Home Improvement Exemption . 1, 2023, you may qualify for a tax credit up to $3,200. A homestead tax exemption shelters either a dollar amount or percentage of the home value in the calculation of the homeowner's property tax bill. Check your property tax bill or visit our website a. All qualifying capital improvements are tax deductible. Does your home sale qualify for the exclusion of gain? The tax code recognizes the importance of home ownership by allowing you to exclude. However, you can’t claim the deduction until you sell the home. Learn about the tax benefits and credits for home improvement, energy efficiency, mortgage interest, and more. If approved, the exemption will provide property tax relief for three {3}. Find out the latest changes and updates for 2023 tax returns.
from www.pinterest.com
Learn about the tax benefits and credits for home improvement, energy efficiency, mortgage interest, and more. A homestead tax exemption shelters either a dollar amount or percentage of the home value in the calculation of the homeowner's property tax bill. Find out the latest changes and updates for 2023 tax returns. Check your property tax bill or visit our website a. All qualifying capital improvements are tax deductible. The tax code recognizes the importance of home ownership by allowing you to exclude. However, you can’t claim the deduction until you sell the home. Does your home sale qualify for the exclusion of gain? If approved, the exemption will provide property tax relief for three {3}. 1, 2023, you may qualify for a tax credit up to $3,200.
Tax Deductible Home Improvements Tax deductions, Home improvement, Improve
Home Improvement Exemption A homestead tax exemption shelters either a dollar amount or percentage of the home value in the calculation of the homeowner's property tax bill. Check your property tax bill or visit our website a. Learn about the tax benefits and credits for home improvement, energy efficiency, mortgage interest, and more. Does your home sale qualify for the exclusion of gain? All qualifying capital improvements are tax deductible. However, you can’t claim the deduction until you sell the home. Find out the latest changes and updates for 2023 tax returns. The tax code recognizes the importance of home ownership by allowing you to exclude. A homestead tax exemption shelters either a dollar amount or percentage of the home value in the calculation of the homeowner's property tax bill. 1, 2023, you may qualify for a tax credit up to $3,200. If approved, the exemption will provide property tax relief for three {3}.
From www.formsbank.com
Form Rp485G Application For Real Property Tax Exemption For Infrastructure Improvements Home Improvement Exemption All qualifying capital improvements are tax deductible. Learn about the tax benefits and credits for home improvement, energy efficiency, mortgage interest, and more. A homestead tax exemption shelters either a dollar amount or percentage of the home value in the calculation of the homeowner's property tax bill. Check your property tax bill or visit our website a. However, you can’t. Home Improvement Exemption.
From www.printablerealestateform.com
Sample Printable Home Improvement Contract Forms Template 2024 Home Improvement Exemption 1, 2023, you may qualify for a tax credit up to $3,200. The tax code recognizes the importance of home ownership by allowing you to exclude. All qualifying capital improvements are tax deductible. A homestead tax exemption shelters either a dollar amount or percentage of the home value in the calculation of the homeowner's property tax bill. Find out the. Home Improvement Exemption.
From www.slideserve.com
PPT James M. Houlihan PowerPoint Presentation, free download ID376692 Home Improvement Exemption Learn about the tax benefits and credits for home improvement, energy efficiency, mortgage interest, and more. If approved, the exemption will provide property tax relief for three {3}. Does your home sale qualify for the exclusion of gain? Find out the latest changes and updates for 2023 tax returns. The tax code recognizes the importance of home ownership by allowing. Home Improvement Exemption.
From www.printablerealestateform.com
Sample Printable Home Improvement Contract Forms Template 2024 Home Improvement Exemption A homestead tax exemption shelters either a dollar amount or percentage of the home value in the calculation of the homeowner's property tax bill. Does your home sale qualify for the exclusion of gain? The tax code recognizes the importance of home ownership by allowing you to exclude. Learn about the tax benefits and credits for home improvement, energy efficiency,. Home Improvement Exemption.
From www.slideserve.com
PPT James M. Houlihan PowerPoint Presentation, free download ID3295781 Home Improvement Exemption Find out the latest changes and updates for 2023 tax returns. The tax code recognizes the importance of home ownership by allowing you to exclude. 1, 2023, you may qualify for a tax credit up to $3,200. Does your home sale qualify for the exclusion of gain? If approved, the exemption will provide property tax relief for three {3}. However,. Home Improvement Exemption.
From www.suretybondsdirect.com
Tennessee Home Improvement License Requirements Home Improvement Exemption Learn about the tax benefits and credits for home improvement, energy efficiency, mortgage interest, and more. 1, 2023, you may qualify for a tax credit up to $3,200. Does your home sale qualify for the exclusion of gain? All qualifying capital improvements are tax deductible. Find out the latest changes and updates for 2023 tax returns. Check your property tax. Home Improvement Exemption.
From www.angi.com
How Does a Home Improvement Loan Work? Home Improvement Exemption Find out the latest changes and updates for 2023 tax returns. 1, 2023, you may qualify for a tax credit up to $3,200. Does your home sale qualify for the exclusion of gain? The tax code recognizes the importance of home ownership by allowing you to exclude. A homestead tax exemption shelters either a dollar amount or percentage of the. Home Improvement Exemption.
From www.formsbank.com
Fillable Ptax323 Form Application For Homestead Improvement Exemption printable pdf download Home Improvement Exemption Check your property tax bill or visit our website a. If approved, the exemption will provide property tax relief for three {3}. A homestead tax exemption shelters either a dollar amount or percentage of the home value in the calculation of the homeowner's property tax bill. 1, 2023, you may qualify for a tax credit up to $3,200. The tax. Home Improvement Exemption.
From www.slideserve.com
PPT Joseph Berrios PowerPoint Presentation, free download ID1755776 Home Improvement Exemption The tax code recognizes the importance of home ownership by allowing you to exclude. Does your home sale qualify for the exclusion of gain? However, you can’t claim the deduction until you sell the home. If approved, the exemption will provide property tax relief for three {3}. 1, 2023, you may qualify for a tax credit up to $3,200. Find. Home Improvement Exemption.
From www.pdffiller.com
Fillable Online home improvement exemption kane county Fax Email Print pdfFiller Home Improvement Exemption A homestead tax exemption shelters either a dollar amount or percentage of the home value in the calculation of the homeowner's property tax bill. 1, 2023, you may qualify for a tax credit up to $3,200. The tax code recognizes the importance of home ownership by allowing you to exclude. Learn about the tax benefits and credits for home improvement,. Home Improvement Exemption.
From www.pinterest.com
Tax Deductible Home Improvements Tax deductions, Home improvement, Improve Home Improvement Exemption Find out the latest changes and updates for 2023 tax returns. The tax code recognizes the importance of home ownership by allowing you to exclude. However, you can’t claim the deduction until you sell the home. 1, 2023, you may qualify for a tax credit up to $3,200. If approved, the exemption will provide property tax relief for three {3}.. Home Improvement Exemption.
From www.formsbank.com
Fillable Claim For Exemption Form printable pdf download Home Improvement Exemption Find out the latest changes and updates for 2023 tax returns. If approved, the exemption will provide property tax relief for three {3}. The tax code recognizes the importance of home ownership by allowing you to exclude. A homestead tax exemption shelters either a dollar amount or percentage of the home value in the calculation of the homeowner's property tax. Home Improvement Exemption.
From www.slideserve.com
PPT Joseph Berrios PowerPoint Presentation, free download ID6708778 Home Improvement Exemption If approved, the exemption will provide property tax relief for three {3}. However, you can’t claim the deduction until you sell the home. 1, 2023, you may qualify for a tax credit up to $3,200. Find out the latest changes and updates for 2023 tax returns. Check your property tax bill or visit our website a. Learn about the tax. Home Improvement Exemption.
From www.thebalancemoney.com
Home Sale Exclusion From Capital Gains Tax Home Improvement Exemption 1, 2023, you may qualify for a tax credit up to $3,200. Find out the latest changes and updates for 2023 tax returns. All qualifying capital improvements are tax deductible. However, you can’t claim the deduction until you sell the home. A homestead tax exemption shelters either a dollar amount or percentage of the home value in the calculation of. Home Improvement Exemption.
From www.formsbank.com
Form Rp421H Application For Real Property Tax Exemption For Capital Improvements To Home Improvement Exemption However, you can’t claim the deduction until you sell the home. Does your home sale qualify for the exclusion of gain? Learn about the tax benefits and credits for home improvement, energy efficiency, mortgage interest, and more. A homestead tax exemption shelters either a dollar amount or percentage of the home value in the calculation of the homeowner's property tax. Home Improvement Exemption.
From www.slideserve.com
PPT James M. Houlihan PowerPoint Presentation, free download ID376692 Home Improvement Exemption A homestead tax exemption shelters either a dollar amount or percentage of the home value in the calculation of the homeowner's property tax bill. The tax code recognizes the importance of home ownership by allowing you to exclude. Check your property tax bill or visit our website a. 1, 2023, you may qualify for a tax credit up to $3,200.. Home Improvement Exemption.
From www.formsbank.com
Fillable Form E/a1 Application For Exemption And/or Abatement For The Improvement, Conversion Home Improvement Exemption However, you can’t claim the deduction until you sell the home. 1, 2023, you may qualify for a tax credit up to $3,200. If approved, the exemption will provide property tax relief for three {3}. Does your home sale qualify for the exclusion of gain? Check your property tax bill or visit our website a. The tax code recognizes the. Home Improvement Exemption.
From www.printablerealestateform.com
Sample Printable Home Improvement Contract Forms Template 2024 Home Improvement Exemption All qualifying capital improvements are tax deductible. The tax code recognizes the importance of home ownership by allowing you to exclude. However, you can’t claim the deduction until you sell the home. A homestead tax exemption shelters either a dollar amount or percentage of the home value in the calculation of the homeowner's property tax bill. If approved, the exemption. Home Improvement Exemption.
From www.templateroller.com
Download Instructions for Form RP421H Application for Real Property Tax Exemption for Capital Home Improvement Exemption All qualifying capital improvements are tax deductible. However, you can’t claim the deduction until you sell the home. Does your home sale qualify for the exclusion of gain? The tax code recognizes the importance of home ownership by allowing you to exclude. Check your property tax bill or visit our website a. Learn about the tax benefits and credits for. Home Improvement Exemption.
From cubatwpil.gov
Home Improvement Exemption Cuba Township, Illinois 60010 Home Improvement Exemption All qualifying capital improvements are tax deductible. Learn about the tax benefits and credits for home improvement, energy efficiency, mortgage interest, and more. Check your property tax bill or visit our website a. Does your home sale qualify for the exclusion of gain? Find out the latest changes and updates for 2023 tax returns. 1, 2023, you may qualify for. Home Improvement Exemption.
From yourrealtorforlifervictoriapeterson.com
Homestead Exemptions & What You Need to Know — Rachael V. Peterson YOUR Realtor for Life Home Improvement Exemption If approved, the exemption will provide property tax relief for three {3}. Learn about the tax benefits and credits for home improvement, energy efficiency, mortgage interest, and more. The tax code recognizes the importance of home ownership by allowing you to exclude. Does your home sale qualify for the exclusion of gain? Check your property tax bill or visit our. Home Improvement Exemption.
From www.templateroller.com
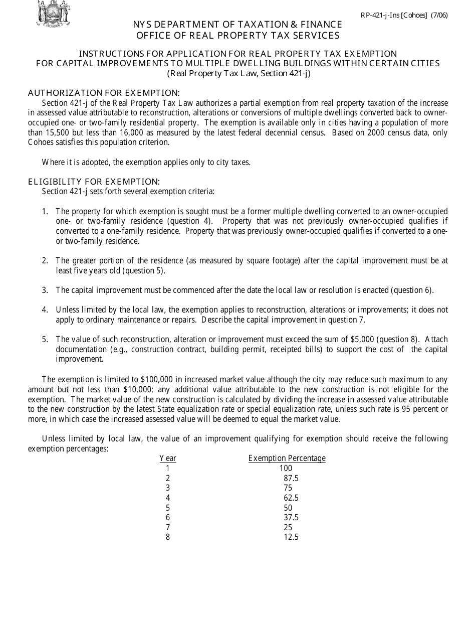
Download Instructions for Form RP421J [COHOES] Application for Real Property Tax Exemption for Home Improvement Exemption 1, 2023, you may qualify for a tax credit up to $3,200. All qualifying capital improvements are tax deductible. Check your property tax bill or visit our website a. A homestead tax exemption shelters either a dollar amount or percentage of the home value in the calculation of the homeowner's property tax bill. Does your home sale qualify for the. Home Improvement Exemption.
From www.formsbank.com
Top 21 Property Tax Exemption Form Templates free to download in PDF format Home Improvement Exemption However, you can’t claim the deduction until you sell the home. 1, 2023, you may qualify for a tax credit up to $3,200. Learn about the tax benefits and credits for home improvement, energy efficiency, mortgage interest, and more. A homestead tax exemption shelters either a dollar amount or percentage of the home value in the calculation of the homeowner's. Home Improvement Exemption.
From storables.com
How Do I Know If I Have Home Improvement Exemptions Storables Home Improvement Exemption Does your home sale qualify for the exclusion of gain? The tax code recognizes the importance of home ownership by allowing you to exclude. However, you can’t claim the deduction until you sell the home. Find out the latest changes and updates for 2023 tax returns. All qualifying capital improvements are tax deductible. A homestead tax exemption shelters either a. Home Improvement Exemption.
From www.youtube.com
Property Tax Exemptions for Seniors and Veterans YouTube Home Improvement Exemption Learn about the tax benefits and credits for home improvement, energy efficiency, mortgage interest, and more. 1, 2023, you may qualify for a tax credit up to $3,200. Does your home sale qualify for the exclusion of gain? Find out the latest changes and updates for 2023 tax returns. A homestead tax exemption shelters either a dollar amount or percentage. Home Improvement Exemption.
From www.formsbank.com
Fillable Form Rp421F Application For Real Property Tax Exemption For Capital Improvements To Home Improvement Exemption Check your property tax bill or visit our website a. If approved, the exemption will provide property tax relief for three {3}. Does your home sale qualify for the exclusion of gain? All qualifying capital improvements are tax deductible. However, you can’t claim the deduction until you sell the home. Find out the latest changes and updates for 2023 tax. Home Improvement Exemption.
From www.uslegalforms.com
SC Application for Homestead Exemption Fill and Sign Printable Template Online US Legal Forms Home Improvement Exemption 1, 2023, you may qualify for a tax credit up to $3,200. If approved, the exemption will provide property tax relief for three {3}. Does your home sale qualify for the exclusion of gain? All qualifying capital improvements are tax deductible. However, you can’t claim the deduction until you sell the home. Check your property tax bill or visit our. Home Improvement Exemption.
From hometaxshield.com
The Homestead Exemption Explained Home Improvement Exemption Check your property tax bill or visit our website a. If approved, the exemption will provide property tax relief for three {3}. Find out the latest changes and updates for 2023 tax returns. Does your home sale qualify for the exclusion of gain? A homestead tax exemption shelters either a dollar amount or percentage of the home value in the. Home Improvement Exemption.
From www.dochub.com
Hawaii property tax exemption Fill out & sign online DocHub Home Improvement Exemption All qualifying capital improvements are tax deductible. 1, 2023, you may qualify for a tax credit up to $3,200. The tax code recognizes the importance of home ownership by allowing you to exclude. However, you can’t claim the deduction until you sell the home. Check your property tax bill or visit our website a. A homestead tax exemption shelters either. Home Improvement Exemption.
From legaltemplates.net
Free Home Improvement Contract Template PDF & Word Home Improvement Exemption Find out the latest changes and updates for 2023 tax returns. Does your home sale qualify for the exclusion of gain? 1, 2023, you may qualify for a tax credit up to $3,200. All qualifying capital improvements are tax deductible. The tax code recognizes the importance of home ownership by allowing you to exclude. However, you can’t claim the deduction. Home Improvement Exemption.
From storables.com
How To Apply For Home Improvement Exemption In Woodford County, IL Storables Home Improvement Exemption 1, 2023, you may qualify for a tax credit up to $3,200. A homestead tax exemption shelters either a dollar amount or percentage of the home value in the calculation of the homeowner's property tax bill. Learn about the tax benefits and credits for home improvement, energy efficiency, mortgage interest, and more. The tax code recognizes the importance of home. Home Improvement Exemption.
From www.formsbank.com
Fillable Claim For Home Exemption printable pdf download Home Improvement Exemption Learn about the tax benefits and credits for home improvement, energy efficiency, mortgage interest, and more. However, you can’t claim the deduction until you sell the home. 1, 2023, you may qualify for a tax credit up to $3,200. Check your property tax bill or visit our website a. All qualifying capital improvements are tax deductible. A homestead tax exemption. Home Improvement Exemption.
From www.merriman.com
Why It’s Important to Keep Track of Improvements to Your House Merriman Home Improvement Exemption Find out the latest changes and updates for 2023 tax returns. All qualifying capital improvements are tax deductible. Check your property tax bill or visit our website a. Does your home sale qualify for the exclusion of gain? A homestead tax exemption shelters either a dollar amount or percentage of the home value in the calculation of the homeowner's property. Home Improvement Exemption.
From www.templateroller.com
Download Instructions for Form RP421F Application for Real Property Tax Exemption for Capital Home Improvement Exemption Check your property tax bill or visit our website a. If approved, the exemption will provide property tax relief for three {3}. Learn about the tax benefits and credits for home improvement, energy efficiency, mortgage interest, and more. The tax code recognizes the importance of home ownership by allowing you to exclude. 1, 2023, you may qualify for a tax. Home Improvement Exemption.
From www.lendingtree.com
What Is a Homestead Exemption and How Does It Work? LendingTree Home Improvement Exemption Does your home sale qualify for the exclusion of gain? Check your property tax bill or visit our website a. Learn about the tax benefits and credits for home improvement, energy efficiency, mortgage interest, and more. All qualifying capital improvements are tax deductible. The tax code recognizes the importance of home ownership by allowing you to exclude. A homestead tax. Home Improvement Exemption.