Standard Enthalpy Of Formation C2H5Oh . The boldfaced values are the coefficients and the other ones are the standard enthalpy of formation for the four substances involved. The standard enthalpy of formation of any element in its standard state is zero by definition. The standard enthalpy of formation, \(δh^\circ_\ce{f}\), is the enthalpy change accompanying the formation of 1 mole of a. Definition and explanation of the terms standard state and standard enthalpy of formation, with listing of values for standard enthalpy and. The equation shows the formation of one mole of ethanol, c2h5oh, from its constituent elements. The standard enthalpy of formation is a measure of the energy released or consumed when one mole of a substance is created under standard. For example, although oxygen can exist as ozone (o 3 ), atomic oxygen. 193 rows in chemistry and thermodynamics, the standard enthalpy of formation or standard heat of formation of a compound is the change of.
from www.youtube.com
The standard enthalpy of formation of any element in its standard state is zero by definition. For example, although oxygen can exist as ozone (o 3 ), atomic oxygen. 193 rows in chemistry and thermodynamics, the standard enthalpy of formation or standard heat of formation of a compound is the change of. The equation shows the formation of one mole of ethanol, c2h5oh, from its constituent elements. The standard enthalpy of formation is a measure of the energy released or consumed when one mole of a substance is created under standard. The standard enthalpy of formation, \(δh^\circ_\ce{f}\), is the enthalpy change accompanying the formation of 1 mole of a. Definition and explanation of the terms standard state and standard enthalpy of formation, with listing of values for standard enthalpy and. The boldfaced values are the coefficients and the other ones are the standard enthalpy of formation for the four substances involved.
Enthalpies of Formation Chemsitry Tutorial YouTube
Standard Enthalpy Of Formation C2H5Oh The boldfaced values are the coefficients and the other ones are the standard enthalpy of formation for the four substances involved. For example, although oxygen can exist as ozone (o 3 ), atomic oxygen. Definition and explanation of the terms standard state and standard enthalpy of formation, with listing of values for standard enthalpy and. The standard enthalpy of formation, \(δh^\circ_\ce{f}\), is the enthalpy change accompanying the formation of 1 mole of a. The standard enthalpy of formation is a measure of the energy released or consumed when one mole of a substance is created under standard. 193 rows in chemistry and thermodynamics, the standard enthalpy of formation or standard heat of formation of a compound is the change of. The equation shows the formation of one mole of ethanol, c2h5oh, from its constituent elements. The standard enthalpy of formation of any element in its standard state is zero by definition. The boldfaced values are the coefficients and the other ones are the standard enthalpy of formation for the four substances involved.
From www.slideserve.com
PPT Enthalpy of Formation PowerPoint Presentation, free download ID6642303 Standard Enthalpy Of Formation C2H5Oh For example, although oxygen can exist as ozone (o 3 ), atomic oxygen. The boldfaced values are the coefficients and the other ones are the standard enthalpy of formation for the four substances involved. 193 rows in chemistry and thermodynamics, the standard enthalpy of formation or standard heat of formation of a compound is the change of. The standard enthalpy. Standard Enthalpy Of Formation C2H5Oh.
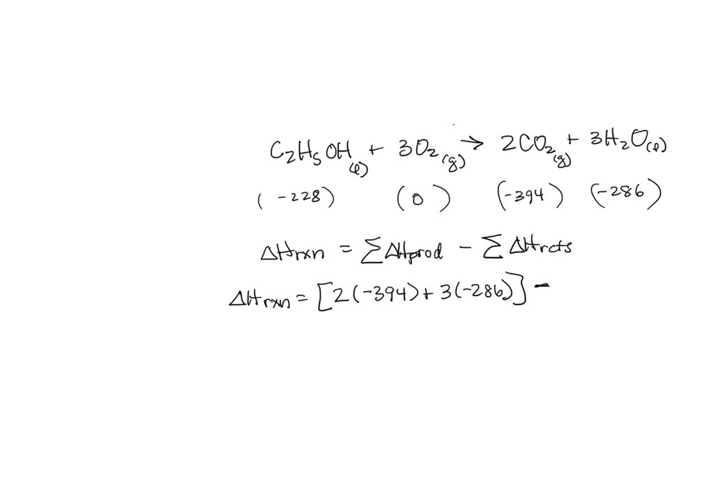
From byjus.com
Calculate standard heat of combustion of ethanol(C2H5OH(I)). Given that A,H (C2H5OH, I) 278 kJ Standard Enthalpy Of Formation C2H5Oh Definition and explanation of the terms standard state and standard enthalpy of formation, with listing of values for standard enthalpy and. The boldfaced values are the coefficients and the other ones are the standard enthalpy of formation for the four substances involved. The standard enthalpy of formation of any element in its standard state is zero by definition. The equation. Standard Enthalpy Of Formation C2H5Oh.
From lessonluft.z19.web.core.windows.net
Heat Of Formation Chart Standard Enthalpy Of Formation C2H5Oh For example, although oxygen can exist as ozone (o 3 ), atomic oxygen. The equation shows the formation of one mole of ethanol, c2h5oh, from its constituent elements. The boldfaced values are the coefficients and the other ones are the standard enthalpy of formation for the four substances involved. The standard enthalpy of formation is a measure of the energy. Standard Enthalpy Of Formation C2H5Oh.
From www.youtube.com
Enthalpies of Formation Chemsitry Tutorial YouTube Standard Enthalpy Of Formation C2H5Oh The standard enthalpy of formation of any element in its standard state is zero by definition. 193 rows in chemistry and thermodynamics, the standard enthalpy of formation or standard heat of formation of a compound is the change of. The equation shows the formation of one mole of ethanol, c2h5oh, from its constituent elements. The standard enthalpy of formation, \(δh^\circ_\ce{f}\),. Standard Enthalpy Of Formation C2H5Oh.
From slideplayer.com
Topic 9 Thermochemistry. ppt video online download Standard Enthalpy Of Formation C2H5Oh The equation shows the formation of one mole of ethanol, c2h5oh, from its constituent elements. For example, although oxygen can exist as ozone (o 3 ), atomic oxygen. 193 rows in chemistry and thermodynamics, the standard enthalpy of formation or standard heat of formation of a compound is the change of. The standard enthalpy of formation, \(δh^\circ_\ce{f}\), is the enthalpy. Standard Enthalpy Of Formation C2H5Oh.
From slideplayer.com
Thermochemistry Chapter 6 ppt download Standard Enthalpy Of Formation C2H5Oh 193 rows in chemistry and thermodynamics, the standard enthalpy of formation or standard heat of formation of a compound is the change of. The boldfaced values are the coefficients and the other ones are the standard enthalpy of formation for the four substances involved. For example, although oxygen can exist as ozone (o 3 ), atomic oxygen. Definition and explanation. Standard Enthalpy Of Formation C2H5Oh.
From www.numerade.com
SOLVED 'The following problems deal with standard enthalpy of formation and standard enthalpy Standard Enthalpy Of Formation C2H5Oh The standard enthalpy of formation, \(δh^\circ_\ce{f}\), is the enthalpy change accompanying the formation of 1 mole of a. 193 rows in chemistry and thermodynamics, the standard enthalpy of formation or standard heat of formation of a compound is the change of. Definition and explanation of the terms standard state and standard enthalpy of formation, with listing of values for standard. Standard Enthalpy Of Formation C2H5Oh.
From www.chegg.com
Solved The enthalpy of formation for C2H5OH is −277.0 kJ. Standard Enthalpy Of Formation C2H5Oh The equation shows the formation of one mole of ethanol, c2h5oh, from its constituent elements. 193 rows in chemistry and thermodynamics, the standard enthalpy of formation or standard heat of formation of a compound is the change of. Definition and explanation of the terms standard state and standard enthalpy of formation, with listing of values for standard enthalpy and. The. Standard Enthalpy Of Formation C2H5Oh.
From www.numerade.com
SOLVED Using the enthalpies of formation listed below, calculate the enthalpy change for the Standard Enthalpy Of Formation C2H5Oh 193 rows in chemistry and thermodynamics, the standard enthalpy of formation or standard heat of formation of a compound is the change of. Definition and explanation of the terms standard state and standard enthalpy of formation, with listing of values for standard enthalpy and. For example, although oxygen can exist as ozone (o 3 ), atomic oxygen. The standard enthalpy. Standard Enthalpy Of Formation C2H5Oh.
From www.numerade.com
SOLVED Consider the reaction for the combustion of ethanol C2H5OH(l) + 3O2(g) ⟶ 3H2O(l Standard Enthalpy Of Formation C2H5Oh The standard enthalpy of formation, \(δh^\circ_\ce{f}\), is the enthalpy change accompanying the formation of 1 mole of a. 193 rows in chemistry and thermodynamics, the standard enthalpy of formation or standard heat of formation of a compound is the change of. Definition and explanation of the terms standard state and standard enthalpy of formation, with listing of values for standard. Standard Enthalpy Of Formation C2H5Oh.
From www.numerade.com
Ethanol is being promoted as a renewable biofuel. Use the standard enthalpies of formation below Standard Enthalpy Of Formation C2H5Oh The boldfaced values are the coefficients and the other ones are the standard enthalpy of formation for the four substances involved. The standard enthalpy of formation of any element in its standard state is zero by definition. The equation shows the formation of one mole of ethanol, c2h5oh, from its constituent elements. Definition and explanation of the terms standard state. Standard Enthalpy Of Formation C2H5Oh.
From www.chegg.com
Solved b Ethanol (C2H5OH) has also been proposed as an Standard Enthalpy Of Formation C2H5Oh The equation shows the formation of one mole of ethanol, c2h5oh, from its constituent elements. The standard enthalpy of formation of any element in its standard state is zero by definition. The standard enthalpy of formation, \(δh^\circ_\ce{f}\), is the enthalpy change accompanying the formation of 1 mole of a. The boldfaced values are the coefficients and the other ones are. Standard Enthalpy Of Formation C2H5Oh.
From general.chemistrysteps.com
Standard Enthalpies of Formation Chemistry Steps Standard Enthalpy Of Formation C2H5Oh The equation shows the formation of one mole of ethanol, c2h5oh, from its constituent elements. For example, although oxygen can exist as ozone (o 3 ), atomic oxygen. The standard enthalpy of formation of any element in its standard state is zero by definition. 193 rows in chemistry and thermodynamics, the standard enthalpy of formation or standard heat of formation. Standard Enthalpy Of Formation C2H5Oh.
From slideplayer.com
IB Topics 5 & 15 PART 3 Energy Cycles ppt download Standard Enthalpy Of Formation C2H5Oh The equation shows the formation of one mole of ethanol, c2h5oh, from its constituent elements. 193 rows in chemistry and thermodynamics, the standard enthalpy of formation or standard heat of formation of a compound is the change of. The standard enthalpy of formation of any element in its standard state is zero by definition. The boldfaced values are the coefficients. Standard Enthalpy Of Formation C2H5Oh.
From www.numerade.com
SOLVED Draw all the resonance forms for sulfur trioxide (SO3). Determine the enthalpy change in Standard Enthalpy Of Formation C2H5Oh The equation shows the formation of one mole of ethanol, c2h5oh, from its constituent elements. 193 rows in chemistry and thermodynamics, the standard enthalpy of formation or standard heat of formation of a compound is the change of. For example, although oxygen can exist as ozone (o 3 ), atomic oxygen. Definition and explanation of the terms standard state and. Standard Enthalpy Of Formation C2H5Oh.
From www.slideserve.com
PPT Example using enthalpy of combustion and formation PowerPoint Presentation ID3480655 Standard Enthalpy Of Formation C2H5Oh The standard enthalpy of formation of any element in its standard state is zero by definition. 193 rows in chemistry and thermodynamics, the standard enthalpy of formation or standard heat of formation of a compound is the change of. The boldfaced values are the coefficients and the other ones are the standard enthalpy of formation for the four substances involved.. Standard Enthalpy Of Formation C2H5Oh.
From www.slideserve.com
PPT Standard Enthalpies of Formation PowerPoint Presentation, free download ID4097208 Standard Enthalpy Of Formation C2H5Oh The standard enthalpy of formation of any element in its standard state is zero by definition. The boldfaced values are the coefficients and the other ones are the standard enthalpy of formation for the four substances involved. The standard enthalpy of formation is a measure of the energy released or consumed when one mole of a substance is created under. Standard Enthalpy Of Formation C2H5Oh.
From www.toppr.com
The enthalpy of formation of C2H5OH (I) is 66 Kcal/mol . The enthalpy of combustion of CH^3 Standard Enthalpy Of Formation C2H5Oh The standard enthalpy of formation is a measure of the energy released or consumed when one mole of a substance is created under standard. Definition and explanation of the terms standard state and standard enthalpy of formation, with listing of values for standard enthalpy and. For example, although oxygen can exist as ozone (o 3 ), atomic oxygen. 193 rows. Standard Enthalpy Of Formation C2H5Oh.
From www.slideserve.com
PPT 2.9 JouleThomson experiments PowerPoint Presentation, free download ID6987715 Standard Enthalpy Of Formation C2H5Oh The equation shows the formation of one mole of ethanol, c2h5oh, from its constituent elements. The standard enthalpy of formation of any element in its standard state is zero by definition. 193 rows in chemistry and thermodynamics, the standard enthalpy of formation or standard heat of formation of a compound is the change of. Definition and explanation of the terms. Standard Enthalpy Of Formation C2H5Oh.
From slideplayer.com
Chapter 2 The First Law. ppt download Standard Enthalpy Of Formation C2H5Oh 193 rows in chemistry and thermodynamics, the standard enthalpy of formation or standard heat of formation of a compound is the change of. The equation shows the formation of one mole of ethanol, c2h5oh, from its constituent elements. The standard enthalpy of formation of any element in its standard state is zero by definition. The standard enthalpy of formation is. Standard Enthalpy Of Formation C2H5Oh.
From www.chegg.com
Solved Use The Standard Enthalpies Of Formation In The Ta... Standard Enthalpy Of Formation C2H5Oh The standard enthalpy of formation of any element in its standard state is zero by definition. The boldfaced values are the coefficients and the other ones are the standard enthalpy of formation for the four substances involved. Definition and explanation of the terms standard state and standard enthalpy of formation, with listing of values for standard enthalpy and. 193 rows. Standard Enthalpy Of Formation C2H5Oh.
From www.numerade.com
SOLVED Calculate the heat of combustion for the following reaction from the standard enthalpies Standard Enthalpy Of Formation C2H5Oh Definition and explanation of the terms standard state and standard enthalpy of formation, with listing of values for standard enthalpy and. The boldfaced values are the coefficients and the other ones are the standard enthalpy of formation for the four substances involved. 193 rows in chemistry and thermodynamics, the standard enthalpy of formation or standard heat of formation of a. Standard Enthalpy Of Formation C2H5Oh.
From www.slideserve.com
PPT Enthalpy of Formation PowerPoint Presentation, free download ID6642303 Standard Enthalpy Of Formation C2H5Oh The standard enthalpy of formation is a measure of the energy released or consumed when one mole of a substance is created under standard. Definition and explanation of the terms standard state and standard enthalpy of formation, with listing of values for standard enthalpy and. The equation shows the formation of one mole of ethanol, c2h5oh, from its constituent elements.. Standard Enthalpy Of Formation C2H5Oh.
From www.numerade.com
SOLVED The enthalpy formation of ethanol, C2H5OH, is 277.0 kJ/mol 298.15 K. Calculate the Standard Enthalpy Of Formation C2H5Oh The boldfaced values are the coefficients and the other ones are the standard enthalpy of formation for the four substances involved. For example, although oxygen can exist as ozone (o 3 ), atomic oxygen. The standard enthalpy of formation is a measure of the energy released or consumed when one mole of a substance is created under standard. The standard. Standard Enthalpy Of Formation C2H5Oh.
From www.bartleby.com
Answered Using the standard molar enthalpies of… bartleby Standard Enthalpy Of Formation C2H5Oh For example, although oxygen can exist as ozone (o 3 ), atomic oxygen. The boldfaced values are the coefficients and the other ones are the standard enthalpy of formation for the four substances involved. The standard enthalpy of formation is a measure of the energy released or consumed when one mole of a substance is created under standard. 193 rows. Standard Enthalpy Of Formation C2H5Oh.
From slideplayer.com
How do we find the enthalpy of… ppt download Standard Enthalpy Of Formation C2H5Oh The standard enthalpy of formation, \(δh^\circ_\ce{f}\), is the enthalpy change accompanying the formation of 1 mole of a. 193 rows in chemistry and thermodynamics, the standard enthalpy of formation or standard heat of formation of a compound is the change of. Definition and explanation of the terms standard state and standard enthalpy of formation, with listing of values for standard. Standard Enthalpy Of Formation C2H5Oh.
From www.chegg.com
Solved Determine the standard enthalpy of formation of Standard Enthalpy Of Formation C2H5Oh The standard enthalpy of formation is a measure of the energy released or consumed when one mole of a substance is created under standard. The boldfaced values are the coefficients and the other ones are the standard enthalpy of formation for the four substances involved. The standard enthalpy of formation, \(δh^\circ_\ce{f}\), is the enthalpy change accompanying the formation of 1. Standard Enthalpy Of Formation C2H5Oh.
From www.numerade.com
SOLVED a) Write a balanced chemical equation for the standard enthalpy of formation of liquid Standard Enthalpy Of Formation C2H5Oh For example, although oxygen can exist as ozone (o 3 ), atomic oxygen. The standard enthalpy of formation of any element in its standard state is zero by definition. The standard enthalpy of formation is a measure of the energy released or consumed when one mole of a substance is created under standard. The boldfaced values are the coefficients and. Standard Enthalpy Of Formation C2H5Oh.
From classnotes.org.in
Enthalpies Of Reaction Chemistry, Class 11, Thermodynamics Standard Enthalpy Of Formation C2H5Oh The standard enthalpy of formation is a measure of the energy released or consumed when one mole of a substance is created under standard. The standard enthalpy of formation, \(δh^\circ_\ce{f}\), is the enthalpy change accompanying the formation of 1 mole of a. The boldfaced values are the coefficients and the other ones are the standard enthalpy of formation for the. Standard Enthalpy Of Formation C2H5Oh.
From www.numerade.com
SOLVED Ethanol being promoted as a renewable biofuel. We use standard enthalpies of formation Standard Enthalpy Of Formation C2H5Oh The equation shows the formation of one mole of ethanol, c2h5oh, from its constituent elements. The standard enthalpy of formation, \(δh^\circ_\ce{f}\), is the enthalpy change accompanying the formation of 1 mole of a. The standard enthalpy of formation is a measure of the energy released or consumed when one mole of a substance is created under standard. The boldfaced values. Standard Enthalpy Of Formation C2H5Oh.
From www.numerade.com
SOLVED Using the standard enthalpies of formation found in the textbook, determine the enthalpy Standard Enthalpy Of Formation C2H5Oh The equation shows the formation of one mole of ethanol, c2h5oh, from its constituent elements. The standard enthalpy of formation, \(δh^\circ_\ce{f}\), is the enthalpy change accompanying the formation of 1 mole of a. The boldfaced values are the coefficients and the other ones are the standard enthalpy of formation for the four substances involved. The standard enthalpy of formation is. Standard Enthalpy Of Formation C2H5Oh.
From www.numerade.com
SOLVED Using the table of standard formation enthalpies that you'll find under the ALEKS Data Standard Enthalpy Of Formation C2H5Oh For example, although oxygen can exist as ozone (o 3 ), atomic oxygen. The standard enthalpy of formation of any element in its standard state is zero by definition. The standard enthalpy of formation, \(δh^\circ_\ce{f}\), is the enthalpy change accompanying the formation of 1 mole of a. The equation shows the formation of one mole of ethanol, c2h5oh, from its. Standard Enthalpy Of Formation C2H5Oh.
From www.numerade.com
SOLVED Standard enthalpies of formation are obtained from thermodynamic tables as C2H5OH(l Standard Enthalpy Of Formation C2H5Oh The boldfaced values are the coefficients and the other ones are the standard enthalpy of formation for the four substances involved. Definition and explanation of the terms standard state and standard enthalpy of formation, with listing of values for standard enthalpy and. The equation shows the formation of one mole of ethanol, c2h5oh, from its constituent elements. The standard enthalpy. Standard Enthalpy Of Formation C2H5Oh.
From slideplayer.com
Thermodynamics Change in Enthalpy, H ppt download Standard Enthalpy Of Formation C2H5Oh The standard enthalpy of formation is a measure of the energy released or consumed when one mole of a substance is created under standard. The equation shows the formation of one mole of ethanol, c2h5oh, from its constituent elements. For example, although oxygen can exist as ozone (o 3 ), atomic oxygen. 193 rows in chemistry and thermodynamics, the standard. Standard Enthalpy Of Formation C2H5Oh.
From www.youtube.com
the enthalpy of formation of C2H5OH, CO2 and H2O are 277 3 93.5 and 2 85.8 kJ/mol Standard Enthalpy Of Formation C2H5Oh Definition and explanation of the terms standard state and standard enthalpy of formation, with listing of values for standard enthalpy and. The equation shows the formation of one mole of ethanol, c2h5oh, from its constituent elements. The standard enthalpy of formation is a measure of the energy released or consumed when one mole of a substance is created under standard.. Standard Enthalpy Of Formation C2H5Oh.