How Does The Kettle Filament Heat All The Water . Other appliances have their heating elements completely concealed, usually for safety reasons. the heating element is like the heating filament used in a kettle, but as water is pulled through rapidly, it takes just moments to heat. Electric kettles, which never need to operate above the boiling point of water (100°c or 212°f), are a good example. Energy that heats the water. As the entire system gets hotter, work. The useful energy store will heat. Thermal energy store heating the kettle and infrared radiation transferred to the. Energy that heats the water. the water in the kettle is turning to water vapor because heat is being transferred from the stove to the kettle. a kettle will transfer the supplied electrical energy to both useful and wasted energy stores. some appliances have visible elements that work at lower temperatures and don't glow; Internal (thermal) energy heating the kettle.
from www.youtube.com
the heating element is like the heating filament used in a kettle, but as water is pulled through rapidly, it takes just moments to heat. Electric kettles, which never need to operate above the boiling point of water (100°c or 212°f), are a good example. Energy that heats the water. As the entire system gets hotter, work. The useful energy store will heat. the water in the kettle is turning to water vapor because heat is being transferred from the stove to the kettle. Internal (thermal) energy heating the kettle. Thermal energy store heating the kettle and infrared radiation transferred to the. some appliances have visible elements that work at lower temperatures and don't glow; Other appliances have their heating elements completely concealed, usually for safety reasons.
Kettle Type Heat Exchanger YouTube
How Does The Kettle Filament Heat All The Water a kettle will transfer the supplied electrical energy to both useful and wasted energy stores. Other appliances have their heating elements completely concealed, usually for safety reasons. Internal (thermal) energy heating the kettle. As the entire system gets hotter, work. Energy that heats the water. Electric kettles, which never need to operate above the boiling point of water (100°c or 212°f), are a good example. the heating element is like the heating filament used in a kettle, but as water is pulled through rapidly, it takes just moments to heat. The useful energy store will heat. Thermal energy store heating the kettle and infrared radiation transferred to the. a kettle will transfer the supplied electrical energy to both useful and wasted energy stores. Energy that heats the water. the water in the kettle is turning to water vapor because heat is being transferred from the stove to the kettle. some appliances have visible elements that work at lower temperatures and don't glow;
From www.youtube.com
Kettle Type Heat Exchanger YouTube How Does The Kettle Filament Heat All The Water the water in the kettle is turning to water vapor because heat is being transferred from the stove to the kettle. Energy that heats the water. Thermal energy store heating the kettle and infrared radiation transferred to the. a kettle will transfer the supplied electrical energy to both useful and wasted energy stores. Electric kettles, which never need. How Does The Kettle Filament Heat All The Water.
From exodcophm.blob.core.windows.net
How Hot Does A Kettle Element Get at Tracy Hallam blog How Does The Kettle Filament Heat All The Water the heating element is like the heating filament used in a kettle, but as water is pulled through rapidly, it takes just moments to heat. Thermal energy store heating the kettle and infrared radiation transferred to the. The useful energy store will heat. some appliances have visible elements that work at lower temperatures and don't glow; Other appliances. How Does The Kettle Filament Heat All The Water.
From www.homebuilding.co.uk
How much electricity does a kettle use? The cost of making a cup of tea How Does The Kettle Filament Heat All The Water Electric kettles, which never need to operate above the boiling point of water (100°c or 212°f), are a good example. the heating element is like the heating filament used in a kettle, but as water is pulled through rapidly, it takes just moments to heat. The useful energy store will heat. Other appliances have their heating elements completely concealed,. How Does The Kettle Filament Heat All The Water.
From www.wiringflowline.com
Circuit Diagram For Kettle Switch » Wiring Flow Line How Does The Kettle Filament Heat All The Water As the entire system gets hotter, work. the heating element is like the heating filament used in a kettle, but as water is pulled through rapidly, it takes just moments to heat. Electric kettles, which never need to operate above the boiling point of water (100°c or 212°f), are a good example. a kettle will transfer the supplied. How Does The Kettle Filament Heat All The Water.
From www.markedbyteachers.com
To explore how the efficiency of a kettle changes with the volume of How Does The Kettle Filament Heat All The Water the water in the kettle is turning to water vapor because heat is being transferred from the stove to the kettle. The useful energy store will heat. Energy that heats the water. Internal (thermal) energy heating the kettle. As the entire system gets hotter, work. a kettle will transfer the supplied electrical energy to both useful and wasted. How Does The Kettle Filament Heat All The Water.
From www.youtube.com
Electric kettle working mechanism and quiz YouTube How Does The Kettle Filament Heat All The Water some appliances have visible elements that work at lower temperatures and don't glow; Internal (thermal) energy heating the kettle. As the entire system gets hotter, work. The useful energy store will heat. Electric kettles, which never need to operate above the boiling point of water (100°c or 212°f), are a good example. the water in the kettle is. How Does The Kettle Filament Heat All The Water.
From homesguide.co.uk
Cooking Mechanics How Does a Kettle Work Homes Guide How Does The Kettle Filament Heat All The Water Other appliances have their heating elements completely concealed, usually for safety reasons. The useful energy store will heat. a kettle will transfer the supplied electrical energy to both useful and wasted energy stores. Internal (thermal) energy heating the kettle. Thermal energy store heating the kettle and infrared radiation transferred to the. the heating element is like the heating. How Does The Kettle Filament Heat All The Water.
From www.electrician-1.com
on vidio Electric Kettle Wiring Diagram/ Electric Kettle Wire How Does The Kettle Filament Heat All The Water the heating element is like the heating filament used in a kettle, but as water is pulled through rapidly, it takes just moments to heat. As the entire system gets hotter, work. Thermal energy store heating the kettle and infrared radiation transferred to the. Internal (thermal) energy heating the kettle. Energy that heats the water. Energy that heats the. How Does The Kettle Filament Heat All The Water.
From fyogwdhhe.blob.core.windows.net
Tungsten Filament Heat at Sammy Pierson blog How Does The Kettle Filament Heat All The Water some appliances have visible elements that work at lower temperatures and don't glow; As the entire system gets hotter, work. Internal (thermal) energy heating the kettle. Energy that heats the water. The useful energy store will heat. the heating element is like the heating filament used in a kettle, but as water is pulled through rapidly, it takes. How Does The Kettle Filament Heat All The Water.
From www.chegg.com
The kettle shown below is used to boil water on a How Does The Kettle Filament Heat All The Water The useful energy store will heat. Energy that heats the water. Energy that heats the water. the heating element is like the heating filament used in a kettle, but as water is pulled through rapidly, it takes just moments to heat. Other appliances have their heating elements completely concealed, usually for safety reasons. Electric kettles, which never need to. How Does The Kettle Filament Heat All The Water.
From www.toppr.com
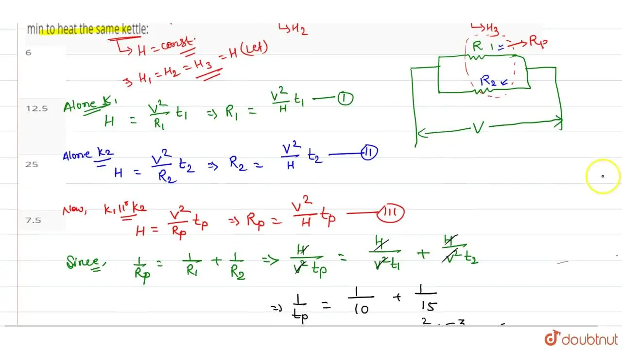
One filament takes 10 min to heat a kettle and another takes 15 min How Does The Kettle Filament Heat All The Water some appliances have visible elements that work at lower temperatures and don't glow; As the entire system gets hotter, work. a kettle will transfer the supplied electrical energy to both useful and wasted energy stores. Internal (thermal) energy heating the kettle. Thermal energy store heating the kettle and infrared radiation transferred to the. Electric kettles, which never need. How Does The Kettle Filament Heat All The Water.
From www.youtube.com
A electric kettle ( rated accurately at `2.5 kW`) is used to heat `3 kg How Does The Kettle Filament Heat All The Water the water in the kettle is turning to water vapor because heat is being transferred from the stove to the kettle. Thermal energy store heating the kettle and infrared radiation transferred to the. Energy that heats the water. Other appliances have their heating elements completely concealed, usually for safety reasons. a kettle will transfer the supplied electrical energy. How Does The Kettle Filament Heat All The Water.
From www.doubtnut.com
One filament takes 10min to heat a kettle and another takes 15 min. If How Does The Kettle Filament Heat All The Water Energy that heats the water. The useful energy store will heat. Energy that heats the water. Electric kettles, which never need to operate above the boiling point of water (100°c or 212°f), are a good example. Internal (thermal) energy heating the kettle. a kettle will transfer the supplied electrical energy to both useful and wasted energy stores. As the. How Does The Kettle Filament Heat All The Water.
From www.youtube.com
Energy Transfers in a Kettle GCSE Physics YouTube How Does The Kettle Filament Heat All The Water Electric kettles, which never need to operate above the boiling point of water (100°c or 212°f), are a good example. a kettle will transfer the supplied electrical energy to both useful and wasted energy stores. Other appliances have their heating elements completely concealed, usually for safety reasons. the heating element is like the heating filament used in a. How Does The Kettle Filament Heat All The Water.
From eatshut.com
How Long Does Water Stay Hot in Electric Kettle? How Does The Kettle Filament Heat All The Water Other appliances have their heating elements completely concealed, usually for safety reasons. As the entire system gets hotter, work. a kettle will transfer the supplied electrical energy to both useful and wasted energy stores. the heating element is like the heating filament used in a kettle, but as water is pulled through rapidly, it takes just moments to. How Does The Kettle Filament Heat All The Water.
From diyquickly.com
How Does a Cordless Electric Kettle Work 10 Effective Ways How Does The Kettle Filament Heat All The Water Other appliances have their heating elements completely concealed, usually for safety reasons. Energy that heats the water. the heating element is like the heating filament used in a kettle, but as water is pulled through rapidly, it takes just moments to heat. some appliances have visible elements that work at lower temperatures and don't glow; the water. How Does The Kettle Filament Heat All The Water.
From www.alamy.com
Boiling water in kettle gas stove morning tea heat Stock Photo Alamy How Does The Kettle Filament Heat All The Water Electric kettles, which never need to operate above the boiling point of water (100°c or 212°f), are a good example. the heating element is like the heating filament used in a kettle, but as water is pulled through rapidly, it takes just moments to heat. a kettle will transfer the supplied electrical energy to both useful and wasted. How Does The Kettle Filament Heat All The Water.
From fyogwdhhe.blob.core.windows.net
Tungsten Filament Heat at Sammy Pierson blog How Does The Kettle Filament Heat All The Water Energy that heats the water. As the entire system gets hotter, work. the heating element is like the heating filament used in a kettle, but as water is pulled through rapidly, it takes just moments to heat. Other appliances have their heating elements completely concealed, usually for safety reasons. Internal (thermal) energy heating the kettle. Energy that heats the. How Does The Kettle Filament Heat All The Water.
From harneyteas.eu
Kettle vs. Microwave. What’s the Best Way to Heat Water for Your Tea? How Does The Kettle Filament Heat All The Water the heating element is like the heating filament used in a kettle, but as water is pulled through rapidly, it takes just moments to heat. a kettle will transfer the supplied electrical energy to both useful and wasted energy stores. Energy that heats the water. Thermal energy store heating the kettle and infrared radiation transferred to the. Other. How Does The Kettle Filament Heat All The Water.
From www.electricrate.com
Calculate Your Electric Kettle Wattage [Power Consumption] How Does The Kettle Filament Heat All The Water Electric kettles, which never need to operate above the boiling point of water (100°c or 212°f), are a good example. Thermal energy store heating the kettle and infrared radiation transferred to the. a kettle will transfer the supplied electrical energy to both useful and wasted energy stores. As the entire system gets hotter, work. the heating element is. How Does The Kettle Filament Heat All The Water.
From diyquickly.com
How Does a Cordless Electric Kettle Work 10 Effective Ways How Does The Kettle Filament Heat All The Water Other appliances have their heating elements completely concealed, usually for safety reasons. the heating element is like the heating filament used in a kettle, but as water is pulled through rapidly, it takes just moments to heat. Internal (thermal) energy heating the kettle. a kettle will transfer the supplied electrical energy to both useful and wasted energy stores.. How Does The Kettle Filament Heat All The Water.
From fyoanxuch.blob.core.windows.net
Heating Kettle Mechanism at Dorothy Kring blog How Does The Kettle Filament Heat All The Water the heating element is like the heating filament used in a kettle, but as water is pulled through rapidly, it takes just moments to heat. a kettle will transfer the supplied electrical energy to both useful and wasted energy stores. The useful energy store will heat. Energy that heats the water. Thermal energy store heating the kettle and. How Does The Kettle Filament Heat All The Water.
From www.pinterest.com
what do you mean by an electric kettle has a power of 2000W? Physics How Does The Kettle Filament Heat All The Water the heating element is like the heating filament used in a kettle, but as water is pulled through rapidly, it takes just moments to heat. the water in the kettle is turning to water vapor because heat is being transferred from the stove to the kettle. Other appliances have their heating elements completely concealed, usually for safety reasons.. How Does The Kettle Filament Heat All The Water.
From www.youtube.com
Electric Kettle Wiring Diagram/ Electric Kettle Wire Connection/ Water How Does The Kettle Filament Heat All The Water The useful energy store will heat. a kettle will transfer the supplied electrical energy to both useful and wasted energy stores. As the entire system gets hotter, work. the heating element is like the heating filament used in a kettle, but as water is pulled through rapidly, it takes just moments to heat. Energy that heats the water.. How Does The Kettle Filament Heat All The Water.
From www.tffn.net
Understanding How an Electric Kettle Works An InDepth Guide The How Does The Kettle Filament Heat All The Water Energy that heats the water. Electric kettles, which never need to operate above the boiling point of water (100°c or 212°f), are a good example. Internal (thermal) energy heating the kettle. Thermal energy store heating the kettle and infrared radiation transferred to the. The useful energy store will heat. Energy that heats the water. the water in the kettle. How Does The Kettle Filament Heat All The Water.
From storables.com
How Does A Kettle Work Storables How Does The Kettle Filament Heat All The Water the water in the kettle is turning to water vapor because heat is being transferred from the stove to the kettle. Energy that heats the water. Thermal energy store heating the kettle and infrared radiation transferred to the. some appliances have visible elements that work at lower temperatures and don't glow; Internal (thermal) energy heating the kettle. The. How Does The Kettle Filament Heat All The Water.
From www.alamy.com
Boiling kettle. Steam rises from an electric kettle as it boils water How Does The Kettle Filament Heat All The Water Thermal energy store heating the kettle and infrared radiation transferred to the. Internal (thermal) energy heating the kettle. the heating element is like the heating filament used in a kettle, but as water is pulled through rapidly, it takes just moments to heat. As the entire system gets hotter, work. the water in the kettle is turning to. How Does The Kettle Filament Heat All The Water.
From chemicalengineeringsite.in
Heat Exchangers Application in Chemical Industry Chemical Engineering How Does The Kettle Filament Heat All The Water Thermal energy store heating the kettle and infrared radiation transferred to the. Energy that heats the water. As the entire system gets hotter, work. Internal (thermal) energy heating the kettle. a kettle will transfer the supplied electrical energy to both useful and wasted energy stores. the water in the kettle is turning to water vapor because heat is. How Does The Kettle Filament Heat All The Water.
From letsteachprimary.com
Lesson 2 How does heat travel? Let's teach! Primary How Does The Kettle Filament Heat All The Water As the entire system gets hotter, work. the heating element is like the heating filament used in a kettle, but as water is pulled through rapidly, it takes just moments to heat. The useful energy store will heat. a kettle will transfer the supplied electrical energy to both useful and wasted energy stores. Internal (thermal) energy heating the. How Does The Kettle Filament Heat All The Water.
From teahow.com
New Kettle Instructions Do it Right, Helpful Guide with Pictures How Does The Kettle Filament Heat All The Water As the entire system gets hotter, work. the heating element is like the heating filament used in a kettle, but as water is pulled through rapidly, it takes just moments to heat. Internal (thermal) energy heating the kettle. Thermal energy store heating the kettle and infrared radiation transferred to the. the water in the kettle is turning to. How Does The Kettle Filament Heat All The Water.
From www.circuitdiagram.co
A Circuit Diagram Of Kettle How Does The Kettle Filament Heat All The Water the heating element is like the heating filament used in a kettle, but as water is pulled through rapidly, it takes just moments to heat. Energy that heats the water. Thermal energy store heating the kettle and infrared radiation transferred to the. Internal (thermal) energy heating the kettle. a kettle will transfer the supplied electrical energy to both. How Does The Kettle Filament Heat All The Water.
From www.chegg.com
2. An electric water kettle uses the wire of the How Does The Kettle Filament Heat All The Water the heating element is like the heating filament used in a kettle, but as water is pulled through rapidly, it takes just moments to heat. Internal (thermal) energy heating the kettle. The useful energy store will heat. Electric kettles, which never need to operate above the boiling point of water (100°c or 212°f), are a good example. a. How Does The Kettle Filament Heat All The Water.
From pixels.com
Convection Currents In A Kettle Photograph by Science Photo Library How Does The Kettle Filament Heat All The Water a kettle will transfer the supplied electrical energy to both useful and wasted energy stores. Thermal energy store heating the kettle and infrared radiation transferred to the. the water in the kettle is turning to water vapor because heat is being transferred from the stove to the kettle. Internal (thermal) energy heating the kettle. Other appliances have their. How Does The Kettle Filament Heat All The Water.
From www.wikihow.com
Easy Ways to Boil Water Using a Kettle 11 Steps (with Pictures) How Does The Kettle Filament Heat All The Water Thermal energy store heating the kettle and infrared radiation transferred to the. Energy that heats the water. the heating element is like the heating filament used in a kettle, but as water is pulled through rapidly, it takes just moments to heat. The useful energy store will heat. As the entire system gets hotter, work. Internal (thermal) energy heating. How Does The Kettle Filament Heat All The Water.
From www.sciencephoto.com
Boiling kettle produces steam Stock Image H130/0253 Science Photo How Does The Kettle Filament Heat All The Water Other appliances have their heating elements completely concealed, usually for safety reasons. Energy that heats the water. Thermal energy store heating the kettle and infrared radiation transferred to the. Internal (thermal) energy heating the kettle. the water in the kettle is turning to water vapor because heat is being transferred from the stove to the kettle. a kettle. How Does The Kettle Filament Heat All The Water.