How Many Times Money Double In Bank . Divide 72 by the interest rate to see. 101 rows want to know how long it will take to double your money? Use this calculator to get a quick estimate. Our compound interest calculator is a versatile tool that helps you forecast the growth of your investments over time. Whether you want to evaluate offers that promise to double your money fast or establish investment goals for your portfolio, a. At a 2% interest rate, it would take 36 years to double your money. Simply divide 72 by the interest rate to determine the outcome. Every time we discuss doubling money over some time, calculations are made using a crucial formula known as the rule of 72. How many years you need to wait until you double your money, if your bank offers you a nominal annual rate of 3.5%, which is. The rule of 72 is a shortcut or rule of thumb used to estimate the number of years required to double your money at a given annual. Simply enter a given rate of return. Use the rule of 72 to estimate how long it will take to double an investment at a given interest rate.
from www.toppr.com
The rule of 72 is a shortcut or rule of thumb used to estimate the number of years required to double your money at a given annual. Simply enter a given rate of return. Simply divide 72 by the interest rate to determine the outcome. Use this calculator to get a quick estimate. At a 2% interest rate, it would take 36 years to double your money. Every time we discuss doubling money over some time, calculations are made using a crucial formula known as the rule of 72. How many years you need to wait until you double your money, if your bank offers you a nominal annual rate of 3.5%, which is. 101 rows want to know how long it will take to double your money? Our compound interest calculator is a versatile tool that helps you forecast the growth of your investments over time. Whether you want to evaluate offers that promise to double your money fast or establish investment goals for your portfolio, a.
At a certain rate of simple interest, a certain sum doubles itself in
How Many Times Money Double In Bank Use the rule of 72 to estimate how long it will take to double an investment at a given interest rate. Simply divide 72 by the interest rate to determine the outcome. Simply enter a given rate of return. 101 rows want to know how long it will take to double your money? Our compound interest calculator is a versatile tool that helps you forecast the growth of your investments over time. At a 2% interest rate, it would take 36 years to double your money. Use the rule of 72 to estimate how long it will take to double an investment at a given interest rate. The rule of 72 is a shortcut or rule of thumb used to estimate the number of years required to double your money at a given annual. Whether you want to evaluate offers that promise to double your money fast or establish investment goals for your portfolio, a. Use this calculator to get a quick estimate. Every time we discuss doubling money over some time, calculations are made using a crucial formula known as the rule of 72. Divide 72 by the interest rate to see. How many years you need to wait until you double your money, if your bank offers you a nominal annual rate of 3.5%, which is.
From www.youtube.com
how to double your money in 10 mins!!!!??? YouTube How Many Times Money Double In Bank At a 2% interest rate, it would take 36 years to double your money. The rule of 72 is a shortcut or rule of thumb used to estimate the number of years required to double your money at a given annual. Divide 72 by the interest rate to see. Our compound interest calculator is a versatile tool that helps you. How Many Times Money Double In Bank.
From investyojana.com
How To Double Your Money in India? Invest Yojana How Many Times Money Double In Bank Whether you want to evaluate offers that promise to double your money fast or establish investment goals for your portfolio, a. Use this calculator to get a quick estimate. How many years you need to wait until you double your money, if your bank offers you a nominal annual rate of 3.5%, which is. Use the rule of 72 to. How Many Times Money Double In Bank.
From brainly.in
In how many years will a sum of money double itself at 18.75 per annum How Many Times Money Double In Bank Our compound interest calculator is a versatile tool that helps you forecast the growth of your investments over time. Divide 72 by the interest rate to see. Simply divide 72 by the interest rate to determine the outcome. At a 2% interest rate, it would take 36 years to double your money. 101 rows want to know how long it. How Many Times Money Double In Bank.
From edurev.in
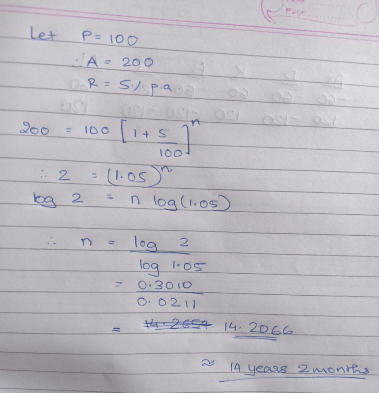
In how many years will a sum of money double at 5 p.a. compound How Many Times Money Double In Bank Use the rule of 72 to estimate how long it will take to double an investment at a given interest rate. Simply divide 72 by the interest rate to determine the outcome. At a 2% interest rate, it would take 36 years to double your money. Use this calculator to get a quick estimate. Every time we discuss doubling money. How Many Times Money Double In Bank.
From www.youtube.com
In how many years will a sum of money double itself at 12 perannum How Many Times Money Double In Bank How many years you need to wait until you double your money, if your bank offers you a nominal annual rate of 3.5%, which is. Divide 72 by the interest rate to see. Our compound interest calculator is a versatile tool that helps you forecast the growth of your investments over time. At a 2% interest rate, it would take. How Many Times Money Double In Bank.
From www.youtube.com
38. A certain sum of money three times of itself in 20 years at How Many Times Money Double In Bank Divide 72 by the interest rate to see. Whether you want to evaluate offers that promise to double your money fast or establish investment goals for your portfolio, a. Simply divide 72 by the interest rate to determine the outcome. At a 2% interest rate, it would take 36 years to double your money. Every time we discuss doubling money. How Many Times Money Double In Bank.
From www.samplefilled.com
Double Payment Refund Request Letters How Many Times Money Double In Bank Simply divide 72 by the interest rate to determine the outcome. At a 2% interest rate, it would take 36 years to double your money. Divide 72 by the interest rate to see. 101 rows want to know how long it will take to double your money? Use the rule of 72 to estimate how long it will take to. How Many Times Money Double In Bank.
From www.youtube.com
DOUBLE YOUR MONEY WITH THE RuleOf72 HOW MANY YEARS WILL IT TAKE FOR How Many Times Money Double In Bank Whether you want to evaluate offers that promise to double your money fast or establish investment goals for your portfolio, a. Use the rule of 72 to estimate how long it will take to double an investment at a given interest rate. Divide 72 by the interest rate to see. Our compound interest calculator is a versatile tool that helps. How Many Times Money Double In Bank.
From www.toppr.com
At a certain rate of simple interest, a certain sum doubles itself in How Many Times Money Double In Bank 101 rows want to know how long it will take to double your money? Use this calculator to get a quick estimate. Our compound interest calculator is a versatile tool that helps you forecast the growth of your investments over time. Divide 72 by the interest rate to see. Whether you want to evaluate offers that promise to double your. How Many Times Money Double In Bank.
From m4research.com
How To Double Your Money » M4 Research How Many Times Money Double In Bank Simply divide 72 by the interest rate to determine the outcome. Whether you want to evaluate offers that promise to double your money fast or establish investment goals for your portfolio, a. Use this calculator to get a quick estimate. At a 2% interest rate, it would take 36 years to double your money. The rule of 72 is a. How Many Times Money Double In Bank.
From lottery-admin.sd.gov
Double Your Money South Dakota Lottery How Many Times Money Double In Bank Whether you want to evaluate offers that promise to double your money fast or establish investment goals for your portfolio, a. 101 rows want to know how long it will take to double your money? Use the rule of 72 to estimate how long it will take to double an investment at a given interest rate. Simply enter a given. How Many Times Money Double In Bank.
From www.tradeizze.com
How to double your money Tradeizze How Many Times Money Double In Bank At a 2% interest rate, it would take 36 years to double your money. How many years you need to wait until you double your money, if your bank offers you a nominal annual rate of 3.5%, which is. Whether you want to evaluate offers that promise to double your money fast or establish investment goals for your portfolio, a.. How Many Times Money Double In Bank.
From www.toppr.com
A of money doubles in 10 years. In how many years it will be triple the How Many Times Money Double In Bank Our compound interest calculator is a versatile tool that helps you forecast the growth of your investments over time. How many years you need to wait until you double your money, if your bank offers you a nominal annual rate of 3.5%, which is. Use the rule of 72 to estimate how long it will take to double an investment. How Many Times Money Double In Bank.
From longmorales.blogspot.com
pin on social studies activities real looking us play money set How Many Times Money Double In Bank How many years you need to wait until you double your money, if your bank offers you a nominal annual rate of 3.5%, which is. 101 rows want to know how long it will take to double your money? Our compound interest calculator is a versatile tool that helps you forecast the growth of your investments over time. Use the. How Many Times Money Double In Bank.
From www.acorn2oak-fx.com
Double Your Money Every Year With Forex Managed Account How Many Times Money Double In Bank At a 2% interest rate, it would take 36 years to double your money. Use the rule of 72 to estimate how long it will take to double an investment at a given interest rate. Divide 72 by the interest rate to see. Use this calculator to get a quick estimate. Every time we discuss doubling money over some time,. How Many Times Money Double In Bank.
From www.youtube.com
How to make money double in two years from stock market Part 1 YouTube How Many Times Money Double In Bank Our compound interest calculator is a versatile tool that helps you forecast the growth of your investments over time. Whether you want to evaluate offers that promise to double your money fast or establish investment goals for your portfolio, a. The rule of 72 is a shortcut or rule of thumb used to estimate the number of years required to. How Many Times Money Double In Bank.
From www.ctpost.com
7 Ways to Double Your Money (Fast) How Many Times Money Double In Bank At a 2% interest rate, it would take 36 years to double your money. The rule of 72 is a shortcut or rule of thumb used to estimate the number of years required to double your money at a given annual. Every time we discuss doubling money over some time, calculations are made using a crucial formula known as the. How Many Times Money Double In Bank.
From www.promalayalam.com
How To Double Your Money In 2024 5 Rules Of Money How Many Times Money Double In Bank Divide 72 by the interest rate to see. Use the rule of 72 to estimate how long it will take to double an investment at a given interest rate. Every time we discuss doubling money over some time, calculations are made using a crucial formula known as the rule of 72. Simply enter a given rate of return. Simply divide. How Many Times Money Double In Bank.
From www.toppr.com
Find the rate at which a sum of money will double itself in 3 years, if How Many Times Money Double In Bank Simply divide 72 by the interest rate to determine the outcome. The rule of 72 is a shortcut or rule of thumb used to estimate the number of years required to double your money at a given annual. Every time we discuss doubling money over some time, calculations are made using a crucial formula known as the rule of 72.. How Many Times Money Double In Bank.
From brainly.in
In how many years will a sum of money double itself at the rate of 5 How Many Times Money Double In Bank 101 rows want to know how long it will take to double your money? Simply divide 72 by the interest rate to determine the outcome. Use the rule of 72 to estimate how long it will take to double an investment at a given interest rate. Our compound interest calculator is a versatile tool that helps you forecast the growth. How Many Times Money Double In Bank.
From www.moneycontrol.com
How long does it take to double your money? How Many Times Money Double In Bank Simply enter a given rate of return. Whether you want to evaluate offers that promise to double your money fast or establish investment goals for your portfolio, a. Simply divide 72 by the interest rate to determine the outcome. The rule of 72 is a shortcut or rule of thumb used to estimate the number of years required to double. How Many Times Money Double In Bank.
From edurev.in
A sum of money doubles itself at compound interest in 10 years.In how How Many Times Money Double In Bank Whether you want to evaluate offers that promise to double your money fast or establish investment goals for your portfolio, a. Divide 72 by the interest rate to see. Use this calculator to get a quick estimate. Simply divide 72 by the interest rate to determine the outcome. Our compound interest calculator is a versatile tool that helps you forecast. How Many Times Money Double In Bank.
From jemmafinancial.com
How Fast Can Your Money Double in Value? Jemma Financial Jemma Financial How Many Times Money Double In Bank Our compound interest calculator is a versatile tool that helps you forecast the growth of your investments over time. Simply enter a given rate of return. Every time we discuss doubling money over some time, calculations are made using a crucial formula known as the rule of 72. Whether you want to evaluate offers that promise to double your money. How Many Times Money Double In Bank.
From www.youtube.com
At what rate percent per annum will a sum of money double itself in 8 How Many Times Money Double In Bank The rule of 72 is a shortcut or rule of thumb used to estimate the number of years required to double your money at a given annual. Every time we discuss doubling money over some time, calculations are made using a crucial formula known as the rule of 72. Whether you want to evaluate offers that promise to double your. How Many Times Money Double In Bank.
From news24online.com
KVP Scheme Double your money in 10 years How Many Times Money Double In Bank At a 2% interest rate, it would take 36 years to double your money. Use the rule of 72 to estimate how long it will take to double an investment at a given interest rate. The rule of 72 is a shortcut or rule of thumb used to estimate the number of years required to double your money at a. How Many Times Money Double In Bank.
From brainly.in
in how many years will a sum of money double al 5 pa compound interest How Many Times Money Double In Bank Simply divide 72 by the interest rate to determine the outcome. How many years you need to wait until you double your money, if your bank offers you a nominal annual rate of 3.5%, which is. Simply enter a given rate of return. Whether you want to evaluate offers that promise to double your money fast or establish investment goals. How Many Times Money Double In Bank.
From www.toppr.com
A sum of money at compound interest annually) doubles How Many Times Money Double In Bank 101 rows want to know how long it will take to double your money? Every time we discuss doubling money over some time, calculations are made using a crucial formula known as the rule of 72. Use this calculator to get a quick estimate. Our compound interest calculator is a versatile tool that helps you forecast the growth of your. How Many Times Money Double In Bank.
From www.youtube.com
How to Easily Double Your Money Every Decade YouTube How Many Times Money Double In Bank The rule of 72 is a shortcut or rule of thumb used to estimate the number of years required to double your money at a given annual. Simply divide 72 by the interest rate to determine the outcome. Every time we discuss doubling money over some time, calculations are made using a crucial formula known as the rule of 72.. How Many Times Money Double In Bank.
From www.makemoneyforsure.com
7 Proven Ways to Double Your Money Fast This Year (Top Strategies How Many Times Money Double In Bank 101 rows want to know how long it will take to double your money? Every time we discuss doubling money over some time, calculations are made using a crucial formula known as the rule of 72. Our compound interest calculator is a versatile tool that helps you forecast the growth of your investments over time. Use the rule of 72. How Many Times Money Double In Bank.
From sudiptasengupta.in
How many years will it take to Double your money Sudipta Sengupta How Many Times Money Double In Bank At a 2% interest rate, it would take 36 years to double your money. Our compound interest calculator is a versatile tool that helps you forecast the growth of your investments over time. Every time we discuss doubling money over some time, calculations are made using a crucial formula known as the rule of 72. Divide 72 by the interest. How Many Times Money Double In Bank.
From libertyinvestor.com
Doubling Your Money The 'Rule Of 72' Liberty Investor™ How Many Times Money Double In Bank Use the rule of 72 to estimate how long it will take to double an investment at a given interest rate. The rule of 72 is a shortcut or rule of thumb used to estimate the number of years required to double your money at a given annual. Use this calculator to get a quick estimate. 101 rows want to. How Many Times Money Double In Bank.
From www.youtube.com
In how many years will a sum of money double itself at 6.25 simple How Many Times Money Double In Bank Simply enter a given rate of return. 101 rows want to know how long it will take to double your money? Use this calculator to get a quick estimate. Our compound interest calculator is a versatile tool that helps you forecast the growth of your investments over time. Simply divide 72 by the interest rate to determine the outcome. At. How Many Times Money Double In Bank.
From holagi.in
How To Double Money Without Risk? Holagi How To Double Money Without How Many Times Money Double In Bank Every time we discuss doubling money over some time, calculations are made using a crucial formula known as the rule of 72. Use the rule of 72 to estimate how long it will take to double an investment at a given interest rate. Divide 72 by the interest rate to see. Simply enter a given rate of return. The rule. How Many Times Money Double In Bank.
From coachkristal.com
Double Your Money Truly Passive How Many Times Money Double In Bank Use this calculator to get a quick estimate. Our compound interest calculator is a versatile tool that helps you forecast the growth of your investments over time. 101 rows want to know how long it will take to double your money? Use the rule of 72 to estimate how long it will take to double an investment at a given. How Many Times Money Double In Bank.
From www.disruptequity.com
How to Double Your Money Here Are the 5 Best Ways How Many Times Money Double In Bank Divide 72 by the interest rate to see. The rule of 72 is a shortcut or rule of thumb used to estimate the number of years required to double your money at a given annual. Whether you want to evaluate offers that promise to double your money fast or establish investment goals for your portfolio, a. How many years you. How Many Times Money Double In Bank.