equivalent to str_detect, but capable of multiple patterns. Str_detect() returns a logical vector with true for each element of string that matches pattern and false otherwise. Vectorised over 'string' and 'pattern'. In. Filter Str_Detect Multiple.
From www.amazon.de
Rebirthcare Gen5 Detect Filter für Dy.son G5 Detect, G5 Detect Absolute Filter Str_Detect Multiple Equivalent to str_detect, but capable of multiple patterns. Hi, i want to remove few rows that contain different words. Ksingh19 june 15, 2020, 2:50pm 1. For example, variable country has several countries in it and i want to exclude the rows with mexico. Vectorised over 'string' and 'pattern'. In case you wants to filter all rows matching some string patterns,. Filter Str_Detect Multiple.
From www.researchgate.net
(PDF) Trackbeforedetect Algorithm based on Costreference Particle Filter Str_Detect Multiple For example, variable country has several countries in it and i want to exclude the rows with mexico. Search each row and filter it if it contains the. Equivalent to str_detect, but capable of multiple patterns. Ksingh19 june 15, 2020, 2:50pm 1. Hi, i want to remove few rows that contain different words. Str_detect() returns a logical vector with true. Filter Str_Detect Multiple.
From community.exploratory.io
How to detect multiple conditions at once for "contain / not contain Filter Str_Detect Multiple Ksingh19 june 15, 2020, 2:50pm 1. Str_detect() returns a logical vector with true for each element of string that matches pattern and false otherwise. For example, variable country has several countries in it and i want to exclude the rows with mexico. In case you wants to filter all rows matching some string patterns, it would be handy to have. Filter Str_Detect Multiple.
From blog.csdn.net
dataframe安装某种标准过滤行dplyr gsub filter slice grep str_detectCSDN博客 Filter Str_Detect Multiple I would like to filter a dataframe using filter() and str_detect() matching for multiple patterns without multiple str_detect() function. Str_detect() returns a logical vector with true for each element of string that matches pattern and false otherwise. Str_detect() returns a logical vector with true for each element of string that matches pattern and false otherwise. Ksingh19 june 15, 2020, 2:50pm. Filter Str_Detect Multiple.
From bfairkun.github.io
20230322_CandidateGUUAAG_bulges Filter Str_Detect Multiple Equivalent to str_detect, but capable of multiple patterns. In case you wants to filter all rows matching some string patterns, it would be handy to have str_detect_all for this task, i have used purrr. Ksingh19 june 15, 2020, 2:50pm 1. I would like to filter a dataframe using filter() and str_detect() matching for multiple patterns without multiple str_detect() function. Str_detect(). Filter Str_Detect Multiple.
From stackoverflow.com
javascript Filter multiple values in React Stack Overflow Filter Str_Detect Multiple Ksingh19 june 15, 2020, 2:50pm 1. Equivalent to str_detect, but capable of multiple patterns. Hi, i want to remove few rows that contain different words. I would like to filter a dataframe using filter() and str_detect() matching for multiple patterns without multiple str_detect() function. Search each row and filter it if it contains the. For example, variable country has several. Filter Str_Detect Multiple.
From statisticsglobe.com
str_detect Function in R (stringr Package) Programming Example Code Filter Str_Detect Multiple Equivalent to str_detect, but capable of multiple patterns. Str_detect() returns a logical vector with true for each element of string that matches pattern and false otherwise. Str_detect() returns a logical vector with true for each element of string that matches pattern and false otherwise. I would like to filter a dataframe using filter() and str_detect() matching for multiple patterns without. Filter Str_Detect Multiple.
From stackoverflow.com
Filtering by multiple columns with specific string then mutate in one Filter Str_Detect Multiple Search each row and filter it if it contains the. Hi, i want to remove few rows that contain different words. In case you wants to filter all rows matching some string patterns, it would be handy to have str_detect_all for this task, i have used purrr. Equivalent to str_detect, but capable of multiple patterns. Str_detect() returns a logical vector. Filter Str_Detect Multiple.
From zhuanlan.zhihu.com
R语言 使用 R 语言爬取全国所有的万达广场信息 知乎 Filter Str_Detect Multiple In case you wants to filter all rows matching some string patterns, it would be handy to have str_detect_all for this task, i have used purrr. Equivalent to str_detect, but capable of multiple patterns. Str_detect() returns a logical vector with true for each element of string that matches pattern and false otherwise. Str_detect() returns a logical vector with true for. Filter Str_Detect Multiple.
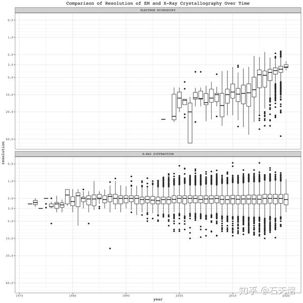
From zhuanlan.zhihu.com
下载整个PDB数据库,展示电子显微镜分辨率的崛起(1) 知乎 Filter Str_Detect Multiple For example, variable country has several countries in it and i want to exclude the rows with mexico. I would like to filter a dataframe using filter() and str_detect() matching for multiple patterns without multiple str_detect() function. Str_detect() returns a logical vector with true for each element of string that matches pattern and false otherwise. Ksingh19 june 15, 2020, 2:50pm. Filter Str_Detect Multiple.
From studylib.net
VFP Detect Multiple Monitors The Bereznikers Filter Str_Detect Multiple Ksingh19 june 15, 2020, 2:50pm 1. Vectorised over 'string' and 'pattern'. Hi, i want to remove few rows that contain different words. Equivalent to str_detect, but capable of multiple patterns. For example, variable country has several countries in it and i want to exclude the rows with mexico. I would like to filter a dataframe using filter() and str_detect() matching. Filter Str_Detect Multiple.
From exceljet.net
Filter with multiple criteria Excel formula Exceljet Filter Str_Detect Multiple Hi, i want to remove few rows that contain different words. For example, variable country has several countries in it and i want to exclude the rows with mexico. Search each row and filter it if it contains the. Equivalent to str_detect, but capable of multiple patterns. Vectorised over 'string' and 'pattern'. Str_detect() returns a logical vector with true for. Filter Str_Detect Multiple.
From stackoverflow.com
r Why is dplyr's filter not working with white spaces in simple Filter Str_Detect Multiple Ksingh19 june 15, 2020, 2:50pm 1. Search each row and filter it if it contains the. Hi, i want to remove few rows that contain different words. Equivalent to str_detect, but capable of multiple patterns. Vectorised over 'string' and 'pattern'. For example, variable country has several countries in it and i want to exclude the rows with mexico. In case. Filter Str_Detect Multiple.
From statisticsglobe.com
str_detect Function in R (stringr Package) Programming Example Code Filter Str_Detect Multiple Ksingh19 june 15, 2020, 2:50pm 1. For example, variable country has several countries in it and i want to exclude the rows with mexico. Search each row and filter it if it contains the. In case you wants to filter all rows matching some string patterns, it would be handy to have str_detect_all for this task, i have used purrr.. Filter Str_Detect Multiple.
From www.nellisauction.com
Dyson V15 Detect Plus Cordless Vacuum, Yellow/Nickel V15 Plus for sale Filter Str_Detect Multiple Equivalent to str_detect, but capable of multiple patterns. Vectorised over 'string' and 'pattern'. Str_detect() returns a logical vector with true for each element of string that matches pattern and false otherwise. Ksingh19 june 15, 2020, 2:50pm 1. I would like to filter a dataframe using filter() and str_detect() matching for multiple patterns without multiple str_detect() function. Search each row and. Filter Str_Detect Multiple.
From www.youtube.com
R Filtering multiple columns with str_detect YouTube Filter Str_Detect Multiple Hi, i want to remove few rows that contain different words. For example, variable country has several countries in it and i want to exclude the rows with mexico. Str_detect() returns a logical vector with true for each element of string that matches pattern and false otherwise. Ksingh19 june 15, 2020, 2:50pm 1. I would like to filter a dataframe. Filter Str_Detect Multiple.
From www.joyeriapato.com
Casio Strap STR400 Filter Str_Detect Multiple Search each row and filter it if it contains the. In case you wants to filter all rows matching some string patterns, it would be handy to have str_detect_all for this task, i have used purrr. I would like to filter a dataframe using filter() and str_detect() matching for multiple patterns without multiple str_detect() function. Str_detect() returns a logical vector. Filter Str_Detect Multiple.
From pubs.rsna.org
Photoncounting Detector CT with Deep Learning Noise Reduction to Filter Str_Detect Multiple Str_detect() returns a logical vector with true for each element of string that matches pattern and false otherwise. In case you wants to filter all rows matching some string patterns, it would be handy to have str_detect_all for this task, i have used purrr. For example, variable country has several countries in it and i want to exclude the rows. Filter Str_Detect Multiple.
From tsubasayamaguchi-jinrui.github.io
8 各観察日の確認メス割合に関する時系列分析 Fissionfusion dynamics in B1 troop Filter Str_Detect Multiple Ksingh19 june 15, 2020, 2:50pm 1. For example, variable country has several countries in it and i want to exclude the rows with mexico. Search each row and filter it if it contains the. Str_detect() returns a logical vector with true for each element of string that matches pattern and false otherwise. In case you wants to filter all rows. Filter Str_Detect Multiple.
From github.com
NextJS 13.4 and NX cause warning 'Detect multiple renderers Filter Str_Detect Multiple Str_detect() returns a logical vector with true for each element of string that matches pattern and false otherwise. For example, variable country has several countries in it and i want to exclude the rows with mexico. I would like to filter a dataframe using filter() and str_detect() matching for multiple patterns without multiple str_detect() function. In case you wants to. Filter Str_Detect Multiple.
From discourse.vvvv.org
Can't detect multiple QR codes in an image bug Forum Filter Str_Detect Multiple For example, variable country has several countries in it and i want to exclude the rows with mexico. I would like to filter a dataframe using filter() and str_detect() matching for multiple patterns without multiple str_detect() function. Hi, i want to remove few rows that contain different words. Equivalent to str_detect, but capable of multiple patterns. Str_detect() returns a logical. Filter Str_Detect Multiple.
From slideplayer.com
Advanced R (with Tidyverse) ppt download Filter Str_Detect Multiple Hi, i want to remove few rows that contain different words. For example, variable country has several countries in it and i want to exclude the rows with mexico. Str_detect() returns a logical vector with true for each element of string that matches pattern and false otherwise. Ksingh19 june 15, 2020, 2:50pm 1. Equivalent to str_detect, but capable of multiple. Filter Str_Detect Multiple.
From www.reddit.com
could i please have some help creating this graph? its uses str_detect Filter Str_Detect Multiple Equivalent to str_detect, but capable of multiple patterns. Ksingh19 june 15, 2020, 2:50pm 1. Str_detect() returns a logical vector with true for each element of string that matches pattern and false otherwise. For example, variable country has several countries in it and i want to exclude the rows with mexico. In case you wants to filter all rows matching some. Filter Str_Detect Multiple.
From www.youtube.com
Learning R 13 filter by one or multiple strings using stringr and str Filter Str_Detect Multiple Search each row and filter it if it contains the. For example, variable country has several countries in it and i want to exclude the rows with mexico. Ksingh19 june 15, 2020, 2:50pm 1. Equivalent to str_detect, but capable of multiple patterns. In case you wants to filter all rows matching some string patterns, it would be handy to have. Filter Str_Detect Multiple.
From www.techradar.com
Dyson's Gen5 Detect cordless vacuum is so powerful it can suck up Filter Str_Detect Multiple Ksingh19 june 15, 2020, 2:50pm 1. Search each row and filter it if it contains the. Str_detect() returns a logical vector with true for each element of string that matches pattern and false otherwise. Str_detect() returns a logical vector with true for each element of string that matches pattern and false otherwise. Vectorised over 'string' and 'pattern'. Hi, i want. Filter Str_Detect Multiple.
From www.woolha.com
Flutter Detect Platform where Application Running Filter Str_Detect Multiple I would like to filter a dataframe using filter() and str_detect() matching for multiple patterns without multiple str_detect() function. Equivalent to str_detect, but capable of multiple patterns. For example, variable country has several countries in it and i want to exclude the rows with mexico. Str_detect() returns a logical vector with true for each element of string that matches pattern. Filter Str_Detect Multiple.
From forum.posit.co
How to use str_detect with multiple words General Posit Community Filter Str_Detect Multiple Hi, i want to remove few rows that contain different words. Search each row and filter it if it contains the. Equivalent to str_detect, but capable of multiple patterns. Vectorised over 'string' and 'pattern'. I would like to filter a dataframe using filter() and str_detect() matching for multiple patterns without multiple str_detect() function. Str_detect() returns a logical vector with true. Filter Str_Detect Multiple.
From codesandbox.io
multiplefilter Codesandbox Filter Str_Detect Multiple In case you wants to filter all rows matching some string patterns, it would be handy to have str_detect_all for this task, i have used purrr. Vectorised over 'string' and 'pattern'. Hi, i want to remove few rows that contain different words. Equivalent to str_detect, but capable of multiple patterns. Str_detect() returns a logical vector with true for each element. Filter Str_Detect Multiple.
From stackoverflow.com
filtering How to filter out a particular phrase from a unstructured Filter Str_Detect Multiple I would like to filter a dataframe using filter() and str_detect() matching for multiple patterns without multiple str_detect() function. In case you wants to filter all rows matching some string patterns, it would be handy to have str_detect_all for this task, i have used purrr. Search each row and filter it if it contains the. Equivalent to str_detect, but capable. Filter Str_Detect Multiple.
From twitter.com
Tom Mock ️ QuartoPub on Twitter "1/3 I often use stringrstr_detect Filter Str_Detect Multiple Vectorised over 'string' and 'pattern'. For example, variable country has several countries in it and i want to exclude the rows with mexico. Str_detect() returns a logical vector with true for each element of string that matches pattern and false otherwise. Str_detect() returns a logical vector with true for each element of string that matches pattern and false otherwise. Hi,. Filter Str_Detect Multiple.
From www.researchgate.net
Interacting multiple model filter. Download Scientific Diagram Filter Str_Detect Multiple Str_detect() returns a logical vector with true for each element of string that matches pattern and false otherwise. Vectorised over 'string' and 'pattern'. Equivalent to str_detect, but capable of multiple patterns. Ksingh19 june 15, 2020, 2:50pm 1. I would like to filter a dataframe using filter() and str_detect() matching for multiple patterns without multiple str_detect() function. Search each row and. Filter Str_Detect Multiple.
From felixanalytix.medium.com
Advanced Data Filtering in R using dplyr by FelixAnalytix Medium Filter Str_Detect Multiple I would like to filter a dataframe using filter() and str_detect() matching for multiple patterns without multiple str_detect() function. Search each row and filter it if it contains the. For example, variable country has several countries in it and i want to exclude the rows with mexico. Vectorised over 'string' and 'pattern'. In case you wants to filter all rows. Filter Str_Detect Multiple.
From datacornering.com
Detect combination of multiple strings in R Data Cornering Filter Str_Detect Multiple Hi, i want to remove few rows that contain different words. Str_detect() returns a logical vector with true for each element of string that matches pattern and false otherwise. Search each row and filter it if it contains the. For example, variable country has several countries in it and i want to exclude the rows with mexico. Equivalent to str_detect,. Filter Str_Detect Multiple.