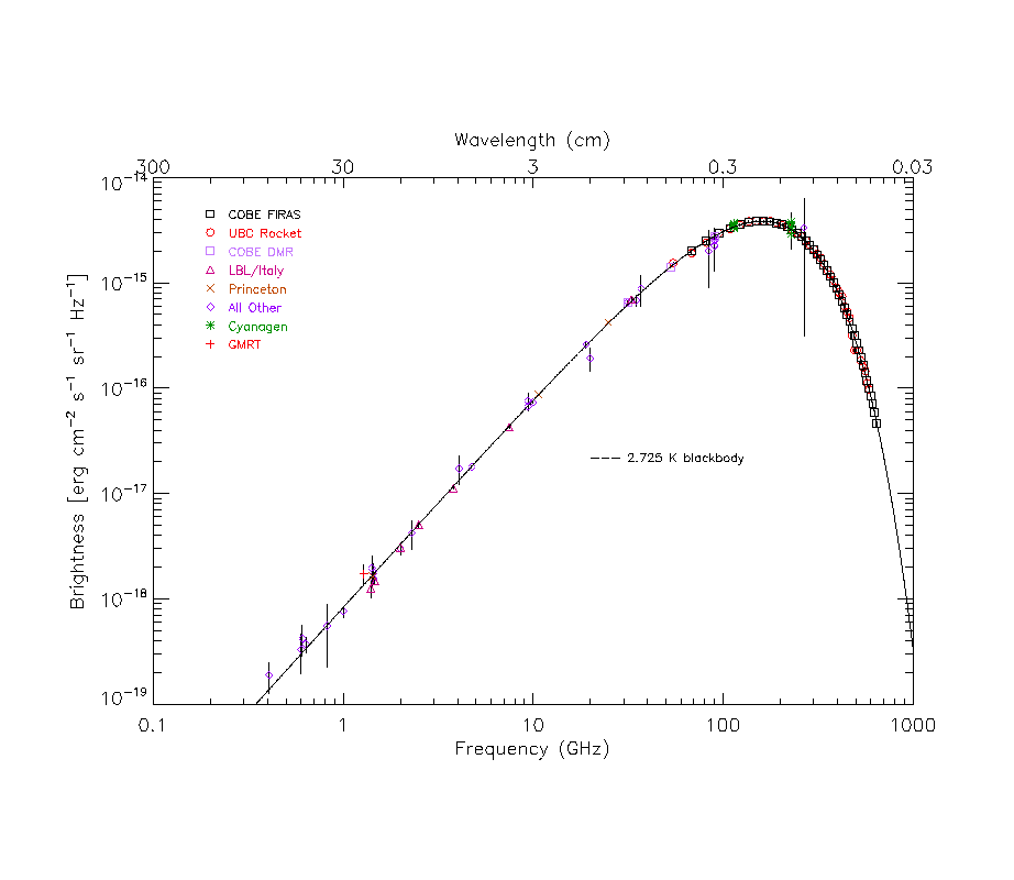
How To Measure Cosmic Microwave Background Radiation . Their detection of the cosmic microwave background (cmb), the radiation left over from the birth of the universe, provided the strongest possible evidence that the universe expanded from an. The cosmic microwave background (cmb) is detected in all directions of the sky and appears to microwave telescopes as an almost uniform background. How the cmb is observed and why it is not normally visible. Planck’s predecessors ( nasa's cobe and wmap. Scientists observe the cmb using specialized instruments that detect. The solid line shows how the intensity of radiation should change with wavelength for a blackbody with a temperature of 2.73 k. Figure 29.17 cosmic background radiation. The solid line shows how the intensity of radiation should change with wavelength for a blackbody with a.
from www.ctc.cam.ac.uk
Their detection of the cosmic microwave background (cmb), the radiation left over from the birth of the universe, provided the strongest possible evidence that the universe expanded from an. Scientists observe the cmb using specialized instruments that detect. The solid line shows how the intensity of radiation should change with wavelength for a blackbody with a. The cosmic microwave background (cmb) is detected in all directions of the sky and appears to microwave telescopes as an almost uniform background. How the cmb is observed and why it is not normally visible. The solid line shows how the intensity of radiation should change with wavelength for a blackbody with a temperature of 2.73 k. Figure 29.17 cosmic background radiation. Planck’s predecessors ( nasa's cobe and wmap.
Centre for Theoretical Cosmology The Origins of the Universe The
How To Measure Cosmic Microwave Background Radiation The solid line shows how the intensity of radiation should change with wavelength for a blackbody with a. Their detection of the cosmic microwave background (cmb), the radiation left over from the birth of the universe, provided the strongest possible evidence that the universe expanded from an. How the cmb is observed and why it is not normally visible. Figure 29.17 cosmic background radiation. Scientists observe the cmb using specialized instruments that detect. The solid line shows how the intensity of radiation should change with wavelength for a blackbody with a. The solid line shows how the intensity of radiation should change with wavelength for a blackbody with a temperature of 2.73 k. Planck’s predecessors ( nasa's cobe and wmap. The cosmic microwave background (cmb) is detected in all directions of the sky and appears to microwave telescopes as an almost uniform background.
From www.lukemastin.com
Cosmic Background Radiation The Big Bang and the Big Crunch The How To Measure Cosmic Microwave Background Radiation How the cmb is observed and why it is not normally visible. Scientists observe the cmb using specialized instruments that detect. The solid line shows how the intensity of radiation should change with wavelength for a blackbody with a temperature of 2.73 k. Their detection of the cosmic microwave background (cmb), the radiation left over from the birth of the. How To Measure Cosmic Microwave Background Radiation.
From www.slideserve.com
PPT The Big Bang Theory PowerPoint Presentation, free download ID How To Measure Cosmic Microwave Background Radiation The cosmic microwave background (cmb) is detected in all directions of the sky and appears to microwave telescopes as an almost uniform background. Figure 29.17 cosmic background radiation. The solid line shows how the intensity of radiation should change with wavelength for a blackbody with a temperature of 2.73 k. The solid line shows how the intensity of radiation should. How To Measure Cosmic Microwave Background Radiation.
From www.semanticscholar.org
Figure 3 from Cosmic Microwave Background Radiation (CMB), the How To Measure Cosmic Microwave Background Radiation The cosmic microwave background (cmb) is detected in all directions of the sky and appears to microwave telescopes as an almost uniform background. The solid line shows how the intensity of radiation should change with wavelength for a blackbody with a. Their detection of the cosmic microwave background (cmb), the radiation left over from the birth of the universe, provided. How To Measure Cosmic Microwave Background Radiation.
From www.semanticscholar.org
Figure 1 from A cosmic microwave background radiation polarimeter using How To Measure Cosmic Microwave Background Radiation How the cmb is observed and why it is not normally visible. The cosmic microwave background (cmb) is detected in all directions of the sky and appears to microwave telescopes as an almost uniform background. Figure 29.17 cosmic background radiation. The solid line shows how the intensity of radiation should change with wavelength for a blackbody with a temperature of. How To Measure Cosmic Microwave Background Radiation.
From eduinput.com
10 Examples of Cosmic Microwave Background How To Measure Cosmic Microwave Background Radiation Planck’s predecessors ( nasa's cobe and wmap. Scientists observe the cmb using specialized instruments that detect. Their detection of the cosmic microwave background (cmb), the radiation left over from the birth of the universe, provided the strongest possible evidence that the universe expanded from an. The solid line shows how the intensity of radiation should change with wavelength for a. How To Measure Cosmic Microwave Background Radiation.
From physics.stackexchange.com
radiation Is the amplitude of the Cosmic Microwave How To Measure Cosmic Microwave Background Radiation Planck’s predecessors ( nasa's cobe and wmap. The solid line shows how the intensity of radiation should change with wavelength for a blackbody with a. Scientists observe the cmb using specialized instruments that detect. The solid line shows how the intensity of radiation should change with wavelength for a blackbody with a temperature of 2.73 k. The cosmic microwave background. How To Measure Cosmic Microwave Background Radiation.
From www.astro.ubc.ca
Cosmic Microwave Background Introduction How To Measure Cosmic Microwave Background Radiation The solid line shows how the intensity of radiation should change with wavelength for a blackbody with a temperature of 2.73 k. The solid line shows how the intensity of radiation should change with wavelength for a blackbody with a. Scientists observe the cmb using specialized instruments that detect. Their detection of the cosmic microwave background (cmb), the radiation left. How To Measure Cosmic Microwave Background Radiation.
From giofjhcil.blob.core.windows.net
How To Measure Cosmic Microwave Background Radiation at Mary Blodgett blog How To Measure Cosmic Microwave Background Radiation The cosmic microwave background (cmb) is detected in all directions of the sky and appears to microwave telescopes as an almost uniform background. Planck’s predecessors ( nasa's cobe and wmap. The solid line shows how the intensity of radiation should change with wavelength for a blackbody with a. Figure 29.17 cosmic background radiation. Scientists observe the cmb using specialized instruments. How To Measure Cosmic Microwave Background Radiation.
From sci.esa.int
ESA Science & Technology The Cosmic Microwave Background temperature How To Measure Cosmic Microwave Background Radiation Their detection of the cosmic microwave background (cmb), the radiation left over from the birth of the universe, provided the strongest possible evidence that the universe expanded from an. Scientists observe the cmb using specialized instruments that detect. Figure 29.17 cosmic background radiation. How the cmb is observed and why it is not normally visible. Planck’s predecessors ( nasa's cobe. How To Measure Cosmic Microwave Background Radiation.
From www.perlego.com
[PDF] Effects of Cosmic Microwave Background Radiation & Experiments to How To Measure Cosmic Microwave Background Radiation The solid line shows how the intensity of radiation should change with wavelength for a blackbody with a temperature of 2.73 k. Their detection of the cosmic microwave background (cmb), the radiation left over from the birth of the universe, provided the strongest possible evidence that the universe expanded from an. The cosmic microwave background (cmb) is detected in all. How To Measure Cosmic Microwave Background Radiation.
From www.walmart.com
A Reference Guide to Cosmic Microwave Background Radiation Including How To Measure Cosmic Microwave Background Radiation Scientists observe the cmb using specialized instruments that detect. The solid line shows how the intensity of radiation should change with wavelength for a blackbody with a temperature of 2.73 k. The solid line shows how the intensity of radiation should change with wavelength for a blackbody with a. Planck’s predecessors ( nasa's cobe and wmap. The cosmic microwave background. How To Measure Cosmic Microwave Background Radiation.
From asd.gsfc.nasa.gov
CMB Spectrum How To Measure Cosmic Microwave Background Radiation The solid line shows how the intensity of radiation should change with wavelength for a blackbody with a. The cosmic microwave background (cmb) is detected in all directions of the sky and appears to microwave telescopes as an almost uniform background. Figure 29.17 cosmic background radiation. Scientists observe the cmb using specialized instruments that detect. Planck’s predecessors ( nasa's cobe. How To Measure Cosmic Microwave Background Radiation.
From philschatz.com
The Cosmic Microwave Background · Astronomy How To Measure Cosmic Microwave Background Radiation How the cmb is observed and why it is not normally visible. Figure 29.17 cosmic background radiation. Their detection of the cosmic microwave background (cmb), the radiation left over from the birth of the universe, provided the strongest possible evidence that the universe expanded from an. The solid line shows how the intensity of radiation should change with wavelength for. How To Measure Cosmic Microwave Background Radiation.
From www.youtube.com
An Intro to Cosmic Microwave Background Radiation YouTube How To Measure Cosmic Microwave Background Radiation The solid line shows how the intensity of radiation should change with wavelength for a blackbody with a temperature of 2.73 k. Planck’s predecessors ( nasa's cobe and wmap. Scientists observe the cmb using specialized instruments that detect. Their detection of the cosmic microwave background (cmb), the radiation left over from the birth of the universe, provided the strongest possible. How To Measure Cosmic Microwave Background Radiation.
From www.e-education.psu.edu
The Cosmic Microwave Background Astronomy 801 Stars How To Measure Cosmic Microwave Background Radiation The solid line shows how the intensity of radiation should change with wavelength for a blackbody with a. The solid line shows how the intensity of radiation should change with wavelength for a blackbody with a temperature of 2.73 k. Their detection of the cosmic microwave background (cmb), the radiation left over from the birth of the universe, provided the. How To Measure Cosmic Microwave Background Radiation.
From nivafloors.com
Cosmic Microwave Background Radiation Cmb How To Measure Cosmic Microwave Background Radiation Scientists observe the cmb using specialized instruments that detect. Figure 29.17 cosmic background radiation. How the cmb is observed and why it is not normally visible. The solid line shows how the intensity of radiation should change with wavelength for a blackbody with a temperature of 2.73 k. The solid line shows how the intensity of radiation should change with. How To Measure Cosmic Microwave Background Radiation.
From giofjhcil.blob.core.windows.net
How To Measure Cosmic Microwave Background Radiation at Mary Blodgett blog How To Measure Cosmic Microwave Background Radiation The solid line shows how the intensity of radiation should change with wavelength for a blackbody with a temperature of 2.73 k. Their detection of the cosmic microwave background (cmb), the radiation left over from the birth of the universe, provided the strongest possible evidence that the universe expanded from an. Figure 29.17 cosmic background radiation. How the cmb is. How To Measure Cosmic Microwave Background Radiation.
From www.canberratimes.com.au
Sunday Space How cold is space exactly, and how do we measure it How To Measure Cosmic Microwave Background Radiation Planck’s predecessors ( nasa's cobe and wmap. The solid line shows how the intensity of radiation should change with wavelength for a blackbody with a temperature of 2.73 k. The cosmic microwave background (cmb) is detected in all directions of the sky and appears to microwave telescopes as an almost uniform background. Scientists observe the cmb using specialized instruments that. How To Measure Cosmic Microwave Background Radiation.
From sos.noaa.gov
Cosmic Microwave Background WMAP (fifth year sequence) Science On a How To Measure Cosmic Microwave Background Radiation The solid line shows how the intensity of radiation should change with wavelength for a blackbody with a temperature of 2.73 k. Their detection of the cosmic microwave background (cmb), the radiation left over from the birth of the universe, provided the strongest possible evidence that the universe expanded from an. How the cmb is observed and why it is. How To Measure Cosmic Microwave Background Radiation.
From www.slideserve.com
PPT Warmup 8/25 PowerPoint Presentation ID5940465 How To Measure Cosmic Microwave Background Radiation The solid line shows how the intensity of radiation should change with wavelength for a blackbody with a. The cosmic microwave background (cmb) is detected in all directions of the sky and appears to microwave telescopes as an almost uniform background. Planck’s predecessors ( nasa's cobe and wmap. Figure 29.17 cosmic background radiation. The solid line shows how the intensity. How To Measure Cosmic Microwave Background Radiation.
From sites.ualberta.ca
Lecture 31 The Cosmic Microwave Background Radiation How To Measure Cosmic Microwave Background Radiation How the cmb is observed and why it is not normally visible. Scientists observe the cmb using specialized instruments that detect. Figure 29.17 cosmic background radiation. Planck’s predecessors ( nasa's cobe and wmap. The solid line shows how the intensity of radiation should change with wavelength for a blackbody with a. The cosmic microwave background (cmb) is detected in all. How To Measure Cosmic Microwave Background Radiation.
From www.slideserve.com
PPT 4 .1 INTRODUCTION to the universe PowerPoint Presentation ID How To Measure Cosmic Microwave Background Radiation The solid line shows how the intensity of radiation should change with wavelength for a blackbody with a temperature of 2.73 k. The solid line shows how the intensity of radiation should change with wavelength for a blackbody with a. How the cmb is observed and why it is not normally visible. Figure 29.17 cosmic background radiation. Planck’s predecessors (. How To Measure Cosmic Microwave Background Radiation.
From www.ctc.cam.ac.uk
Centre for Theoretical Cosmology The Origins of the Universe The How To Measure Cosmic Microwave Background Radiation How the cmb is observed and why it is not normally visible. Figure 29.17 cosmic background radiation. Planck’s predecessors ( nasa's cobe and wmap. The solid line shows how the intensity of radiation should change with wavelength for a blackbody with a. The cosmic microwave background (cmb) is detected in all directions of the sky and appears to microwave telescopes. How To Measure Cosmic Microwave Background Radiation.
From www.fity.club
Cosmic How To Measure Cosmic Microwave Background Radiation Figure 29.17 cosmic background radiation. The solid line shows how the intensity of radiation should change with wavelength for a blackbody with a temperature of 2.73 k. Scientists observe the cmb using specialized instruments that detect. How the cmb is observed and why it is not normally visible. The solid line shows how the intensity of radiation should change with. How To Measure Cosmic Microwave Background Radiation.
From www.particlezoo.net
Cosmic Microwave Background Radiation The Particle Zoo How To Measure Cosmic Microwave Background Radiation How the cmb is observed and why it is not normally visible. The cosmic microwave background (cmb) is detected in all directions of the sky and appears to microwave telescopes as an almost uniform background. Their detection of the cosmic microwave background (cmb), the radiation left over from the birth of the universe, provided the strongest possible evidence that the. How To Measure Cosmic Microwave Background Radiation.
From www.space.com
Cosmic Microwave Background Big Bang Relic Explained (Infographic) Space How To Measure Cosmic Microwave Background Radiation How the cmb is observed and why it is not normally visible. The solid line shows how the intensity of radiation should change with wavelength for a blackbody with a temperature of 2.73 k. The solid line shows how the intensity of radiation should change with wavelength for a blackbody with a. Figure 29.17 cosmic background radiation. Scientists observe the. How To Measure Cosmic Microwave Background Radiation.
From www.semanticscholar.org
Figure 8 from A cosmic microwave background radiation polarimeter using How To Measure Cosmic Microwave Background Radiation How the cmb is observed and why it is not normally visible. The solid line shows how the intensity of radiation should change with wavelength for a blackbody with a temperature of 2.73 k. Planck’s predecessors ( nasa's cobe and wmap. Their detection of the cosmic microwave background (cmb), the radiation left over from the birth of the universe, provided. How To Measure Cosmic Microwave Background Radiation.
From www.researchgate.net
(PDF) Cosmic Microwave Background Radiation (CMB), the Observable and How To Measure Cosmic Microwave Background Radiation The solid line shows how the intensity of radiation should change with wavelength for a blackbody with a temperature of 2.73 k. The solid line shows how the intensity of radiation should change with wavelength for a blackbody with a. Their detection of the cosmic microwave background (cmb), the radiation left over from the birth of the universe, provided the. How To Measure Cosmic Microwave Background Radiation.
From medium.com
This Is How We Know The Cosmic Microwave Background Comes From The Big How To Measure Cosmic Microwave Background Radiation The solid line shows how the intensity of radiation should change with wavelength for a blackbody with a. The solid line shows how the intensity of radiation should change with wavelength for a blackbody with a temperature of 2.73 k. The cosmic microwave background (cmb) is detected in all directions of the sky and appears to microwave telescopes as an. How To Measure Cosmic Microwave Background Radiation.
From www.slideserve.com
PPT Cosmic Microwave Background Radiation (CMBR) PowerPoint How To Measure Cosmic Microwave Background Radiation The cosmic microwave background (cmb) is detected in all directions of the sky and appears to microwave telescopes as an almost uniform background. The solid line shows how the intensity of radiation should change with wavelength for a blackbody with a. Planck’s predecessors ( nasa's cobe and wmap. The solid line shows how the intensity of radiation should change with. How To Measure Cosmic Microwave Background Radiation.
From www.youtube.com
Cosmic Microwave Background Explained YouTube How To Measure Cosmic Microwave Background Radiation Planck’s predecessors ( nasa's cobe and wmap. The cosmic microwave background (cmb) is detected in all directions of the sky and appears to microwave telescopes as an almost uniform background. The solid line shows how the intensity of radiation should change with wavelength for a blackbody with a. Figure 29.17 cosmic background radiation. How the cmb is observed and why. How To Measure Cosmic Microwave Background Radiation.
From www.slideserve.com
PPT CMB Overview Cosmology with the CMB PowerPoint Presentation How To Measure Cosmic Microwave Background Radiation The solid line shows how the intensity of radiation should change with wavelength for a blackbody with a. Planck’s predecessors ( nasa's cobe and wmap. Their detection of the cosmic microwave background (cmb), the radiation left over from the birth of the universe, provided the strongest possible evidence that the universe expanded from an. The solid line shows how the. How To Measure Cosmic Microwave Background Radiation.
From giofjhcil.blob.core.windows.net
How To Measure Cosmic Microwave Background Radiation at Mary Blodgett blog How To Measure Cosmic Microwave Background Radiation Scientists observe the cmb using specialized instruments that detect. Planck’s predecessors ( nasa's cobe and wmap. The solid line shows how the intensity of radiation should change with wavelength for a blackbody with a. How the cmb is observed and why it is not normally visible. The cosmic microwave background (cmb) is detected in all directions of the sky and. How To Measure Cosmic Microwave Background Radiation.
From pressbooks.online.ucf.edu
29.4 The Cosmic Microwave Background Astronomy How To Measure Cosmic Microwave Background Radiation The cosmic microwave background (cmb) is detected in all directions of the sky and appears to microwave telescopes as an almost uniform background. The solid line shows how the intensity of radiation should change with wavelength for a blackbody with a. Figure 29.17 cosmic background radiation. Their detection of the cosmic microwave background (cmb), the radiation left over from the. How To Measure Cosmic Microwave Background Radiation.