Ester Hydrolysis Experiment . Esters are neutral compounds, unlike the acids from which they are formed. In typical reactions, the alkoxy (or′) group of an ester is replaced. Ester saponification in biological systems, called hydrolytic acyl substitution reactions, are common. It starts by looking at the hydrolysis of simple esters like ethyl ethanoate, and goes on to look at hydrolysing bigger, more complicated ones to. Essentially, we are drawing the reverse order of fischer esterification so, in the first step the ester is. You will first synthesize one of several para. In particular, acetylcholinesterase, an enzyme present in the synapse,. In this experiment, you will be performing a kinetic analysis of the alkaline hydrolysis of an ester.
from www.studocu.com
Esters are neutral compounds, unlike the acids from which they are formed. It starts by looking at the hydrolysis of simple esters like ethyl ethanoate, and goes on to look at hydrolysing bigger, more complicated ones to. In particular, acetylcholinesterase, an enzyme present in the synapse,. Essentially, we are drawing the reverse order of fischer esterification so, in the first step the ester is. In typical reactions, the alkoxy (or′) group of an ester is replaced. Ester saponification in biological systems, called hydrolytic acyl substitution reactions, are common. You will first synthesize one of several para. In this experiment, you will be performing a kinetic analysis of the alkaline hydrolysis of an ester.
Hydrolysis of an Ester lab Experiment Hydrolysis of an Ester
Ester Hydrolysis Experiment In particular, acetylcholinesterase, an enzyme present in the synapse,. Ester saponification in biological systems, called hydrolytic acyl substitution reactions, are common. Esters are neutral compounds, unlike the acids from which they are formed. It starts by looking at the hydrolysis of simple esters like ethyl ethanoate, and goes on to look at hydrolysing bigger, more complicated ones to. In particular, acetylcholinesterase, an enzyme present in the synapse,. In typical reactions, the alkoxy (or′) group of an ester is replaced. You will first synthesize one of several para. In this experiment, you will be performing a kinetic analysis of the alkaline hydrolysis of an ester. Essentially, we are drawing the reverse order of fischer esterification so, in the first step the ester is.
From www.pdfprof.com
of base catalysed hydrolysis of ester Ester Hydrolysis Experiment You will first synthesize one of several para. Essentially, we are drawing the reverse order of fischer esterification so, in the first step the ester is. It starts by looking at the hydrolysis of simple esters like ethyl ethanoate, and goes on to look at hydrolysing bigger, more complicated ones to. In this experiment, you will be performing a kinetic. Ester Hydrolysis Experiment.
From www.chegg.com
Solved The procedure for the ester hydrolysis experiment Ester Hydrolysis Experiment In this experiment, you will be performing a kinetic analysis of the alkaline hydrolysis of an ester. You will first synthesize one of several para. It starts by looking at the hydrolysis of simple esters like ethyl ethanoate, and goes on to look at hydrolysing bigger, more complicated ones to. Essentially, we are drawing the reverse order of fischer esterification. Ester Hydrolysis Experiment.
From pdfslide.net
(PDF) CHEM 100L Lab 7 Ester Hydrolysis Purposelsstarkey/local Ester Hydrolysis Experiment Esters are neutral compounds, unlike the acids from which they are formed. It starts by looking at the hydrolysis of simple esters like ethyl ethanoate, and goes on to look at hydrolysing bigger, more complicated ones to. In typical reactions, the alkoxy (or′) group of an ester is replaced. In this experiment, you will be performing a kinetic analysis of. Ester Hydrolysis Experiment.
From www.scribd.com
Ester Hydrolysis Reaction Mechanism PDF Ester Hydrolysis Experiment Essentially, we are drawing the reverse order of fischer esterification so, in the first step the ester is. You will first synthesize one of several para. Esters are neutral compounds, unlike the acids from which they are formed. Ester saponification in biological systems, called hydrolytic acyl substitution reactions, are common. In typical reactions, the alkoxy (or′) group of an ester. Ester Hydrolysis Experiment.
From www.pdfprof.com
acid catalysed hydrolysis of ester experiment Ester Hydrolysis Experiment In particular, acetylcholinesterase, an enzyme present in the synapse,. Ester saponification in biological systems, called hydrolytic acyl substitution reactions, are common. Essentially, we are drawing the reverse order of fischer esterification so, in the first step the ester is. Esters are neutral compounds, unlike the acids from which they are formed. You will first synthesize one of several para. It. Ester Hydrolysis Experiment.
From byjus.com
Hydrolysis of cyclic ester with mechanism. Ester Hydrolysis Experiment You will first synthesize one of several para. Ester saponification in biological systems, called hydrolytic acyl substitution reactions, are common. Essentially, we are drawing the reverse order of fischer esterification so, in the first step the ester is. In this experiment, you will be performing a kinetic analysis of the alkaline hydrolysis of an ester. In typical reactions, the alkoxy. Ester Hydrolysis Experiment.
From chemistnotes.com
Ester hydrolysis Easy Introduction with 8 mechanisms Chemistry Notes Ester Hydrolysis Experiment Ester saponification in biological systems, called hydrolytic acyl substitution reactions, are common. It starts by looking at the hydrolysis of simple esters like ethyl ethanoate, and goes on to look at hydrolysing bigger, more complicated ones to. Essentially, we are drawing the reverse order of fischer esterification so, in the first step the ester is. In typical reactions, the alkoxy. Ester Hydrolysis Experiment.
From www.chegg.com
Solved 12BL Prelab Experiment 5 Ester Hydrolysis 1. There Ester Hydrolysis Experiment In typical reactions, the alkoxy (or′) group of an ester is replaced. You will first synthesize one of several para. Ester saponification in biological systems, called hydrolytic acyl substitution reactions, are common. In particular, acetylcholinesterase, an enzyme present in the synapse,. In this experiment, you will be performing a kinetic analysis of the alkaline hydrolysis of an ester. It starts. Ester Hydrolysis Experiment.
From www.slideserve.com
PPT Hydrolysis of an ester PowerPoint Presentation, free download Ester Hydrolysis Experiment Essentially, we are drawing the reverse order of fischer esterification so, in the first step the ester is. Esters are neutral compounds, unlike the acids from which they are formed. You will first synthesize one of several para. In particular, acetylcholinesterase, an enzyme present in the synapse,. Ester saponification in biological systems, called hydrolytic acyl substitution reactions, are common. In. Ester Hydrolysis Experiment.
From www.brainkart.com
Determination of rate constant of acid catalysed hydrolysis of an ester Ester Hydrolysis Experiment Ester saponification in biological systems, called hydrolytic acyl substitution reactions, are common. In this experiment, you will be performing a kinetic analysis of the alkaline hydrolysis of an ester. It starts by looking at the hydrolysis of simple esters like ethyl ethanoate, and goes on to look at hydrolysing bigger, more complicated ones to. In typical reactions, the alkoxy (or′). Ester Hydrolysis Experiment.
From www.youtube.com
Hydrolysis Of Ester Lab Experiment YouTube Ester Hydrolysis Experiment It starts by looking at the hydrolysis of simple esters like ethyl ethanoate, and goes on to look at hydrolysing bigger, more complicated ones to. Essentially, we are drawing the reverse order of fischer esterification so, in the first step the ester is. In particular, acetylcholinesterase, an enzyme present in the synapse,. Ester saponification in biological systems, called hydrolytic acyl. Ester Hydrolysis Experiment.
From www.youtube.com
01.08 Ester Hydrolysis and Specific Acid Catalysis YouTube Ester Hydrolysis Experiment In this experiment, you will be performing a kinetic analysis of the alkaline hydrolysis of an ester. It starts by looking at the hydrolysis of simple esters like ethyl ethanoate, and goes on to look at hydrolysing bigger, more complicated ones to. Ester saponification in biological systems, called hydrolytic acyl substitution reactions, are common. In particular, acetylcholinesterase, an enzyme present. Ester Hydrolysis Experiment.
From www.studocu.com
Hydrolysis of an Ester lab Experiment Hydrolysis of an Ester Ester Hydrolysis Experiment In particular, acetylcholinesterase, an enzyme present in the synapse,. Esters are neutral compounds, unlike the acids from which they are formed. Ester saponification in biological systems, called hydrolytic acyl substitution reactions, are common. It starts by looking at the hydrolysis of simple esters like ethyl ethanoate, and goes on to look at hydrolysing bigger, more complicated ones to. In typical. Ester Hydrolysis Experiment.
From www.britannica.com
Hydrolysis Definition, Examples, & Facts Britannica Ester Hydrolysis Experiment It starts by looking at the hydrolysis of simple esters like ethyl ethanoate, and goes on to look at hydrolysing bigger, more complicated ones to. In typical reactions, the alkoxy (or′) group of an ester is replaced. Esters are neutral compounds, unlike the acids from which they are formed. Ester saponification in biological systems, called hydrolytic acyl substitution reactions, are. Ester Hydrolysis Experiment.
From chemistnotes.com
Ester hydrolysis Easy Introduction with 8 mechanisms Chemistry Notes Ester Hydrolysis Experiment Esters are neutral compounds, unlike the acids from which they are formed. In typical reactions, the alkoxy (or′) group of an ester is replaced. In particular, acetylcholinesterase, an enzyme present in the synapse,. Essentially, we are drawing the reverse order of fischer esterification so, in the first step the ester is. You will first synthesize one of several para. Ester. Ester Hydrolysis Experiment.
From www.researchgate.net
Mechanisms of ester hydrolysis under acid or base catalysis. Download Ester Hydrolysis Experiment In particular, acetylcholinesterase, an enzyme present in the synapse,. Ester saponification in biological systems, called hydrolytic acyl substitution reactions, are common. You will first synthesize one of several para. Essentially, we are drawing the reverse order of fischer esterification so, in the first step the ester is. Esters are neutral compounds, unlike the acids from which they are formed. In. Ester Hydrolysis Experiment.
From www.youtube.com
Ester Hydrolysis L02 Acid Catalyzed and Base promoted Ester Ester Hydrolysis Experiment In particular, acetylcholinesterase, an enzyme present in the synapse,. Ester saponification in biological systems, called hydrolytic acyl substitution reactions, are common. Essentially, we are drawing the reverse order of fischer esterification so, in the first step the ester is. It starts by looking at the hydrolysis of simple esters like ethyl ethanoate, and goes on to look at hydrolysing bigger,. Ester Hydrolysis Experiment.
From www.chegg.com
Solved Experiment 7 Alkaline Ester Hydrolysis Mechanism Ho Ester Hydrolysis Experiment In particular, acetylcholinesterase, an enzyme present in the synapse,. Ester saponification in biological systems, called hydrolytic acyl substitution reactions, are common. In typical reactions, the alkoxy (or′) group of an ester is replaced. It starts by looking at the hydrolysis of simple esters like ethyl ethanoate, and goes on to look at hydrolysing bigger, more complicated ones to. You will. Ester Hydrolysis Experiment.
From www.studocu.com
Hydrolysis B lab report Chemistry 342 Experiment 11 Saponification Ester Hydrolysis Experiment Ester saponification in biological systems, called hydrolytic acyl substitution reactions, are common. Esters are neutral compounds, unlike the acids from which they are formed. Essentially, we are drawing the reverse order of fischer esterification so, in the first step the ester is. In this experiment, you will be performing a kinetic analysis of the alkaline hydrolysis of an ester. In. Ester Hydrolysis Experiment.
From www.youtube.com
Ester Hydrolysis (Acidic and Basic Conditions) YouTube Ester Hydrolysis Experiment Ester saponification in biological systems, called hydrolytic acyl substitution reactions, are common. In this experiment, you will be performing a kinetic analysis of the alkaline hydrolysis of an ester. You will first synthesize one of several para. Essentially, we are drawing the reverse order of fischer esterification so, in the first step the ester is. It starts by looking at. Ester Hydrolysis Experiment.
From www.pdfprof.com
acid catalysed hydrolysis of ester experiment Ester Hydrolysis Experiment In this experiment, you will be performing a kinetic analysis of the alkaline hydrolysis of an ester. In particular, acetylcholinesterase, an enzyme present in the synapse,. You will first synthesize one of several para. Esters are neutral compounds, unlike the acids from which they are formed. In typical reactions, the alkoxy (or′) group of an ester is replaced. It starts. Ester Hydrolysis Experiment.
From www.chemistrysteps.com
Ester Hydrolysis Acid and BaseCatalyzed Mechanism Chemistry Steps Ester Hydrolysis Experiment In typical reactions, the alkoxy (or′) group of an ester is replaced. It starts by looking at the hydrolysis of simple esters like ethyl ethanoate, and goes on to look at hydrolysing bigger, more complicated ones to. In this experiment, you will be performing a kinetic analysis of the alkaline hydrolysis of an ester. In particular, acetylcholinesterase, an enzyme present. Ester Hydrolysis Experiment.
From www.youtube.com
DETERMINE THE RATE CONSTANT FOR THE HYDROLYSIS OF ESTER USING AN ACID Ester Hydrolysis Experiment You will first synthesize one of several para. In typical reactions, the alkoxy (or′) group of an ester is replaced. Essentially, we are drawing the reverse order of fischer esterification so, in the first step the ester is. Esters are neutral compounds, unlike the acids from which they are formed. In particular, acetylcholinesterase, an enzyme present in the synapse,. Ester. Ester Hydrolysis Experiment.
From testbook.com
Ester Hydrolysis Definition, Types, Mechanism, Applications Ester Hydrolysis Experiment In this experiment, you will be performing a kinetic analysis of the alkaline hydrolysis of an ester. It starts by looking at the hydrolysis of simple esters like ethyl ethanoate, and goes on to look at hydrolysing bigger, more complicated ones to. In typical reactions, the alkoxy (or′) group of an ester is replaced. In particular, acetylcholinesterase, an enzyme present. Ester Hydrolysis Experiment.
From www.youtube.com
To determine the rate constant for the hydrolysis of an ester Ester Hydrolysis Experiment Ester saponification in biological systems, called hydrolytic acyl substitution reactions, are common. It starts by looking at the hydrolysis of simple esters like ethyl ethanoate, and goes on to look at hydrolysing bigger, more complicated ones to. Essentially, we are drawing the reverse order of fischer esterification so, in the first step the ester is. In this experiment, you will. Ester Hydrolysis Experiment.
From studylib.net
Experiment No. 8 Ester Hydrolysis Experiment In typical reactions, the alkoxy (or′) group of an ester is replaced. In particular, acetylcholinesterase, an enzyme present in the synapse,. Esters are neutral compounds, unlike the acids from which they are formed. Essentially, we are drawing the reverse order of fischer esterification so, in the first step the ester is. In this experiment, you will be performing a kinetic. Ester Hydrolysis Experiment.
From www.chemistrysteps.com
Ester Hydrolysis Acid and BaseCatalyzed Mechanism Chemistry Steps Ester Hydrolysis Experiment You will first synthesize one of several para. Essentially, we are drawing the reverse order of fischer esterification so, in the first step the ester is. It starts by looking at the hydrolysis of simple esters like ethyl ethanoate, and goes on to look at hydrolysing bigger, more complicated ones to. In particular, acetylcholinesterase, an enzyme present in the synapse,.. Ester Hydrolysis Experiment.
From www.scribd.com
The Equilibrium Constant of An Ester Hydrolysis Reaction Lab Report Ester Hydrolysis Experiment Essentially, we are drawing the reverse order of fischer esterification so, in the first step the ester is. You will first synthesize one of several para. In particular, acetylcholinesterase, an enzyme present in the synapse,. Ester saponification in biological systems, called hydrolytic acyl substitution reactions, are common. In this experiment, you will be performing a kinetic analysis of the alkaline. Ester Hydrolysis Experiment.
From www.studypool.com
SOLUTION Experiment 4 of acid catalysed ester hydrolysis Ester Hydrolysis Experiment Essentially, we are drawing the reverse order of fischer esterification so, in the first step the ester is. It starts by looking at the hydrolysis of simple esters like ethyl ethanoate, and goes on to look at hydrolysing bigger, more complicated ones to. Esters are neutral compounds, unlike the acids from which they are formed. Ester saponification in biological systems,. Ester Hydrolysis Experiment.
From www.youtube.com
Esterification Hydrolysis of ester Hydrolysis of cynide YouTube Ester Hydrolysis Experiment You will first synthesize one of several para. In typical reactions, the alkoxy (or′) group of an ester is replaced. It starts by looking at the hydrolysis of simple esters like ethyl ethanoate, and goes on to look at hydrolysing bigger, more complicated ones to. In this experiment, you will be performing a kinetic analysis of the alkaline hydrolysis of. Ester Hydrolysis Experiment.
From www.youtube.com
mechanism of ester hydrolysis YouTube Ester Hydrolysis Experiment Ester saponification in biological systems, called hydrolytic acyl substitution reactions, are common. You will first synthesize one of several para. It starts by looking at the hydrolysis of simple esters like ethyl ethanoate, and goes on to look at hydrolysing bigger, more complicated ones to. Essentially, we are drawing the reverse order of fischer esterification so, in the first step. Ester Hydrolysis Experiment.
From www.chemistrysteps.com
Ester Hydrolysis Acid and BaseCatalyzed Mechanism Chemistry Steps Ester Hydrolysis Experiment It starts by looking at the hydrolysis of simple esters like ethyl ethanoate, and goes on to look at hydrolysing bigger, more complicated ones to. Esters are neutral compounds, unlike the acids from which they are formed. You will first synthesize one of several para. Essentially, we are drawing the reverse order of fischer esterification so, in the first step. Ester Hydrolysis Experiment.
From chemistnotes.com
Ester hydrolysis Easy Introduction with 8 mechanisms Chemistry Notes Ester Hydrolysis Experiment It starts by looking at the hydrolysis of simple esters like ethyl ethanoate, and goes on to look at hydrolysing bigger, more complicated ones to. Essentially, we are drawing the reverse order of fischer esterification so, in the first step the ester is. Ester saponification in biological systems, called hydrolytic acyl substitution reactions, are common. You will first synthesize one. Ester Hydrolysis Experiment.
From www.studocu.com
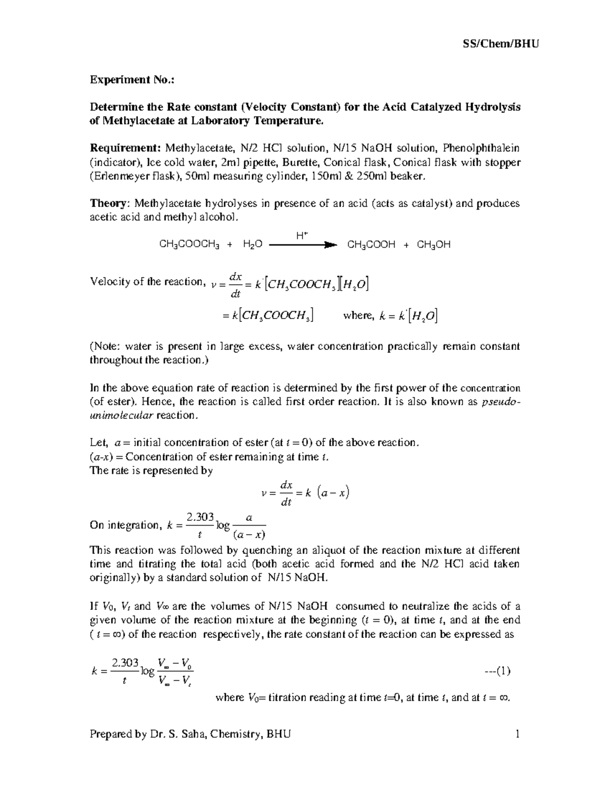
B.Sc. 1st yearEsterhydrolysisPracticalSSaha Experiment No Ester Hydrolysis Experiment In particular, acetylcholinesterase, an enzyme present in the synapse,. Essentially, we are drawing the reverse order of fischer esterification so, in the first step the ester is. You will first synthesize one of several para. In this experiment, you will be performing a kinetic analysis of the alkaline hydrolysis of an ester. Esters are neutral compounds, unlike the acids from. Ester Hydrolysis Experiment.
From www.studypool.com
SOLUTION Experiment 4 of acid catalysed ester hydrolysis Ester Hydrolysis Experiment Essentially, we are drawing the reverse order of fischer esterification so, in the first step the ester is. In particular, acetylcholinesterase, an enzyme present in the synapse,. Ester saponification in biological systems, called hydrolytic acyl substitution reactions, are common. In typical reactions, the alkoxy (or′) group of an ester is replaced. Esters are neutral compounds, unlike the acids from which. Ester Hydrolysis Experiment.