Coins Record Player . A phonograph, later called a gramophone (as a trademark since 1887, as a generic name in the uk since 1910), and since the 1940s a record player, or more recently a turntable, is a device. Automatic record players activated by putting a coin in them were one of the earliest methods of making money from thomas edison's. The jukebox is able to find the correct record to play thanks to the record player mechanism which is located at the rear of the. This “penny on the record” action usually happens when the needle in the turntable is already damaged or has suffered some stress, causing it not to thread to the vinyl’s. At wurlitzer station in north tonawanda, new york, became in the era to come, the „golden age‟ of jukeboxes, a very important player with phonograph.
from www.pinterest.com
The jukebox is able to find the correct record to play thanks to the record player mechanism which is located at the rear of the. A phonograph, later called a gramophone (as a trademark since 1887, as a generic name in the uk since 1910), and since the 1940s a record player, or more recently a turntable, is a device. Automatic record players activated by putting a coin in them were one of the earliest methods of making money from thomas edison's. This “penny on the record” action usually happens when the needle in the turntable is already damaged or has suffered some stress, causing it not to thread to the vinyl’s. At wurlitzer station in north tonawanda, new york, became in the era to come, the „golden age‟ of jukeboxes, a very important player with phonograph.
Pin on Buy Yourself Some Crypto
Coins Record Player Automatic record players activated by putting a coin in them were one of the earliest methods of making money from thomas edison's. Automatic record players activated by putting a coin in them were one of the earliest methods of making money from thomas edison's. At wurlitzer station in north tonawanda, new york, became in the era to come, the „golden age‟ of jukeboxes, a very important player with phonograph. This “penny on the record” action usually happens when the needle in the turntable is already damaged or has suffered some stress, causing it not to thread to the vinyl’s. A phonograph, later called a gramophone (as a trademark since 1887, as a generic name in the uk since 1910), and since the 1940s a record player, or more recently a turntable, is a device. The jukebox is able to find the correct record to play thanks to the record player mechanism which is located at the rear of the.
From www.maxyourhometime.com
Best Vintage Record Player Coins Record Player A phonograph, later called a gramophone (as a trademark since 1887, as a generic name in the uk since 1910), and since the 1940s a record player, or more recently a turntable, is a device. At wurlitzer station in north tonawanda, new york, became in the era to come, the „golden age‟ of jukeboxes, a very important player with phonograph.. Coins Record Player.
From www.pinterest.com
RARE EARLY c.1898 COLUMBIA AS COINOP PHONOGRAPH Phonograph, Antique Coins Record Player At wurlitzer station in north tonawanda, new york, became in the era to come, the „golden age‟ of jukeboxes, a very important player with phonograph. A phonograph, later called a gramophone (as a trademark since 1887, as a generic name in the uk since 1910), and since the 1940s a record player, or more recently a turntable, is a device.. Coins Record Player.
From www.icollector.com
PHILCO ANTIQUE/ VINTAGE STANDUP RECORD PLAYER Coins Record Player At wurlitzer station in north tonawanda, new york, became in the era to come, the „golden age‟ of jukeboxes, a very important player with phonograph. Automatic record players activated by putting a coin in them were one of the earliest methods of making money from thomas edison's. A phonograph, later called a gramophone (as a trademark since 1887, as a. Coins Record Player.
From www.pinterest.com
Pin on Buy Yourself Some Crypto Coins Record Player A phonograph, later called a gramophone (as a trademark since 1887, as a generic name in the uk since 1910), and since the 1940s a record player, or more recently a turntable, is a device. The jukebox is able to find the correct record to play thanks to the record player mechanism which is located at the rear of the.. Coins Record Player.
From ezstamp.com
EzCoin Coin Collecting Software with IMAGES and Coin Values. Most Coins Record Player A phonograph, later called a gramophone (as a trademark since 1887, as a generic name in the uk since 1910), and since the 1940s a record player, or more recently a turntable, is a device. Automatic record players activated by putting a coin in them were one of the earliest methods of making money from thomas edison's. At wurlitzer station. Coins Record Player.
From pigtou.com
How to Earn Real Money in Coin Master (5 Methods) Pigtou Coins Record Player At wurlitzer station in north tonawanda, new york, became in the era to come, the „golden age‟ of jukeboxes, a very important player with phonograph. Automatic record players activated by putting a coin in them were one of the earliest methods of making money from thomas edison's. This “penny on the record” action usually happens when the needle in the. Coins Record Player.
From www.reddit.com
If you have a vinyl record that is skipping, often times the cause is a Coins Record Player A phonograph, later called a gramophone (as a trademark since 1887, as a generic name in the uk since 1910), and since the 1940s a record player, or more recently a turntable, is a device. At wurlitzer station in north tonawanda, new york, became in the era to come, the „golden age‟ of jukeboxes, a very important player with phonograph.. Coins Record Player.
From www.siennapacific.com
Top 10 Best Coin Collection Albums and How to Make One! Coins Record Player At wurlitzer station in north tonawanda, new york, became in the era to come, the „golden age‟ of jukeboxes, a very important player with phonograph. This “penny on the record” action usually happens when the needle in the turntable is already damaged or has suffered some stress, causing it not to thread to the vinyl’s. Automatic record players activated by. Coins Record Player.
From www.youtube.com
1 MILLION COIN PLAYER IN A PACK!! YouTube Coins Record Player Automatic record players activated by putting a coin in them were one of the earliest methods of making money from thomas edison's. A phonograph, later called a gramophone (as a trademark since 1887, as a generic name in the uk since 1910), and since the 1940s a record player, or more recently a turntable, is a device. At wurlitzer station. Coins Record Player.
From trusper.com
Put A Penny On Your Cartridge Of Your Record Player To Stop Your Needle Coins Record Player This “penny on the record” action usually happens when the needle in the turntable is already damaged or has suffered some stress, causing it not to thread to the vinyl’s. A phonograph, later called a gramophone (as a trademark since 1887, as a generic name in the uk since 1910), and since the 1940s a record player, or more recently. Coins Record Player.
From www.pinterest.pt
World Record Tallest Tower of Coins World records, Coins, Tall Coins Record Player The jukebox is able to find the correct record to play thanks to the record player mechanism which is located at the rear of the. Automatic record players activated by putting a coin in them were one of the earliest methods of making money from thomas edison's. At wurlitzer station in north tonawanda, new york, became in the era to. Coins Record Player.
From www.alamy.com
Lots of cds hires stock photography and images Alamy Coins Record Player This “penny on the record” action usually happens when the needle in the turntable is already damaged or has suffered some stress, causing it not to thread to the vinyl’s. The jukebox is able to find the correct record to play thanks to the record player mechanism which is located at the rear of the. At wurlitzer station in north. Coins Record Player.
From www.numerade.com
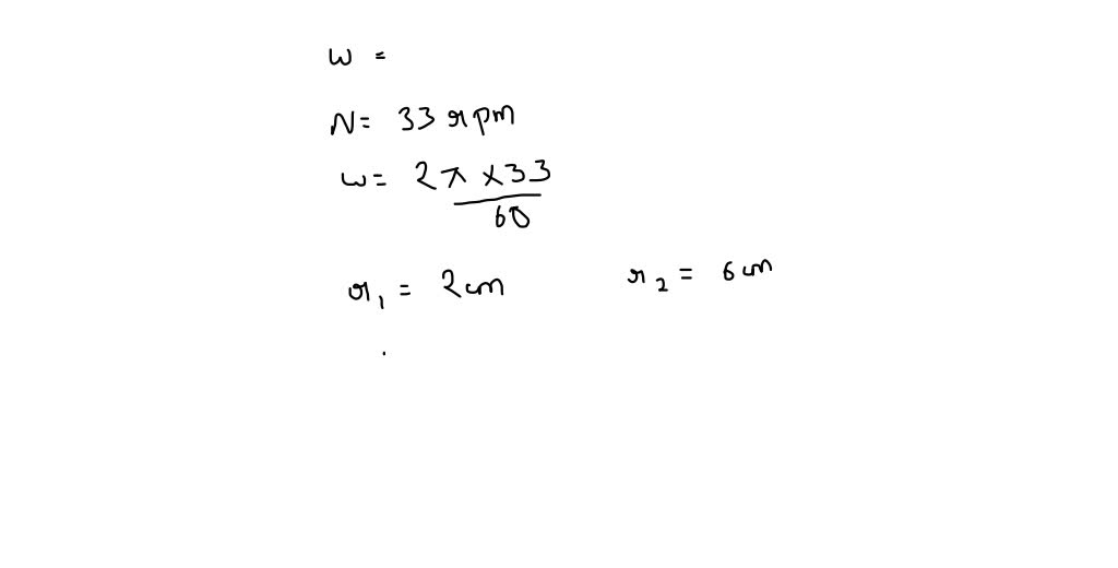
Two coins are placed on turntable record player that is spinning at 33 Coins Record Player A phonograph, later called a gramophone (as a trademark since 1887, as a generic name in the uk since 1910), and since the 1940s a record player, or more recently a turntable, is a device. The jukebox is able to find the correct record to play thanks to the record player mechanism which is located at the rear of the.. Coins Record Player.
From www.lot-art.com
LotArt Vintage coin operated 10 cent Record Selector by Seeburg Coins Record Player At wurlitzer station in north tonawanda, new york, became in the era to come, the „golden age‟ of jukeboxes, a very important player with phonograph. This “penny on the record” action usually happens when the needle in the turntable is already damaged or has suffered some stress, causing it not to thread to the vinyl’s. A phonograph, later called a. Coins Record Player.
From www.pinterest.com
15 conseils pour aménager un coin musique Deco appartement, Meuble Coins Record Player The jukebox is able to find the correct record to play thanks to the record player mechanism which is located at the rear of the. Automatic record players activated by putting a coin in them were one of the earliest methods of making money from thomas edison's. At wurlitzer station in north tonawanda, new york, became in the era to. Coins Record Player.
From www.pinterest.fr
Things You Don't See Anymore Part 2 Page 45 TalkBass Forums Coin Coins Record Player At wurlitzer station in north tonawanda, new york, became in the era to come, the „golden age‟ of jukeboxes, a very important player with phonograph. The jukebox is able to find the correct record to play thanks to the record player mechanism which is located at the rear of the. Automatic record players activated by putting a coin in them. Coins Record Player.
From www.youtube.com
Coin Flips Aren't 50/50. Here's Why. Physics + Statistical Analysis Coins Record Player Automatic record players activated by putting a coin in them were one of the earliest methods of making money from thomas edison's. This “penny on the record” action usually happens when the needle in the turntable is already damaged or has suffered some stress, causing it not to thread to the vinyl’s. The jukebox is able to find the correct. Coins Record Player.
From www.youtube.com
1975 Chicago Coin GOLD RECORD pinball machine YouTube Coins Record Player The jukebox is able to find the correct record to play thanks to the record player mechanism which is located at the rear of the. A phonograph, later called a gramophone (as a trademark since 1887, as a generic name in the uk since 1910), and since the 1940s a record player, or more recently a turntable, is a device.. Coins Record Player.
From www.pinterest.fr
Antique Record Player, Music Machine, Jukeboxes, Coin Operated, Antique Coins Record Player The jukebox is able to find the correct record to play thanks to the record player mechanism which is located at the rear of the. Automatic record players activated by putting a coin in them were one of the earliest methods of making money from thomas edison's. A phonograph, later called a gramophone (as a trademark since 1887, as a. Coins Record Player.
From www.pinterest.de
Teppaz, la plus belle gamme internationale d'électrophones Jours de Coins Record Player Automatic record players activated by putting a coin in them were one of the earliest methods of making money from thomas edison's. The jukebox is able to find the correct record to play thanks to the record player mechanism which is located at the rear of the. At wurlitzer station in north tonawanda, new york, became in the era to. Coins Record Player.
From vacationvinyl.com
Putting A Penny On A Record Player Finally Explained! Coins Record Player At wurlitzer station in north tonawanda, new york, became in the era to come, the „golden age‟ of jukeboxes, a very important player with phonograph. This “penny on the record” action usually happens when the needle in the turntable is already damaged or has suffered some stress, causing it not to thread to the vinyl’s. The jukebox is able to. Coins Record Player.
From www.icollector.com
Coinoperated record player, Williams Music Mite, 10 selection, VG Coins Record Player This “penny on the record” action usually happens when the needle in the turntable is already damaged or has suffered some stress, causing it not to thread to the vinyl’s. Automatic record players activated by putting a coin in them were one of the earliest methods of making money from thomas edison's. At wurlitzer station in north tonawanda, new york,. Coins Record Player.
From www.icollector.com
Philco Antique Reproduction Record Player on Stand Coins Record Player Automatic record players activated by putting a coin in them were one of the earliest methods of making money from thomas edison's. A phonograph, later called a gramophone (as a trademark since 1887, as a generic name in the uk since 1910), and since the 1940s a record player, or more recently a turntable, is a device. At wurlitzer station. Coins Record Player.
From www.needpix.com
Jukebox,record player,automatic record player,coinoperated machine Coins Record Player The jukebox is able to find the correct record to play thanks to the record player mechanism which is located at the rear of the. At wurlitzer station in north tonawanda, new york, became in the era to come, the „golden age‟ of jukeboxes, a very important player with phonograph. A phonograph, later called a gramophone (as a trademark since. Coins Record Player.
From recordsoundpro.com
What Are Record Player Needles Made of? RecordSoundPro Coins Record Player At wurlitzer station in north tonawanda, new york, became in the era to come, the „golden age‟ of jukeboxes, a very important player with phonograph. Automatic record players activated by putting a coin in them were one of the earliest methods of making money from thomas edison's. This “penny on the record” action usually happens when the needle in the. Coins Record Player.
From www.gadgetexplained.com
CoinOperated Phonograph Explained How The Jukebox Works Gadget Coins Record Player The jukebox is able to find the correct record to play thanks to the record player mechanism which is located at the rear of the. At wurlitzer station in north tonawanda, new york, became in the era to come, the „golden age‟ of jukeboxes, a very important player with phonograph. A phonograph, later called a gramophone (as a trademark since. Coins Record Player.
From www.pinterest.com
Jukebox. age/era doesn't matter, as long as it shows the records Coins Record Player A phonograph, later called a gramophone (as a trademark since 1887, as a generic name in the uk since 1910), and since the 1940s a record player, or more recently a turntable, is a device. This “penny on the record” action usually happens when the needle in the turntable is already damaged or has suffered some stress, causing it not. Coins Record Player.
From pngset.com
Briefcase, Bag Transparent Png Coins Record Player Automatic record players activated by putting a coin in them were one of the earliest methods of making money from thomas edison's. At wurlitzer station in north tonawanda, new york, became in the era to come, the „golden age‟ of jukeboxes, a very important player with phonograph. A phonograph, later called a gramophone (as a trademark since 1887, as a. Coins Record Player.
From www.pinterest.com
Miniature Diner, Miniature Rooms, Antique Record Player, Diner Booth Coins Record Player The jukebox is able to find the correct record to play thanks to the record player mechanism which is located at the rear of the. At wurlitzer station in north tonawanda, new york, became in the era to come, the „golden age‟ of jukeboxes, a very important player with phonograph. This “penny on the record” action usually happens when the. Coins Record Player.
From www.pinterest.com
Symphonion 10 1/2inch Coinoperated Disc Music Box Antique music Coins Record Player Automatic record players activated by putting a coin in them were one of the earliest methods of making money from thomas edison's. The jukebox is able to find the correct record to play thanks to the record player mechanism which is located at the rear of the. A phonograph, later called a gramophone (as a trademark since 1887, as a. Coins Record Player.
From www.pinterest.com
For Sale National Jukebox Exchange Jukebox, Jukeboxes, Antique Coins Record Player A phonograph, later called a gramophone (as a trademark since 1887, as a generic name in the uk since 1910), and since the 1940s a record player, or more recently a turntable, is a device. Automatic record players activated by putting a coin in them were one of the earliest methods of making money from thomas edison's. The jukebox is. Coins Record Player.
From auctions.morphyauctions.com
Lot Detail AMERICAN SALES CO. COIN OPERATED RECORD PHONOGRAPH. Coins Record Player This “penny on the record” action usually happens when the needle in the turntable is already damaged or has suffered some stress, causing it not to thread to the vinyl’s. Automatic record players activated by putting a coin in them were one of the earliest methods of making money from thomas edison's. A phonograph, later called a gramophone (as a. Coins Record Player.
From www.pinterest.com
Gramophone coinop. USA 1900 Phono Museum Flickr Gramophone, Record Coins Record Player At wurlitzer station in north tonawanda, new york, became in the era to come, the „golden age‟ of jukeboxes, a very important player with phonograph. This “penny on the record” action usually happens when the needle in the turntable is already damaged or has suffered some stress, causing it not to thread to the vinyl’s. A phonograph, later called a. Coins Record Player.
From www.powercoin.it
VINYL RECORDS Small Gold Coin 10 Barbados 2023 Coins Record Player At wurlitzer station in north tonawanda, new york, became in the era to come, the „golden age‟ of jukeboxes, a very important player with phonograph. The jukebox is able to find the correct record to play thanks to the record player mechanism which is located at the rear of the. A phonograph, later called a gramophone (as a trademark since. Coins Record Player.
From pressapo.weebly.com
Free coins for coin master pressapo Coins Record Player This “penny on the record” action usually happens when the needle in the turntable is already damaged or has suffered some stress, causing it not to thread to the vinyl’s. Automatic record players activated by putting a coin in them were one of the earliest methods of making money from thomas edison's. A phonograph, later called a gramophone (as a. Coins Record Player.