Manitoba Fuel Permits . Learn how to obtain a permit before working on gas or oil installations, alterations or additions in manitoba. Learn how to apply for and access the online gas permits program in manitoba, which allows you to apply for and receive permits from the internet. You can now apply and pay online for permits you require before you begin the work of installing new and replacement gas and. Manitoba permit services issues permits for oversized and overweight vehicles in manitoba, winnipeg and brandon. Apply and pay online for permits to install new and replacement gas and oil burning equipment in manitoba. You can now apply and pay online for permits you require before you begin the work of installing new and replacement gas and oil burning equipment. Find out the application process,. Register for a free account, submit. Gas & oil permit fees. Apply online for over dimensional, overweight, fuel tax and temporary registration permits using mb mooves. Find out how to apply. Learn how to schedule an inspection appointment for your natural gas equipment and appliances through your online account or by phone.
from www.templateroller.com
You can now apply and pay online for permits you require before you begin the work of installing new and replacement gas and oil burning equipment. Learn how to schedule an inspection appointment for your natural gas equipment and appliances through your online account or by phone. Learn how to apply for and access the online gas permits program in manitoba, which allows you to apply for and receive permits from the internet. Manitoba permit services issues permits for oversized and overweight vehicles in manitoba, winnipeg and brandon. Find out how to apply. Learn how to obtain a permit before working on gas or oil installations, alterations or additions in manitoba. Register for a free account, submit. Gas & oil permit fees. You can now apply and pay online for permits you require before you begin the work of installing new and replacement gas and. Apply and pay online for permits to install new and replacement gas and oil burning equipment in manitoba.
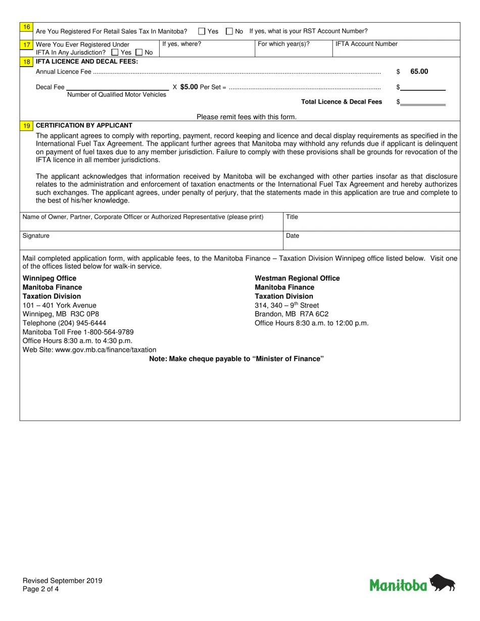
Manitoba Canada Application for International Fuel Tax Agreement (Ifta
Manitoba Fuel Permits Learn how to obtain a permit before working on gas or oil installations, alterations or additions in manitoba. Learn how to obtain a permit before working on gas or oil installations, alterations or additions in manitoba. Register for a free account, submit. Apply online for over dimensional, overweight, fuel tax and temporary registration permits using mb mooves. You can now apply and pay online for permits you require before you begin the work of installing new and replacement gas and oil burning equipment. You can now apply and pay online for permits you require before you begin the work of installing new and replacement gas and. Manitoba permit services issues permits for oversized and overweight vehicles in manitoba, winnipeg and brandon. Find out the application process,. Learn how to schedule an inspection appointment for your natural gas equipment and appliances through your online account or by phone. Learn how to apply for and access the online gas permits program in manitoba, which allows you to apply for and receive permits from the internet. Gas & oil permit fees. Apply and pay online for permits to install new and replacement gas and oil burning equipment in manitoba. Find out how to apply.
From opencanuck.com
Manitoba Suspends Fuel Tax As Alberta Reintroduces At Reduced Rate Manitoba Fuel Permits Learn how to obtain a permit before working on gas or oil installations, alterations or additions in manitoba. Learn how to apply for and access the online gas permits program in manitoba, which allows you to apply for and receive permits from the internet. Find out the application process,. Gas & oil permit fees. You can now apply and pay. Manitoba Fuel Permits.
From issuu.com
Temporary trip and fuel permits by Coast 2 Coast Trucking Permits Issuu Manitoba Fuel Permits Manitoba permit services issues permits for oversized and overweight vehicles in manitoba, winnipeg and brandon. Apply and pay online for permits to install new and replacement gas and oil burning equipment in manitoba. Register for a free account, submit. Learn how to apply for and access the online gas permits program in manitoba, which allows you to apply for and. Manitoba Fuel Permits.
From www.templateroller.com
Manitoba Canada Application for International Fuel Tax Agreement (Ifta Manitoba Fuel Permits Learn how to schedule an inspection appointment for your natural gas equipment and appliances through your online account or by phone. Find out how to apply. Register for a free account, submit. You can now apply and pay online for permits you require before you begin the work of installing new and replacement gas and. Learn how to apply for. Manitoba Fuel Permits.
From wcspermits.com
Manitoba Closed for Queen Elizabeth II Funeral WCS Permits Manitoba Fuel Permits You can now apply and pay online for permits you require before you begin the work of installing new and replacement gas and. You can now apply and pay online for permits you require before you begin the work of installing new and replacement gas and oil burning equipment. Find out the application process,. Register for a free account, submit.. Manitoba Fuel Permits.
From www.alliedpermits.com
Connecticut Fuel and Trip Permits Order Online Now Manitoba Fuel Permits You can now apply and pay online for permits you require before you begin the work of installing new and replacement gas and oil burning equipment. Apply online for over dimensional, overweight, fuel tax and temporary registration permits using mb mooves. Gas & oil permit fees. Learn how to schedule an inspection appointment for your natural gas equipment and appliances. Manitoba Fuel Permits.
From advancedbiofuels.ca
Analysis Of The Implications Of Canada’s Proposed Clean Fuel Standard Manitoba Fuel Permits Apply and pay online for permits to install new and replacement gas and oil burning equipment in manitoba. Find out how to apply. Find out the application process,. Apply online for over dimensional, overweight, fuel tax and temporary registration permits using mb mooves. Register for a free account, submit. You can now apply and pay online for permits you require. Manitoba Fuel Permits.
From advancedbiofuels.ca
Biofuels in Canada 2021 Advanced Biofuels Canada Manitoba Fuel Permits You can now apply and pay online for permits you require before you begin the work of installing new and replacement gas and. Learn how to obtain a permit before working on gas or oil installations, alterations or additions in manitoba. You can now apply and pay online for permits you require before you begin the work of installing new. Manitoba Fuel Permits.
From www.signnow.com
Manitoba Gas Permits 20152024 Form Fill Out and Sign Printable PDF Manitoba Fuel Permits Learn how to obtain a permit before working on gas or oil installations, alterations or additions in manitoba. Manitoba permit services issues permits for oversized and overweight vehicles in manitoba, winnipeg and brandon. Apply and pay online for permits to install new and replacement gas and oil burning equipment in manitoba. Find out the application process,. Apply online for over. Manitoba Fuel Permits.
From www.templateroller.com
Manitoba Canada Application for International Fuel Tax Agreement (Ifta Manitoba Fuel Permits You can now apply and pay online for permits you require before you begin the work of installing new and replacement gas and oil burning equipment. Learn how to apply for and access the online gas permits program in manitoba, which allows you to apply for and receive permits from the internet. Apply and pay online for permits to install. Manitoba Fuel Permits.
From www.traversing.ca
Vehicle Permits For Manitoba Parks Now Available For 2023 Season Manitoba Fuel Permits Apply online for over dimensional, overweight, fuel tax and temporary registration permits using mb mooves. You can now apply and pay online for permits you require before you begin the work of installing new and replacement gas and. You can now apply and pay online for permits you require before you begin the work of installing new and replacement gas. Manitoba Fuel Permits.
From www.pdffiller.com
Fillable Online Natural gas permits and inspections Manitoba Hydro Manitoba Fuel Permits Learn how to obtain a permit before working on gas or oil installations, alterations or additions in manitoba. Apply and pay online for permits to install new and replacement gas and oil burning equipment in manitoba. Find out how to apply. You can now apply and pay online for permits you require before you begin the work of installing new. Manitoba Fuel Permits.
From jjkellercompliancenetwork.com
Fuel/Mileage Tax Permits J. J. Keller® Compliance Network Manitoba Fuel Permits Apply and pay online for permits to install new and replacement gas and oil burning equipment in manitoba. Manitoba permit services issues permits for oversized and overweight vehicles in manitoba, winnipeg and brandon. Learn how to obtain a permit before working on gas or oil installations, alterations or additions in manitoba. Apply online for over dimensional, overweight, fuel tax and. Manitoba Fuel Permits.
From www.yumpu.com
International Fuel Tax Agreement (IFTA) Government of Manitoba Manitoba Fuel Permits Register for a free account, submit. Find out how to apply. You can now apply and pay online for permits you require before you begin the work of installing new and replacement gas and. Learn how to schedule an inspection appointment for your natural gas equipment and appliances through your online account or by phone. Learn how to apply for. Manitoba Fuel Permits.
From efficiencymb.ca
CONSULTEZ D’ABORD EFFICACITÉ MANITOBA — Efficiency Manitoba Manitoba Fuel Permits Learn how to obtain a permit before working on gas or oil installations, alterations or additions in manitoba. Apply online for over dimensional, overweight, fuel tax and temporary registration permits using mb mooves. You can now apply and pay online for permits you require before you begin the work of installing new and replacement gas and oil burning equipment. Learn. Manitoba Fuel Permits.
From www.templateroller.com
Manitoba Canada International Fuel Tax Agreement (Ifta) Application for Manitoba Fuel Permits Manitoba permit services issues permits for oversized and overweight vehicles in manitoba, winnipeg and brandon. Find out the application process,. Learn how to schedule an inspection appointment for your natural gas equipment and appliances through your online account or by phone. You can now apply and pay online for permits you require before you begin the work of installing new. Manitoba Fuel Permits.
From www.brooklinenh.us
Permits Brookline NH Manitoba Fuel Permits Manitoba permit services issues permits for oversized and overweight vehicles in manitoba, winnipeg and brandon. Learn how to schedule an inspection appointment for your natural gas equipment and appliances through your online account or by phone. Gas & oil permit fees. Register for a free account, submit. Find out how to apply. You can now apply and pay online for. Manitoba Fuel Permits.
From www.templateroller.com
Manitoba Canada Application for International Fuel Tax Agreement (Ifta Manitoba Fuel Permits Gas & oil permit fees. Apply and pay online for permits to install new and replacement gas and oil burning equipment in manitoba. Learn how to apply for and access the online gas permits program in manitoba, which allows you to apply for and receive permits from the internet. You can now apply and pay online for permits you require. Manitoba Fuel Permits.
From aeroxplorer.com
Canada to Build CA1.9 Billion Sustainable Aviation Fuel Facility in Manitoba Fuel Permits Register for a free account, submit. You can now apply and pay online for permits you require before you begin the work of installing new and replacement gas and. Learn how to apply for and access the online gas permits program in manitoba, which allows you to apply for and receive permits from the internet. Apply and pay online for. Manitoba Fuel Permits.
From www.jjkeller.com
Trip & Fuel Permit Tips Motor Carrier Safety Poster Manitoba Fuel Permits Learn how to obtain a permit before working on gas or oil installations, alterations or additions in manitoba. Learn how to apply for and access the online gas permits program in manitoba, which allows you to apply for and receive permits from the internet. Learn how to schedule an inspection appointment for your natural gas equipment and appliances through your. Manitoba Fuel Permits.
From www.manitobahomebuyers.ca
An Overview of Your Winnipeg Home Selling Options Manitoba Home Buyers Manitoba Fuel Permits Find out how to apply. Apply online for over dimensional, overweight, fuel tax and temporary registration permits using mb mooves. You can now apply and pay online for permits you require before you begin the work of installing new and replacement gas and oil burning equipment. Learn how to apply for and access the online gas permits program in manitoba,. Manitoba Fuel Permits.
From www.traversing.ca
Vehicle Permits For Manitoba Parks Now Available For 2023 Season Manitoba Fuel Permits Manitoba permit services issues permits for oversized and overweight vehicles in manitoba, winnipeg and brandon. Register for a free account, submit. Find out the application process,. Learn how to obtain a permit before working on gas or oil installations, alterations or additions in manitoba. You can now apply and pay online for permits you require before you begin the work. Manitoba Fuel Permits.
From www.permitscanada.com
Temporary Trip & Fuel Permits Permits Canada Manitoba Fuel Permits Apply online for over dimensional, overweight, fuel tax and temporary registration permits using mb mooves. You can now apply and pay online for permits you require before you begin the work of installing new and replacement gas and. Learn how to obtain a permit before working on gas or oil installations, alterations or additions in manitoba. Manitoba permit services issues. Manitoba Fuel Permits.
From www.cpac.ca
Fed. Govt Announces Support for Manitoba Sustainable Aviation Fuel Manitoba Fuel Permits You can now apply and pay online for permits you require before you begin the work of installing new and replacement gas and. You can now apply and pay online for permits you require before you begin the work of installing new and replacement gas and oil burning equipment. Learn how to schedule an inspection appointment for your natural gas. Manitoba Fuel Permits.
From coast2coasttruckingpermits.com
Temporary Fuel Permitting Services Coast 2 Coast Trucking Permits Manitoba Fuel Permits Apply and pay online for permits to install new and replacement gas and oil burning equipment in manitoba. You can now apply and pay online for permits you require before you begin the work of installing new and replacement gas and. Find out how to apply. Register for a free account, submit. You can now apply and pay online for. Manitoba Fuel Permits.
From medium.com
Canada Manitoba province driver’s permit template in PSD format, fully Manitoba Fuel Permits Apply and pay online for permits to install new and replacement gas and oil burning equipment in manitoba. Find out how to apply. Gas & oil permit fees. You can now apply and pay online for permits you require before you begin the work of installing new and replacement gas and. Find out the application process,. Manitoba permit services issues. Manitoba Fuel Permits.
From www.templateroller.com
Manitoba Canada Application for International Fuel Tax Agreement (Ifta Manitoba Fuel Permits Register for a free account, submit. Learn how to schedule an inspection appointment for your natural gas equipment and appliances through your online account or by phone. Find out how to apply. You can now apply and pay online for permits you require before you begin the work of installing new and replacement gas and oil burning equipment. Learn how. Manitoba Fuel Permits.
From pipelineonline.ca
Manitoba introduces bill to temporarily lift provincial tax on fuel Manitoba Fuel Permits Learn how to obtain a permit before working on gas or oil installations, alterations or additions in manitoba. Find out the application process,. You can now apply and pay online for permits you require before you begin the work of installing new and replacement gas and. Apply online for over dimensional, overweight, fuel tax and temporary registration permits using mb. Manitoba Fuel Permits.
From www.signnow.com
Manitoba Hydro Permits 20102024 Form Fill Out and Sign Printable PDF Manitoba Fuel Permits Gas & oil permit fees. Learn how to obtain a permit before working on gas or oil installations, alterations or additions in manitoba. Find out the application process,. Learn how to apply for and access the online gas permits program in manitoba, which allows you to apply for and receive permits from the internet. You can now apply and pay. Manitoba Fuel Permits.
From www.templateroller.com
Forme MB25 Fill Out, Sign Online and Download Fillable PDF, Manitoba Manitoba Fuel Permits You can now apply and pay online for permits you require before you begin the work of installing new and replacement gas and. Find out the application process,. Learn how to apply for and access the online gas permits program in manitoba, which allows you to apply for and receive permits from the internet. Learn how to obtain a permit. Manitoba Fuel Permits.
From globalfuels.ca
Manitoba Global Fuels Manitoba Fuel Permits Manitoba permit services issues permits for oversized and overweight vehicles in manitoba, winnipeg and brandon. You can now apply and pay online for permits you require before you begin the work of installing new and replacement gas and oil burning equipment. Learn how to obtain a permit before working on gas or oil installations, alterations or additions in manitoba. Apply. Manitoba Fuel Permits.
From hartzimmigration.ca
Permits Hartz Immigration Manitoba Fuel Permits Find out the application process,. Apply online for over dimensional, overweight, fuel tax and temporary registration permits using mb mooves. You can now apply and pay online for permits you require before you begin the work of installing new and replacement gas and. Learn how to schedule an inspection appointment for your natural gas equipment and appliances through your online. Manitoba Fuel Permits.
From www.swanvalleyco-op.crs
Manitoba Fuel Regulations Swan Valley Coop Manitoba Fuel Permits You can now apply and pay online for permits you require before you begin the work of installing new and replacement gas and. Learn how to apply for and access the online gas permits program in manitoba, which allows you to apply for and receive permits from the internet. You can now apply and pay online for permits you require. Manitoba Fuel Permits.
From vimeo.com
Ordering Trip & Fuel Permits from Comdata Permit Services on Vimeo Manitoba Fuel Permits You can now apply and pay online for permits you require before you begin the work of installing new and replacement gas and. Learn how to apply for and access the online gas permits program in manitoba, which allows you to apply for and receive permits from the internet. You can now apply and pay online for permits you require. Manitoba Fuel Permits.
From advancedbiofuels.ca
Climate Change Central Industry Review Fleet Operability in BC and Manitoba Fuel Permits You can now apply and pay online for permits you require before you begin the work of installing new and replacement gas and. Find out how to apply. Register for a free account, submit. You can now apply and pay online for permits you require before you begin the work of installing new and replacement gas and oil burning equipment.. Manitoba Fuel Permits.
From almcvicarfarmservices.ca
Manitoba Fuel Tank Regulations How This Affects Businesses and Farms Manitoba Fuel Permits You can now apply and pay online for permits you require before you begin the work of installing new and replacement gas and. Find out how to apply. Learn how to apply for and access the online gas permits program in manitoba, which allows you to apply for and receive permits from the internet. Learn how to schedule an inspection. Manitoba Fuel Permits.