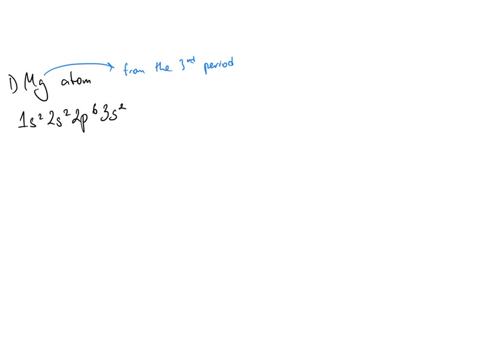
Magnesium Electron Configuration Noble Gas . Magnesium in period 3, so. 119 rows to save room, the configurations are in noble gas shorthand. The inner electron shells of mg2+ have the same configuration as the noble gas neon, which provides stability. The electron configuration of magnesium refers to the arrangement of electrons in the magnesium. 119 rows electron configuration of magnesium (mg) [ne] 3s 2 1s 2 2s 2 2p 6 3s 2 2, 8, 2 13 It has two more protons (and two more electrons) than neon. This indicates that magnesium has the same electron configuration. The noble gas configuration of magnesium is [ne] 3s^2. Property get [map mindtouch.deki.logic.extensionprocessorqueryprovider+<>c__displayclass230_0.b__1] (), 01:_introduction_to_chemistry : This means part of the electron configuration has been replaced with the element symbol of the noble gas symbol. The outermost shell, or valency shell, is. The s orbitals fill first.
from www.animalia-life.club
The s orbitals fill first. It has two more protons (and two more electrons) than neon. 119 rows to save room, the configurations are in noble gas shorthand. This indicates that magnesium has the same electron configuration. The electron configuration of magnesium refers to the arrangement of electrons in the magnesium. The outermost shell, or valency shell, is. Magnesium in period 3, so. The noble gas configuration of magnesium is [ne] 3s^2. This means part of the electron configuration has been replaced with the element symbol of the noble gas symbol. The inner electron shells of mg2+ have the same configuration as the noble gas neon, which provides stability.
Magnesium Electron Configuration
Magnesium Electron Configuration Noble Gas The inner electron shells of mg2+ have the same configuration as the noble gas neon, which provides stability. Property get [map mindtouch.deki.logic.extensionprocessorqueryprovider+<>c__displayclass230_0.b__1] (), 01:_introduction_to_chemistry : The outermost shell, or valency shell, is. This means part of the electron configuration has been replaced with the element symbol of the noble gas symbol. The s orbitals fill first. 119 rows to save room, the configurations are in noble gas shorthand. This indicates that magnesium has the same electron configuration. The inner electron shells of mg2+ have the same configuration as the noble gas neon, which provides stability. The noble gas configuration of magnesium is [ne] 3s^2. Magnesium in period 3, so. 119 rows electron configuration of magnesium (mg) [ne] 3s 2 1s 2 2s 2 2p 6 3s 2 2, 8, 2 13 The electron configuration of magnesium refers to the arrangement of electrons in the magnesium. It has two more protons (and two more electrons) than neon.
From www.alamy.com
Magnesium atom diagram concept Stock Vector Image & Art Alamy Magnesium Electron Configuration Noble Gas It has two more protons (and two more electrons) than neon. This indicates that magnesium has the same electron configuration. 119 rows to save room, the configurations are in noble gas shorthand. The electron configuration of magnesium refers to the arrangement of electrons in the magnesium. The outermost shell, or valency shell, is. Magnesium in period 3, so. The s. Magnesium Electron Configuration Noble Gas.
From commons.wikimedia.org
FileElectron shell 012 magnesium.png Magnesium Electron Configuration Noble Gas The electron configuration of magnesium refers to the arrangement of electrons in the magnesium. The noble gas configuration of magnesium is [ne] 3s^2. The inner electron shells of mg2+ have the same configuration as the noble gas neon, which provides stability. The s orbitals fill first. This means part of the electron configuration has been replaced with the element symbol. Magnesium Electron Configuration Noble Gas.
From oneclass.com
OneClass Part B What noble gas has the same electron configuration as Magnesium Electron Configuration Noble Gas Property get [map mindtouch.deki.logic.extensionprocessorqueryprovider+<>c__displayclass230_0.b__1] (), 01:_introduction_to_chemistry : The outermost shell, or valency shell, is. The s orbitals fill first. This means part of the electron configuration has been replaced with the element symbol of the noble gas symbol. The inner electron shells of mg2+ have the same configuration as the noble gas neon, which provides stability. The electron configuration of. Magnesium Electron Configuration Noble Gas.
From valenceelectrons.com
Electron Configuration for Magnesium(Mg, Mg2+ ion) Magnesium Electron Configuration Noble Gas The noble gas configuration of magnesium is [ne] 3s^2. The outermost shell, or valency shell, is. This means part of the electron configuration has been replaced with the element symbol of the noble gas symbol. The inner electron shells of mg2+ have the same configuration as the noble gas neon, which provides stability. It has two more protons (and two. Magnesium Electron Configuration Noble Gas.
From www.numerade.com
SOLVEDDepict the electron configuration for magnesium using an orbital Magnesium Electron Configuration Noble Gas Magnesium in period 3, so. The inner electron shells of mg2+ have the same configuration as the noble gas neon, which provides stability. The electron configuration of magnesium refers to the arrangement of electrons in the magnesium. Property get [map mindtouch.deki.logic.extensionprocessorqueryprovider+<>c__displayclass230_0.b__1] (), 01:_introduction_to_chemistry : It has two more protons (and two more electrons) than neon. 119 rows to save room,. Magnesium Electron Configuration Noble Gas.
From mungfali.com
Noble Gas Electron Configuration Chart Magnesium Electron Configuration Noble Gas The outermost shell, or valency shell, is. Property get [map mindtouch.deki.logic.extensionprocessorqueryprovider+<>c__displayclass230_0.b__1] (), 01:_introduction_to_chemistry : The s orbitals fill first. Magnesium in period 3, so. 119 rows electron configuration of magnesium (mg) [ne] 3s 2 1s 2 2s 2 2p 6 3s 2 2, 8, 2 13 This means part of the electron configuration has been replaced with the element symbol. Magnesium Electron Configuration Noble Gas.
From www.animalia-life.club
Magnesium Electron Configuration Magnesium Electron Configuration Noble Gas The outermost shell, or valency shell, is. The noble gas configuration of magnesium is [ne] 3s^2. 119 rows electron configuration of magnesium (mg) [ne] 3s 2 1s 2 2s 2 2p 6 3s 2 2, 8, 2 13 Property get [map mindtouch.deki.logic.extensionprocessorqueryprovider+<>c__displayclass230_0.b__1] (), 01:_introduction_to_chemistry : The s orbitals fill first. 119 rows to save room, the configurations are in noble. Magnesium Electron Configuration Noble Gas.
From www.youtube.com
Electrons in Atoms Lesson7 Noble Gas Configuration YouTube Magnesium Electron Configuration Noble Gas The inner electron shells of mg2+ have the same configuration as the noble gas neon, which provides stability. Magnesium in period 3, so. This indicates that magnesium has the same electron configuration. Property get [map mindtouch.deki.logic.extensionprocessorqueryprovider+<>c__displayclass230_0.b__1] (), 01:_introduction_to_chemistry : The outermost shell, or valency shell, is. The s orbitals fill first. It has two more protons (and two more electrons). Magnesium Electron Configuration Noble Gas.
From ar.inspiredpencil.com
Magnesium Electron Configuration Notation Magnesium Electron Configuration Noble Gas The outermost shell, or valency shell, is. The noble gas configuration of magnesium is [ne] 3s^2. This indicates that magnesium has the same electron configuration. The s orbitals fill first. Property get [map mindtouch.deki.logic.extensionprocessorqueryprovider+<>c__displayclass230_0.b__1] (), 01:_introduction_to_chemistry : 119 rows to save room, the configurations are in noble gas shorthand. The inner electron shells of mg2+ have the same configuration as. Magnesium Electron Configuration Noble Gas.
From www.newtondesk.com
magnesium electron configuration Newton Desk Magnesium Electron Configuration Noble Gas The inner electron shells of mg2+ have the same configuration as the noble gas neon, which provides stability. 119 rows to save room, the configurations are in noble gas shorthand. This means part of the electron configuration has been replaced with the element symbol of the noble gas symbol. Magnesium in period 3, so. This indicates that magnesium has the. Magnesium Electron Configuration Noble Gas.
From www.schoolmykids.com
Magnesium (Mg) Element Information, Facts, Properties, Uses Magnesium Electron Configuration Noble Gas The noble gas configuration of magnesium is [ne] 3s^2. The s orbitals fill first. This indicates that magnesium has the same electron configuration. 119 rows electron configuration of magnesium (mg) [ne] 3s 2 1s 2 2s 2 2p 6 3s 2 2, 8, 2 13 Property get [map mindtouch.deki.logic.extensionprocessorqueryprovider+<>c__displayclass230_0.b__1] (), 01:_introduction_to_chemistry : 119 rows to save room, the configurations are. Magnesium Electron Configuration Noble Gas.
From www.wikihow.com
How to Write a Noble Gas Configuration for Atoms of an Element Magnesium Electron Configuration Noble Gas Magnesium in period 3, so. Property get [map mindtouch.deki.logic.extensionprocessorqueryprovider+<>c__displayclass230_0.b__1] (), 01:_introduction_to_chemistry : The inner electron shells of mg2+ have the same configuration as the noble gas neon, which provides stability. 119 rows electron configuration of magnesium (mg) [ne] 3s 2 1s 2 2s 2 2p 6 3s 2 2, 8, 2 13 The electron configuration of magnesium refers to the. Magnesium Electron Configuration Noble Gas.
From mungfali.com
Noble Gas Electron Configuration Chart Magnesium Electron Configuration Noble Gas This means part of the electron configuration has been replaced with the element symbol of the noble gas symbol. It has two more protons (and two more electrons) than neon. The inner electron shells of mg2+ have the same configuration as the noble gas neon, which provides stability. 119 rows to save room, the configurations are in noble gas shorthand.. Magnesium Electron Configuration Noble Gas.
From dokumen.tips
(PPT) What is the electron configuration for Magnesium? What block Magnesium Electron Configuration Noble Gas The inner electron shells of mg2+ have the same configuration as the noble gas neon, which provides stability. The electron configuration of magnesium refers to the arrangement of electrons in the magnesium. The outermost shell, or valency shell, is. This indicates that magnesium has the same electron configuration. 119 rows to save room, the configurations are in noble gas shorthand.. Magnesium Electron Configuration Noble Gas.
From periodictable.me
Magnesium Electron Configuration (Mg) with Orbital Diagram Magnesium Electron Configuration Noble Gas The electron configuration of magnesium refers to the arrangement of electrons in the magnesium. This means part of the electron configuration has been replaced with the element symbol of the noble gas symbol. This indicates that magnesium has the same electron configuration. It has two more protons (and two more electrons) than neon. 119 rows electron configuration of magnesium (mg). Magnesium Electron Configuration Noble Gas.
From utedzz.blogspot.com
Periodic Table Magnesium Electron Configuration Periodic Table Timeline Magnesium Electron Configuration Noble Gas This means part of the electron configuration has been replaced with the element symbol of the noble gas symbol. The outermost shell, or valency shell, is. The noble gas configuration of magnesium is [ne] 3s^2. 119 rows to save room, the configurations are in noble gas shorthand. The inner electron shells of mg2+ have the same configuration as the noble. Magnesium Electron Configuration Noble Gas.
From www.wikihow.com
How to Write a Noble Gas Configuration for Atoms of an Element Magnesium Electron Configuration Noble Gas Property get [map mindtouch.deki.logic.extensionprocessorqueryprovider+<>c__displayclass230_0.b__1] (), 01:_introduction_to_chemistry : The s orbitals fill first. 119 rows electron configuration of magnesium (mg) [ne] 3s 2 1s 2 2s 2 2p 6 3s 2 2, 8, 2 13 This indicates that magnesium has the same electron configuration. The noble gas configuration of magnesium is [ne] 3s^2. This means part of the electron configuration has. Magnesium Electron Configuration Noble Gas.
From www.animalia-life.club
Magnesium Electron Configuration Magnesium Electron Configuration Noble Gas This indicates that magnesium has the same electron configuration. 119 rows electron configuration of magnesium (mg) [ne] 3s 2 1s 2 2s 2 2p 6 3s 2 2, 8, 2 13 The s orbitals fill first. The inner electron shells of mg2+ have the same configuration as the noble gas neon, which provides stability. This means part of the electron. Magnesium Electron Configuration Noble Gas.
From www.youtube.com
Magnesium Electron Configuration YouTube Magnesium Electron Configuration Noble Gas This indicates that magnesium has the same electron configuration. 119 rows electron configuration of magnesium (mg) [ne] 3s 2 1s 2 2s 2 2p 6 3s 2 2, 8, 2 13 The inner electron shells of mg2+ have the same configuration as the noble gas neon, which provides stability. The electron configuration of magnesium refers to the arrangement of electrons. Magnesium Electron Configuration Noble Gas.
From www.numerade.com
SOLVEDName the noble gas atom that has the same electron configuration Magnesium Electron Configuration Noble Gas Magnesium in period 3, so. The noble gas configuration of magnesium is [ne] 3s^2. This indicates that magnesium has the same electron configuration. This means part of the electron configuration has been replaced with the element symbol of the noble gas symbol. The outermost shell, or valency shell, is. The electron configuration of magnesium refers to the arrangement of electrons. Magnesium Electron Configuration Noble Gas.
From charlee-yersblogbarnes.blogspot.com
Atomic Mass of Magnesium Magnesium Electron Configuration Noble Gas Magnesium in period 3, so. 119 rows electron configuration of magnesium (mg) [ne] 3s 2 1s 2 2s 2 2p 6 3s 2 2, 8, 2 13 This indicates that magnesium has the same electron configuration. The outermost shell, or valency shell, is. The s orbitals fill first. The electron configuration of magnesium refers to the arrangement of electrons in. Magnesium Electron Configuration Noble Gas.
From guidemanualeruptivity.z14.web.core.windows.net
Magnesium Electron Configuration Diagram Magnesium Electron Configuration Noble Gas Property get [map mindtouch.deki.logic.extensionprocessorqueryprovider+<>c__displayclass230_0.b__1] (), 01:_introduction_to_chemistry : It has two more protons (and two more electrons) than neon. The outermost shell, or valency shell, is. Magnesium in period 3, so. This means part of the electron configuration has been replaced with the element symbol of the noble gas symbol. The inner electron shells of mg2+ have the same configuration as. Magnesium Electron Configuration Noble Gas.
From ar.inspiredpencil.com
Electron Configuration Of Magnesium Magnesium Electron Configuration Noble Gas The noble gas configuration of magnesium is [ne] 3s^2. The inner electron shells of mg2+ have the same configuration as the noble gas neon, which provides stability. The electron configuration of magnesium refers to the arrangement of electrons in the magnesium. Property get [map mindtouch.deki.logic.extensionprocessorqueryprovider+<>c__displayclass230_0.b__1] (), 01:_introduction_to_chemistry : This indicates that magnesium has the same electron configuration. 119 rows electron. Magnesium Electron Configuration Noble Gas.
From ceqepxdm.blob.core.windows.net
What Is The Valence Shell Electron Configuration Of Noble Gases at Magnesium Electron Configuration Noble Gas Property get [map mindtouch.deki.logic.extensionprocessorqueryprovider+<>c__displayclass230_0.b__1] (), 01:_introduction_to_chemistry : The noble gas configuration of magnesium is [ne] 3s^2. Magnesium in period 3, so. The inner electron shells of mg2+ have the same configuration as the noble gas neon, which provides stability. It has two more protons (and two more electrons) than neon. This indicates that magnesium has the same electron configuration. The. Magnesium Electron Configuration Noble Gas.
From www.youtube.com
Electron Configuration and Noble Gas Core Notation YouTube Magnesium Electron Configuration Noble Gas It has two more protons (and two more electrons) than neon. This means part of the electron configuration has been replaced with the element symbol of the noble gas symbol. The s orbitals fill first. 119 rows to save room, the configurations are in noble gas shorthand. The electron configuration of magnesium refers to the arrangement of electrons in the. Magnesium Electron Configuration Noble Gas.
From www.numerade.com
SOLVED Write the complete electron configuration for the magnesium Magnesium Electron Configuration Noble Gas 119 rows electron configuration of magnesium (mg) [ne] 3s 2 1s 2 2s 2 2p 6 3s 2 2, 8, 2 13 It has two more protons (and two more electrons) than neon. The noble gas configuration of magnesium is [ne] 3s^2. This means part of the electron configuration has been replaced with the element symbol of the noble gas. Magnesium Electron Configuration Noble Gas.
From slideplayer.com
Noble Gas Configuration ppt download Magnesium Electron Configuration Noble Gas The outermost shell, or valency shell, is. Magnesium in period 3, so. 119 rows electron configuration of magnesium (mg) [ne] 3s 2 1s 2 2s 2 2p 6 3s 2 2, 8, 2 13 The inner electron shells of mg2+ have the same configuration as the noble gas neon, which provides stability. The s orbitals fill first. 119 rows to. Magnesium Electron Configuration Noble Gas.
From www.vectorstock.com
Diagram representation of the element magnesium Vector Image Magnesium Electron Configuration Noble Gas The inner electron shells of mg2+ have the same configuration as the noble gas neon, which provides stability. 119 rows to save room, the configurations are in noble gas shorthand. This indicates that magnesium has the same electron configuration. 119 rows electron configuration of magnesium (mg) [ne] 3s 2 1s 2 2s 2 2p 6 3s 2 2, 8, 2. Magnesium Electron Configuration Noble Gas.
From www.showme.com
Noble Gas Electron Configurations Electron Configuration, High School Magnesium Electron Configuration Noble Gas Property get [map mindtouch.deki.logic.extensionprocessorqueryprovider+<>c__displayclass230_0.b__1] (), 01:_introduction_to_chemistry : 119 rows electron configuration of magnesium (mg) [ne] 3s 2 1s 2 2s 2 2p 6 3s 2 2, 8, 2 13 This indicates that magnesium has the same electron configuration. The outermost shell, or valency shell, is. The electron configuration of magnesium refers to the arrangement of electrons in the magnesium. The. Magnesium Electron Configuration Noble Gas.
From www.slideserve.com
PPT Achieving Noble Gas Electron Configuration & Bonding PowerPoint Magnesium Electron Configuration Noble Gas The s orbitals fill first. The inner electron shells of mg2+ have the same configuration as the noble gas neon, which provides stability. The outermost shell, or valency shell, is. The electron configuration of magnesium refers to the arrangement of electrons in the magnesium. 119 rows electron configuration of magnesium (mg) [ne] 3s 2 1s 2 2s 2 2p 6. Magnesium Electron Configuration Noble Gas.
From www.numerade.com
SOLVED Write the complete electron configuration for the magnesium Magnesium Electron Configuration Noble Gas It has two more protons (and two more electrons) than neon. The electron configuration of magnesium refers to the arrangement of electrons in the magnesium. The s orbitals fill first. The inner electron shells of mg2+ have the same configuration as the noble gas neon, which provides stability. 119 rows electron configuration of magnesium (mg) [ne] 3s 2 1s 2. Magnesium Electron Configuration Noble Gas.
From www.animalia-life.club
Magnesium Electron Configuration Magnesium Electron Configuration Noble Gas The noble gas configuration of magnesium is [ne] 3s^2. The outermost shell, or valency shell, is. The electron configuration of magnesium refers to the arrangement of electrons in the magnesium. 119 rows to save room, the configurations are in noble gas shorthand. This indicates that magnesium has the same electron configuration. The s orbitals fill first. It has two more. Magnesium Electron Configuration Noble Gas.
From www.wikihow.com
How to Write a Noble Gas Configuration for Atoms of an Element Magnesium Electron Configuration Noble Gas 119 rows to save room, the configurations are in noble gas shorthand. The noble gas configuration of magnesium is [ne] 3s^2. The electron configuration of magnesium refers to the arrangement of electrons in the magnesium. The inner electron shells of mg2+ have the same configuration as the noble gas neon, which provides stability. This means part of the electron configuration. Magnesium Electron Configuration Noble Gas.
From utedzz.blogspot.com
Periodic Table Magnesium Electron Configuration Periodic Table Timeline Magnesium Electron Configuration Noble Gas The noble gas configuration of magnesium is [ne] 3s^2. This indicates that magnesium has the same electron configuration. The outermost shell, or valency shell, is. The s orbitals fill first. 119 rows electron configuration of magnesium (mg) [ne] 3s 2 1s 2 2s 2 2p 6 3s 2 2, 8, 2 13 The inner electron shells of mg2+ have the. Magnesium Electron Configuration Noble Gas.
From www.sciencephoto.com
Magnesium, atomic structure Stock Image C018/3693 Science Photo Library Magnesium Electron Configuration Noble Gas This indicates that magnesium has the same electron configuration. Magnesium in period 3, so. It has two more protons (and two more electrons) than neon. Property get [map mindtouch.deki.logic.extensionprocessorqueryprovider+<>c__displayclass230_0.b__1] (), 01:_introduction_to_chemistry : The noble gas configuration of magnesium is [ne] 3s^2. The electron configuration of magnesium refers to the arrangement of electrons in the magnesium. 119 rows to save room,. Magnesium Electron Configuration Noble Gas.