Spur Pinion Calculator . This section introduces the dimension calculations for spur gears, helical gears, gear rack, bevel gears, screw gears, and worm gear pairs. This gear calculator software also handles gear calculations of various types of gears such as spur gears, worm gears, gear racks, bevel gears, internal gears, screw gears, etc. Enter your car's internal drive ratio to. This calculator generates the.dxf and.svg files for making external spur gears, rack and pinion sets, and internal spur gears. Try our gear ratio and rollout calculator to find the right pinion and spur for your car, whether it's team associated, tamiya, traxxas, or any other make. Dxf files are accepted by most machines that cut 2d. The size of gears is determined in. The amount of revolutions that the motor and pinion and spur gear combination will cause the transmission to turn in one minute. Adjust your final drive ratio with this team associated calculator so you can influence your rc car’s speed of acceleration and top end speed. Calculations of external dimensions (eg. In this section we introduce the basic parts of spur gears (cylindrical gears) and dimensional calculations. This is the rpm value entering the.
from www.indiamart.com
This gear calculator software also handles gear calculations of various types of gears such as spur gears, worm gears, gear racks, bevel gears, internal gears, screw gears, etc. Try our gear ratio and rollout calculator to find the right pinion and spur for your car, whether it's team associated, tamiya, traxxas, or any other make. Calculations of external dimensions (eg. In this section we introduce the basic parts of spur gears (cylindrical gears) and dimensional calculations. Adjust your final drive ratio with this team associated calculator so you can influence your rc car’s speed of acceleration and top end speed. Enter your car's internal drive ratio to. This calculator generates the.dxf and.svg files for making external spur gears, rack and pinion sets, and internal spur gears. This section introduces the dimension calculations for spur gears, helical gears, gear rack, bevel gears, screw gears, and worm gear pairs. This is the rpm value entering the. The amount of revolutions that the motor and pinion and spur gear combination will cause the transmission to turn in one minute.
Round Spur Pinions ,, For Industrial, 1 To 40 Module at Rs 5000 in Howrah
Spur Pinion Calculator Calculations of external dimensions (eg. This section introduces the dimension calculations for spur gears, helical gears, gear rack, bevel gears, screw gears, and worm gear pairs. Adjust your final drive ratio with this team associated calculator so you can influence your rc car’s speed of acceleration and top end speed. Try our gear ratio and rollout calculator to find the right pinion and spur for your car, whether it's team associated, tamiya, traxxas, or any other make. In this section we introduce the basic parts of spur gears (cylindrical gears) and dimensional calculations. Enter your car's internal drive ratio to. The amount of revolutions that the motor and pinion and spur gear combination will cause the transmission to turn in one minute. Dxf files are accepted by most machines that cut 2d. This calculator generates the.dxf and.svg files for making external spur gears, rack and pinion sets, and internal spur gears. Calculations of external dimensions (eg. The size of gears is determined in. This gear calculator software also handles gear calculations of various types of gears such as spur gears, worm gears, gear racks, bevel gears, internal gears, screw gears, etc. This is the rpm value entering the.
From www.numerade.com
SOLVED Texts By a motor via a spur gear train as shown in Fig QS Spur Pinion Calculator Calculations of external dimensions (eg. Try our gear ratio and rollout calculator to find the right pinion and spur for your car, whether it's team associated, tamiya, traxxas, or any other make. This calculator generates the.dxf and.svg files for making external spur gears, rack and pinion sets, and internal spur gears. This section introduces the dimension calculations for spur gears,. Spur Pinion Calculator.
From evolventdesign.com
Spur Gear Calculator Hub Evolvent Design Spur Pinion Calculator Dxf files are accepted by most machines that cut 2d. Calculations of external dimensions (eg. In this section we introduce the basic parts of spur gears (cylindrical gears) and dimensional calculations. The size of gears is determined in. This calculator generates the.dxf and.svg files for making external spur gears, rack and pinion sets, and internal spur gears. The amount of. Spur Pinion Calculator.
From giolnfkdz.blob.core.windows.net
Spur Gear Vs Pinion at Henry Pierce blog Spur Pinion Calculator This section introduces the dimension calculations for spur gears, helical gears, gear rack, bevel gears, screw gears, and worm gear pairs. This is the rpm value entering the. Enter your car's internal drive ratio to. Dxf files are accepted by most machines that cut 2d. The amount of revolutions that the motor and pinion and spur gear combination will cause. Spur Pinion Calculator.
From us.misumi-ec.com
Center to Center Spacing for Shafts with Spur Gears MISUMI Mech Lab Blog Spur Pinion Calculator Calculations of external dimensions (eg. Adjust your final drive ratio with this team associated calculator so you can influence your rc car’s speed of acceleration and top end speed. In this section we introduce the basic parts of spur gears (cylindrical gears) and dimensional calculations. This section introduces the dimension calculations for spur gears, helical gears, gear rack, bevel gears,. Spur Pinion Calculator.
From www.coursehero.com
[Solved] . A steel spur pinion has 16 teeth out on the 20” fulldepth Spur Pinion Calculator The size of gears is determined in. This calculator generates the.dxf and.svg files for making external spur gears, rack and pinion sets, and internal spur gears. Calculations of external dimensions (eg. The amount of revolutions that the motor and pinion and spur gear combination will cause the transmission to turn in one minute. Adjust your final drive ratio with this. Spur Pinion Calculator.
From www.chegg.com
Solved A 20tooth pinion (on shaft a) drives the Spur Pinion Calculator This gear calculator software also handles gear calculations of various types of gears such as spur gears, worm gears, gear racks, bevel gears, internal gears, screw gears, etc. Dxf files are accepted by most machines that cut 2d. This section introduces the dimension calculations for spur gears, helical gears, gear rack, bevel gears, screw gears, and worm gear pairs. The. Spur Pinion Calculator.
From www.numerade.com
SOLVED Q6 The shaft rotating at 800 rpm carries a spur gear B with 61 Spur Pinion Calculator In this section we introduce the basic parts of spur gears (cylindrical gears) and dimensional calculations. This gear calculator software also handles gear calculations of various types of gears such as spur gears, worm gears, gear racks, bevel gears, internal gears, screw gears, etc. The size of gears is determined in. This calculator generates the.dxf and.svg files for making external. Spur Pinion Calculator.
From www.engineersedge.com
Gear Tooth Contact Stress Number Equation and Calculator Spur Pinion Calculator The amount of revolutions that the motor and pinion and spur gear combination will cause the transmission to turn in one minute. This is the rpm value entering the. In this section we introduce the basic parts of spur gears (cylindrical gears) and dimensional calculations. Calculations of external dimensions (eg. This gear calculator software also handles gear calculations of various. Spur Pinion Calculator.
From grabcad.com
How to create Rack & Pinion using Inventor 2016 GrabCAD Tutorials Spur Pinion Calculator Dxf files are accepted by most machines that cut 2d. The amount of revolutions that the motor and pinion and spur gear combination will cause the transmission to turn in one minute. Try our gear ratio and rollout calculator to find the right pinion and spur for your car, whether it's team associated, tamiya, traxxas, or any other make. Enter. Spur Pinion Calculator.
From www.numerade.com
SOLVED A 20tooth cast iron pinion gear with a pressure angle of 20 Spur Pinion Calculator This section introduces the dimension calculations for spur gears, helical gears, gear rack, bevel gears, screw gears, and worm gear pairs. This is the rpm value entering the. Adjust your final drive ratio with this team associated calculator so you can influence your rc car’s speed of acceleration and top end speed. The amount of revolutions that the motor and. Spur Pinion Calculator.
From www.coursehero.com
[Solved] 1421 A 209 spur pinion with 20 teeth and a module of 2.5 mm Spur Pinion Calculator This section introduces the dimension calculations for spur gears, helical gears, gear rack, bevel gears, screw gears, and worm gear pairs. The size of gears is determined in. The amount of revolutions that the motor and pinion and spur gear combination will cause the transmission to turn in one minute. Dxf files are accepted by most machines that cut 2d.. Spur Pinion Calculator.
From www.indiamart.com
Round Spur Pinions ,, For Industrial, 1 To 40 Module at Rs 5000 in Howrah Spur Pinion Calculator This calculator generates the.dxf and.svg files for making external spur gears, rack and pinion sets, and internal spur gears. The size of gears is determined in. Adjust your final drive ratio with this team associated calculator so you can influence your rc car’s speed of acceleration and top end speed. This section introduces the dimension calculations for spur gears, helical. Spur Pinion Calculator.
From www.chegg.com
Solved 2. The Loading On Helical Gear Teeth Includes A Ta... Spur Pinion Calculator Enter your car's internal drive ratio to. Try our gear ratio and rollout calculator to find the right pinion and spur for your car, whether it's team associated, tamiya, traxxas, or any other make. Dxf files are accepted by most machines that cut 2d. This is the rpm value entering the. The amount of revolutions that the motor and pinion. Spur Pinion Calculator.
From www.alibaba.com
Calculator Module Spur Gear For Spur Gear Catalog Buy Module Spur Spur Pinion Calculator In this section we introduce the basic parts of spur gears (cylindrical gears) and dimensional calculations. The amount of revolutions that the motor and pinion and spur gear combination will cause the transmission to turn in one minute. Adjust your final drive ratio with this team associated calculator so you can influence your rc car’s speed of acceleration and top. Spur Pinion Calculator.
From www.alibaba.com
Calculator Module Spur Gear For Spur Gear Catalog Buy Module Spur Spur Pinion Calculator This calculator generates the.dxf and.svg files for making external spur gears, rack and pinion sets, and internal spur gears. Try our gear ratio and rollout calculator to find the right pinion and spur for your car, whether it's team associated, tamiya, traxxas, or any other make. Enter your car's internal drive ratio to. The amount of revolutions that the motor. Spur Pinion Calculator.
From khkgears.net
Calculation of Gear Dimensions KHK Gears Spur Pinion Calculator This calculator generates the.dxf and.svg files for making external spur gears, rack and pinion sets, and internal spur gears. This is the rpm value entering the. Enter your car's internal drive ratio to. Calculations of external dimensions (eg. This gear calculator software also handles gear calculations of various types of gears such as spur gears, worm gears, gear racks, bevel. Spur Pinion Calculator.
From giolnfkdz.blob.core.windows.net
Spur Gear Vs Pinion at Henry Pierce blog Spur Pinion Calculator This calculator generates the.dxf and.svg files for making external spur gears, rack and pinion sets, and internal spur gears. Adjust your final drive ratio with this team associated calculator so you can influence your rc car’s speed of acceleration and top end speed. The size of gears is determined in. Try our gear ratio and rollout calculator to find the. Spur Pinion Calculator.
From www.sodialed.com
gear ratio definition RC Car Glossary Spur Pinion Calculator Dxf files are accepted by most machines that cut 2d. Calculations of external dimensions (eg. This section introduces the dimension calculations for spur gears, helical gears, gear rack, bevel gears, screw gears, and worm gear pairs. In this section we introduce the basic parts of spur gears (cylindrical gears) and dimensional calculations. This is the rpm value entering the. Try. Spur Pinion Calculator.
From www.iqsdirectory.com
Spur Gears Types, Uses, Benefits, and Manufacturing Spur Pinion Calculator This gear calculator software also handles gear calculations of various types of gears such as spur gears, worm gears, gear racks, bevel gears, internal gears, screw gears, etc. Adjust your final drive ratio with this team associated calculator so you can influence your rc car’s speed of acceleration and top end speed. Try our gear ratio and rollout calculator to. Spur Pinion Calculator.
From www.martinsengineering.com
Gear Formula Information » Martins Corrugator Engineering Spur Pinion Calculator This gear calculator software also handles gear calculations of various types of gears such as spur gears, worm gears, gear racks, bevel gears, internal gears, screw gears, etc. This section introduces the dimension calculations for spur gears, helical gears, gear rack, bevel gears, screw gears, and worm gear pairs. This calculator generates the.dxf and.svg files for making external spur gears,. Spur Pinion Calculator.
From www.chegg.com
Solved A steel spur pinion and gear have a diametral pitch Spur Pinion Calculator In this section we introduce the basic parts of spur gears (cylindrical gears) and dimensional calculations. This is the rpm value entering the. This section introduces the dimension calculations for spur gears, helical gears, gear rack, bevel gears, screw gears, and worm gear pairs. The size of gears is determined in. Try our gear ratio and rollout calculator to find. Spur Pinion Calculator.
From www.youtube.com
CALCULATION RACK AND SPUR GEAR EXCEL FORMULA YouTube Spur Pinion Calculator This section introduces the dimension calculations for spur gears, helical gears, gear rack, bevel gears, screw gears, and worm gear pairs. This calculator generates the.dxf and.svg files for making external spur gears, rack and pinion sets, and internal spur gears. This is the rpm value entering the. This gear calculator software also handles gear calculations of various types of gears. Spur Pinion Calculator.
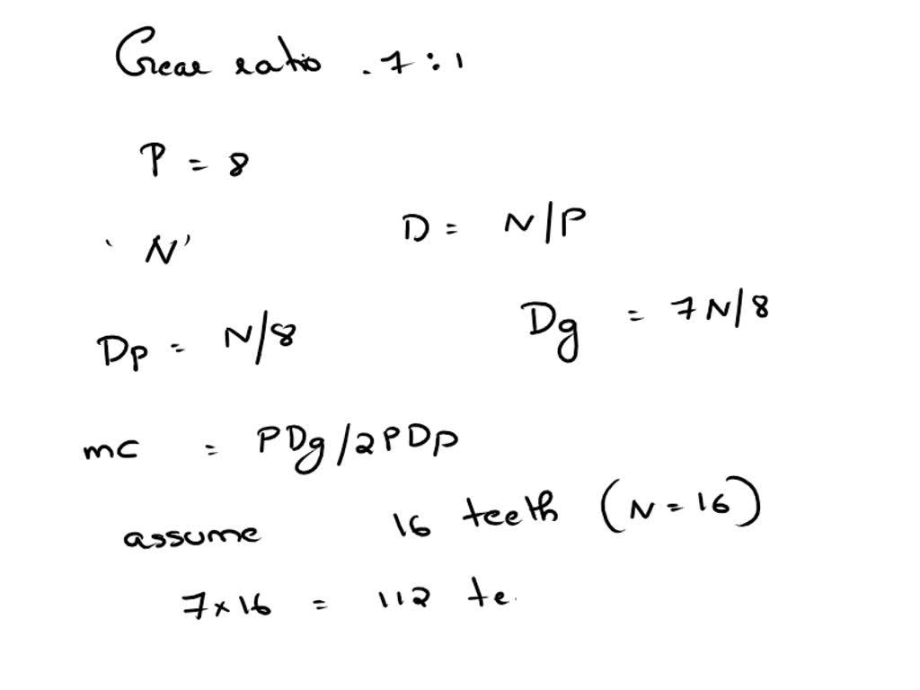
From www.numerade.com
SOLVED Design a simple, spur gear train for a ratio of 71 and a Spur Pinion Calculator Dxf files are accepted by most machines that cut 2d. Enter your car's internal drive ratio to. In this section we introduce the basic parts of spur gears (cylindrical gears) and dimensional calculations. Calculations of external dimensions (eg. This is the rpm value entering the. Adjust your final drive ratio with this team associated calculator so you can influence your. Spur Pinion Calculator.
From fyofiescn.blob.core.windows.net
Pinion And Spur Gear Tooth at Marylou Morris blog Spur Pinion Calculator Try our gear ratio and rollout calculator to find the right pinion and spur for your car, whether it's team associated, tamiya, traxxas, or any other make. The size of gears is determined in. This section introduces the dimension calculations for spur gears, helical gears, gear rack, bevel gears, screw gears, and worm gear pairs. Dxf files are accepted by. Spur Pinion Calculator.
From www.apexdyna.nl
Calculating rack and pinion, how do you do that? Spur Pinion Calculator The size of gears is determined in. This is the rpm value entering the. The amount of revolutions that the motor and pinion and spur gear combination will cause the transmission to turn in one minute. This gear calculator software also handles gear calculations of various types of gears such as spur gears, worm gears, gear racks, bevel gears, internal. Spur Pinion Calculator.
From www.youtube.com
Spur Gear Calculation and Design (MITCalc03) YouTube Spur Pinion Calculator The amount of revolutions that the motor and pinion and spur gear combination will cause the transmission to turn in one minute. Enter your car's internal drive ratio to. This is the rpm value entering the. Dxf files are accepted by most machines that cut 2d. This calculator generates the.dxf and.svg files for making external spur gears, rack and pinion. Spur Pinion Calculator.
From traxxas.com
spur pinion? Spur Pinion Calculator The amount of revolutions that the motor and pinion and spur gear combination will cause the transmission to turn in one minute. Dxf files are accepted by most machines that cut 2d. This is the rpm value entering the. Adjust your final drive ratio with this team associated calculator so you can influence your rc car’s speed of acceleration and. Spur Pinion Calculator.
From quadratec.com
Ring and Pinion Gear Ratio Calculation Chart Quadratec Spur Pinion Calculator The amount of revolutions that the motor and pinion and spur gear combination will cause the transmission to turn in one minute. This calculator generates the.dxf and.svg files for making external spur gears, rack and pinion sets, and internal spur gears. Dxf files are accepted by most machines that cut 2d. Enter your car's internal drive ratio to. This gear. Spur Pinion Calculator.
From www.youtube.com
Calculation, Design & Animate Rack and Pinion in SolidWorks YouTube Spur Pinion Calculator Enter your car's internal drive ratio to. This is the rpm value entering the. Dxf files are accepted by most machines that cut 2d. The size of gears is determined in. Try our gear ratio and rollout calculator to find the right pinion and spur for your car, whether it's team associated, tamiya, traxxas, or any other make. This calculator. Spur Pinion Calculator.
From www.youtube.com
Gear velocity ratio for Simple and Compound Gear train. Reduction or Spur Pinion Calculator The amount of revolutions that the motor and pinion and spur gear combination will cause the transmission to turn in one minute. This is the rpm value entering the. This section introduces the dimension calculations for spur gears, helical gears, gear rack, bevel gears, screw gears, and worm gear pairs. In this section we introduce the basic parts of spur. Spur Pinion Calculator.
From giolnfkdz.blob.core.windows.net
Spur Gear Vs Pinion at Henry Pierce blog Spur Pinion Calculator Calculations of external dimensions (eg. In this section we introduce the basic parts of spur gears (cylindrical gears) and dimensional calculations. Enter your car's internal drive ratio to. Adjust your final drive ratio with this team associated calculator so you can influence your rc car’s speed of acceleration and top end speed. Dxf files are accepted by most machines that. Spur Pinion Calculator.
From www.chegg.com
Solved The figure shows a pair of shaftmounted spur gears Spur Pinion Calculator The size of gears is determined in. Enter your car's internal drive ratio to. Dxf files are accepted by most machines that cut 2d. In this section we introduce the basic parts of spur gears (cylindrical gears) and dimensional calculations. This is the rpm value entering the. This gear calculator software also handles gear calculations of various types of gears. Spur Pinion Calculator.
From www.chegg.com
Solved A 20tooth pinion (on shaft a) drives the Spur Pinion Calculator This is the rpm value entering the. Enter your car's internal drive ratio to. The size of gears is determined in. Adjust your final drive ratio with this team associated calculator so you can influence your rc car’s speed of acceleration and top end speed. In this section we introduce the basic parts of spur gears (cylindrical gears) and dimensional. Spur Pinion Calculator.
From www.radiocontrolinfo.com
All About RC Car Gear Pitches Why are there so many? Spur Pinion Calculator This gear calculator software also handles gear calculations of various types of gears such as spur gears, worm gears, gear racks, bevel gears, internal gears, screw gears, etc. The amount of revolutions that the motor and pinion and spur gear combination will cause the transmission to turn in one minute. Calculations of external dimensions (eg. Dxf files are accepted by. Spur Pinion Calculator.
From by-digital-designs.netlify.app
Rack And Pinion Design Calculations Pdf at Design Spur Pinion Calculator The amount of revolutions that the motor and pinion and spur gear combination will cause the transmission to turn in one minute. This gear calculator software also handles gear calculations of various types of gears such as spur gears, worm gears, gear racks, bevel gears, internal gears, screw gears, etc. This is the rpm value entering the. Calculations of external. Spur Pinion Calculator.