Final Exam Is Comprehensive . A comprehensive exam is a test that is given to graduate students towards the end of their coursework, with the goal of determining how ready a student is for the next step of their academic career, that being their dissertation A comprehensive exam provides a comprehensive analysis of a student’s knowledge and skills in a particular subject, whereas a cumulative exam assesses their understanding and retention of the material learned over a specific A comprehensive exam is a summative test taken at the end of the course to test academic competence of students, while a cumulative exam is taken at the end of a semester to assess. So i want to ask, for a course with two midterms and a final: If there is some criteria or organizations that require the final exams to be. In my grad school program, a cumulative final exam is a final that covers the entire semester. On the other hand, cumulative final exams consider a student’s. Comprehensive final exams are commonly used in graduate programs to assess students’ dissertation readiness. We also have comprehensive final exams that test us on.
from browsegrades.net
We also have comprehensive final exams that test us on. A comprehensive exam is a summative test taken at the end of the course to test academic competence of students, while a cumulative exam is taken at the end of a semester to assess. A comprehensive exam is a test that is given to graduate students towards the end of their coursework, with the goal of determining how ready a student is for the next step of their academic career, that being their dissertation On the other hand, cumulative final exams consider a student’s. In my grad school program, a cumulative final exam is a final that covers the entire semester. Comprehensive final exams are commonly used in graduate programs to assess students’ dissertation readiness. If there is some criteria or organizations that require the final exams to be. A comprehensive exam provides a comprehensive analysis of a student’s knowledge and skills in a particular subject, whereas a cumulative exam assesses their understanding and retention of the material learned over a specific So i want to ask, for a course with two midterms and a final:
EMT FISDAP FINAL ACTUAL EXAM QUESTIONS AND ANSWERS COMPLETE GUIDE
Final Exam Is Comprehensive In my grad school program, a cumulative final exam is a final that covers the entire semester. A comprehensive exam provides a comprehensive analysis of a student’s knowledge and skills in a particular subject, whereas a cumulative exam assesses their understanding and retention of the material learned over a specific On the other hand, cumulative final exams consider a student’s. If there is some criteria or organizations that require the final exams to be. We also have comprehensive final exams that test us on. In my grad school program, a cumulative final exam is a final that covers the entire semester. A comprehensive exam is a summative test taken at the end of the course to test academic competence of students, while a cumulative exam is taken at the end of a semester to assess. Comprehensive final exams are commonly used in graduate programs to assess students’ dissertation readiness. A comprehensive exam is a test that is given to graduate students towards the end of their coursework, with the goal of determining how ready a student is for the next step of their academic career, that being their dissertation So i want to ask, for a course with two midterms and a final:
From www.studocu.com
Final Exam Review CS216 topics for Final Exam The final exam is Final Exam Is Comprehensive If there is some criteria or organizations that require the final exams to be. A comprehensive exam is a test that is given to graduate students towards the end of their coursework, with the goal of determining how ready a student is for the next step of their academic career, that being their dissertation A comprehensive exam is a summative. Final Exam Is Comprehensive.
From studylib.net
Final Exam Is Comprehensive On the other hand, cumulative final exams consider a student’s. If there is some criteria or organizations that require the final exams to be. Comprehensive final exams are commonly used in graduate programs to assess students’ dissertation readiness. A comprehensive exam is a test that is given to graduate students towards the end of their coursework, with the goal of. Final Exam Is Comprehensive.
From elearn.daffodilvarsity.edu.bd
Course Physical PharmacyII (Fall 20) Final Exam Is Comprehensive A comprehensive exam provides a comprehensive analysis of a student’s knowledge and skills in a particular subject, whereas a cumulative exam assesses their understanding and retention of the material learned over a specific A comprehensive exam is a test that is given to graduate students towards the end of their coursework, with the goal of determining how ready a student. Final Exam Is Comprehensive.
From studylib.net
Graduate Education Comprehensive Examination Final Exam Is Comprehensive On the other hand, cumulative final exams consider a student’s. A comprehensive exam provides a comprehensive analysis of a student’s knowledge and skills in a particular subject, whereas a cumulative exam assesses their understanding and retention of the material learned over a specific So i want to ask, for a course with two midterms and a final: We also have. Final Exam Is Comprehensive.
From www.studocu.com
Practice Final Exam SP 20 The Final Exam is comprehensive and covers Final Exam Is Comprehensive If there is some criteria or organizations that require the final exams to be. On the other hand, cumulative final exams consider a student’s. A comprehensive exam is a test that is given to graduate students towards the end of their coursework, with the goal of determining how ready a student is for the next step of their academic career,. Final Exam Is Comprehensive.
From browsegrades.net
AD Banker Comprehensive Final Exam Questions with answers. 100 pass Final Exam Is Comprehensive A comprehensive exam is a summative test taken at the end of the course to test academic competence of students, while a cumulative exam is taken at the end of a semester to assess. A comprehensive exam provides a comprehensive analysis of a student’s knowledge and skills in a particular subject, whereas a cumulative exam assesses their understanding and retention. Final Exam Is Comprehensive.
From www.stuvia.com
Complete FISDAP PARAMEDIC FINAL Paramedic FISDAP Final EXAM Paramedic Final Exam Is Comprehensive In my grad school program, a cumulative final exam is a final that covers the entire semester. A comprehensive exam is a summative test taken at the end of the course to test academic competence of students, while a cumulative exam is taken at the end of a semester to assess. If there is some criteria or organizations that require. Final Exam Is Comprehensive.
From studyfinder.org
Top 10 AP 2 Final Exam Questions and Answers for Success Final Exam Is Comprehensive Comprehensive final exams are commonly used in graduate programs to assess students’ dissertation readiness. On the other hand, cumulative final exams consider a student’s. A comprehensive exam provides a comprehensive analysis of a student’s knowledge and skills in a particular subject, whereas a cumulative exam assesses their understanding and retention of the material learned over a specific In my grad. Final Exam Is Comprehensive.
From studylib.net
Practice Comprehensive Final Exam Final Exam Is Comprehensive So i want to ask, for a course with two midterms and a final: We also have comprehensive final exams that test us on. In my grad school program, a cumulative final exam is a final that covers the entire semester. On the other hand, cumulative final exams consider a student’s. A comprehensive exam provides a comprehensive analysis of a. Final Exam Is Comprehensive.
From www.studocu.com
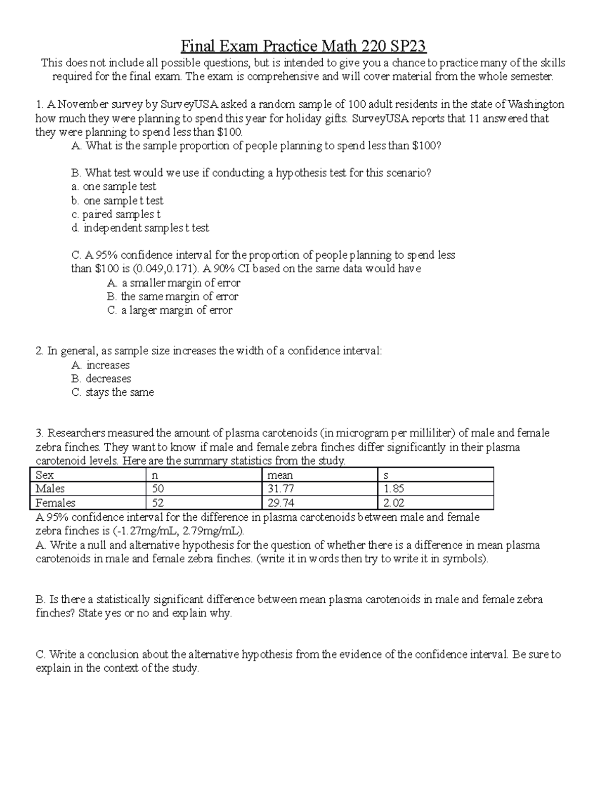
Final Exam Practice Math The exam is comprehensive and will cover Final Exam Is Comprehensive Comprehensive final exams are commonly used in graduate programs to assess students’ dissertation readiness. A comprehensive exam is a test that is given to graduate students towards the end of their coursework, with the goal of determining how ready a student is for the next step of their academic career, that being their dissertation A comprehensive exam provides a comprehensive. Final Exam Is Comprehensive.
From browsegrades.net
ATI COMPREHENSIVE FINAL EXAM Browsegrades Final Exam Is Comprehensive Comprehensive final exams are commonly used in graduate programs to assess students’ dissertation readiness. A comprehensive exam is a summative test taken at the end of the course to test academic competence of students, while a cumulative exam is taken at the end of a semester to assess. On the other hand, cumulative final exams consider a student’s. So i. Final Exam Is Comprehensive.
From lifelessonsfromheaven.com
What Are the Questions on God's Final Exam? Life Lessons from Heaven Final Exam Is Comprehensive We also have comprehensive final exams that test us on. A comprehensive exam is a test that is given to graduate students towards the end of their coursework, with the goal of determining how ready a student is for the next step of their academic career, that being their dissertation If there is some criteria or organizations that require the. Final Exam Is Comprehensive.
From slideplayer.com
Final Exam End of Semester ppt download Final Exam Is Comprehensive If there is some criteria or organizations that require the final exams to be. A comprehensive exam is a summative test taken at the end of the course to test academic competence of students, while a cumulative exam is taken at the end of a semester to assess. So i want to ask, for a course with two midterms and. Final Exam Is Comprehensive.
From studylib.net
Final Exam Comprehensive Preview & Review with sample exam Final Exam Is Comprehensive In my grad school program, a cumulative final exam is a final that covers the entire semester. If there is some criteria or organizations that require the final exams to be. Comprehensive final exams are commonly used in graduate programs to assess students’ dissertation readiness. So i want to ask, for a course with two midterms and a final: We. Final Exam Is Comprehensive.
From blog.r3ciprocity.com
What are Comprehensive Exams? R3ciprocity Blog Final Exam Is Comprehensive In my grad school program, a cumulative final exam is a final that covers the entire semester. A comprehensive exam is a test that is given to graduate students towards the end of their coursework, with the goal of determining how ready a student is for the next step of their academic career, that being their dissertation Comprehensive final exams. Final Exam Is Comprehensive.
From agarwalcoaching.in
Registering for CA Final Exam without Articleship A Comprehensive Final Exam Is Comprehensive If there is some criteria or organizations that require the final exams to be. Comprehensive final exams are commonly used in graduate programs to assess students’ dissertation readiness. On the other hand, cumulative final exams consider a student’s. So i want to ask, for a course with two midterms and a final: We also have comprehensive final exams that test. Final Exam Is Comprehensive.
From studylib.net
Final Exam for General Psychology Final Exam Is Comprehensive Comprehensive final exams are commonly used in graduate programs to assess students’ dissertation readiness. A comprehensive exam provides a comprehensive analysis of a student’s knowledge and skills in a particular subject, whereas a cumulative exam assesses their understanding and retention of the material learned over a specific So i want to ask, for a course with two midterms and a. Final Exam Is Comprehensive.
From issuu.com
PhD comprehensive final exam tips by Comprehensive Exam Issuu Final Exam Is Comprehensive We also have comprehensive final exams that test us on. Comprehensive final exams are commonly used in graduate programs to assess students’ dissertation readiness. A comprehensive exam provides a comprehensive analysis of a student’s knowledge and skills in a particular subject, whereas a cumulative exam assesses their understanding and retention of the material learned over a specific On the other. Final Exam Is Comprehensive.
From www.cobbk12.org
Senior Final Exam Week! Final Exam Is Comprehensive We also have comprehensive final exams that test us on. So i want to ask, for a course with two midterms and a final: In my grad school program, a cumulative final exam is a final that covers the entire semester. A comprehensive exam is a test that is given to graduate students towards the end of their coursework, with. Final Exam Is Comprehensive.
From www.studypool.com
SOLUTION Extra ati comprehensive final exam docx Studypool Final Exam Is Comprehensive A comprehensive exam provides a comprehensive analysis of a student’s knowledge and skills in a particular subject, whereas a cumulative exam assesses their understanding and retention of the material learned over a specific In my grad school program, a cumulative final exam is a final that covers the entire semester. Comprehensive final exams are commonly used in graduate programs to. Final Exam Is Comprehensive.
From www.youtube.com
What does a comprehensive final exam mean? YouTube Final Exam Is Comprehensive We also have comprehensive final exams that test us on. On the other hand, cumulative final exams consider a student’s. A comprehensive exam is a summative test taken at the end of the course to test academic competence of students, while a cumulative exam is taken at the end of a semester to assess. In my grad school program, a. Final Exam Is Comprehensive.
From www.slideserve.com
PPT Final Exam Review PowerPoint Presentation, free download ID1788214 Final Exam Is Comprehensive In my grad school program, a cumulative final exam is a final that covers the entire semester. On the other hand, cumulative final exams consider a student’s. So i want to ask, for a course with two midterms and a final: If there is some criteria or organizations that require the final exams to be. A comprehensive exam is a. Final Exam Is Comprehensive.
From www.thinkswap.com
Final comprehensive exam notes 70103 Ethics, Law and Justice UTS Final Exam Is Comprehensive A comprehensive exam is a test that is given to graduate students towards the end of their coursework, with the goal of determining how ready a student is for the next step of their academic career, that being their dissertation So i want to ask, for a course with two midterms and a final: A comprehensive exam provides a comprehensive. Final Exam Is Comprehensive.
From www.hackedexams.com
AlcoholEdu Final Exam Questions and Answers A Comprehensive Guide to Final Exam Is Comprehensive A comprehensive exam is a test that is given to graduate students towards the end of their coursework, with the goal of determining how ready a student is for the next step of their academic career, that being their dissertation A comprehensive exam provides a comprehensive analysis of a student’s knowledge and skills in a particular subject, whereas a cumulative. Final Exam Is Comprehensive.
From studylib.net
Comprehensive Final Exam Final Exam Is Comprehensive In my grad school program, a cumulative final exam is a final that covers the entire semester. So i want to ask, for a course with two midterms and a final: Comprehensive final exams are commonly used in graduate programs to assess students’ dissertation readiness. If there is some criteria or organizations that require the final exams to be. We. Final Exam Is Comprehensive.
From kaeranzantay.blogspot.com
How to calculate final mark after exam KaeranZantay Final Exam Is Comprehensive A comprehensive exam provides a comprehensive analysis of a student’s knowledge and skills in a particular subject, whereas a cumulative exam assesses their understanding and retention of the material learned over a specific Comprehensive final exams are commonly used in graduate programs to assess students’ dissertation readiness. We also have comprehensive final exams that test us on. If there is. Final Exam Is Comprehensive.
From browsegrades.net
EMT FISDAP FINAL ACTUAL EXAM QUESTIONS AND ANSWERS COMPLETE GUIDE Final Exam Is Comprehensive A comprehensive exam provides a comprehensive analysis of a student’s knowledge and skills in a particular subject, whereas a cumulative exam assesses their understanding and retention of the material learned over a specific We also have comprehensive final exams that test us on. In my grad school program, a cumulative final exam is a final that covers the entire semester.. Final Exam Is Comprehensive.
From studylib.net
Comprehensive Final Exam EXAM RETURN EXAM Final Exam Is Comprehensive A comprehensive exam is a summative test taken at the end of the course to test academic competence of students, while a cumulative exam is taken at the end of a semester to assess. Comprehensive final exams are commonly used in graduate programs to assess students’ dissertation readiness. We also have comprehensive final exams that test us on. A comprehensive. Final Exam Is Comprehensive.
From studylib.net
study guide for comprehensive exam Final Exam Is Comprehensive A comprehensive exam is a summative test taken at the end of the course to test academic competence of students, while a cumulative exam is taken at the end of a semester to assess. Comprehensive final exams are commonly used in graduate programs to assess students’ dissertation readiness. A comprehensive exam is a test that is given to graduate students. Final Exam Is Comprehensive.
From studylib.net
This comprehensive final exam is the culmination of Final Exam Is Comprehensive In my grad school program, a cumulative final exam is a final that covers the entire semester. A comprehensive exam is a summative test taken at the end of the course to test academic competence of students, while a cumulative exam is taken at the end of a semester to assess. A comprehensive exam provides a comprehensive analysis of a. Final Exam Is Comprehensive.
From precisionconsultingcompany.com
Comprehensive Exams Final Exam Is Comprehensive We also have comprehensive final exams that test us on. On the other hand, cumulative final exams consider a student’s. If there is some criteria or organizations that require the final exams to be. In my grad school program, a cumulative final exam is a final that covers the entire semester. So i want to ask, for a course with. Final Exam Is Comprehensive.
From www.studypool.com
SOLUTION 2021 comprehensive module 2 final exam part 1 pdf 2 Studypool Final Exam Is Comprehensive We also have comprehensive final exams that test us on. A comprehensive exam is a summative test taken at the end of the course to test academic competence of students, while a cumulative exam is taken at the end of a semester to assess. In my grad school program, a cumulative final exam is a final that covers the entire. Final Exam Is Comprehensive.
From precisionconsultingcompany.com
Download Sample Final Exam Is Comprehensive A comprehensive exam provides a comprehensive analysis of a student’s knowledge and skills in a particular subject, whereas a cumulative exam assesses their understanding and retention of the material learned over a specific Comprehensive final exams are commonly used in graduate programs to assess students’ dissertation readiness. So i want to ask, for a course with two midterms and a. Final Exam Is Comprehensive.
From www.studocu.com
Comprehensive Exam A Test Bank COMPREHENSIVE EXAMINATION A PART 1 Final Exam Is Comprehensive Comprehensive final exams are commonly used in graduate programs to assess students’ dissertation readiness. On the other hand, cumulative final exams consider a student’s. We also have comprehensive final exams that test us on. In my grad school program, a cumulative final exam is a final that covers the entire semester. A comprehensive exam is a summative test taken at. Final Exam Is Comprehensive.
From studylib.net
PRACTICE FINAL EXAM Final Exam Is Comprehensive A comprehensive exam is a test that is given to graduate students towards the end of their coursework, with the goal of determining how ready a student is for the next step of their academic career, that being their dissertation On the other hand, cumulative final exams consider a student’s. A comprehensive exam provides a comprehensive analysis of a student’s. Final Exam Is Comprehensive.