Glycogen Assay Kit . The glycogen assay kit uses a single working reagent that combines the enzymatic break down of glycogen and the detection of glucose in one. In this glycogen assay protocol, glycogen is hydrolyzed into glucose, which is oxidized to form an intermediate that reduces a colorless probe. This glycogen assay is suitable for measuring glycogen levels in samples that contain reducing substances, which may interfere with oxidase. 10k+ visitors in the past month Glycogen assay kit has been used in glycogen quantification. Cayman’s glycogen assay provides a simple, reproducible, and sensitive tool for measuring glycogen in tissue/cells. It has also been used to determine the glycogen content in liver, vastus lateralis. 10k+ visitors in the past month Glycogen assay kit ab65620 is an easy and accurate assay to measure glycogen levels in biological samples.
from www.researchgate.net
It has also been used to determine the glycogen content in liver, vastus lateralis. This glycogen assay is suitable for measuring glycogen levels in samples that contain reducing substances, which may interfere with oxidase. 10k+ visitors in the past month In this glycogen assay protocol, glycogen is hydrolyzed into glucose, which is oxidized to form an intermediate that reduces a colorless probe. Glycogen assay kit has been used in glycogen quantification. The glycogen assay kit uses a single working reagent that combines the enzymatic break down of glycogen and the detection of glucose in one. Glycogen assay kit ab65620 is an easy and accurate assay to measure glycogen levels in biological samples. 10k+ visitors in the past month Cayman’s glycogen assay provides a simple, reproducible, and sensitive tool for measuring glycogen in tissue/cells.
Hepatic glycogen, triglyceride and gluconeogenic content and expression
Glycogen Assay Kit Glycogen assay kit ab65620 is an easy and accurate assay to measure glycogen levels in biological samples. This glycogen assay is suitable for measuring glycogen levels in samples that contain reducing substances, which may interfere with oxidase. Cayman’s glycogen assay provides a simple, reproducible, and sensitive tool for measuring glycogen in tissue/cells. It has also been used to determine the glycogen content in liver, vastus lateralis. The glycogen assay kit uses a single working reagent that combines the enzymatic break down of glycogen and the detection of glucose in one. Glycogen assay kit has been used in glycogen quantification. In this glycogen assay protocol, glycogen is hydrolyzed into glucose, which is oxidized to form an intermediate that reduces a colorless probe. 10k+ visitors in the past month Glycogen assay kit ab65620 is an easy and accurate assay to measure glycogen levels in biological samples. 10k+ visitors in the past month
From www.biomol.com
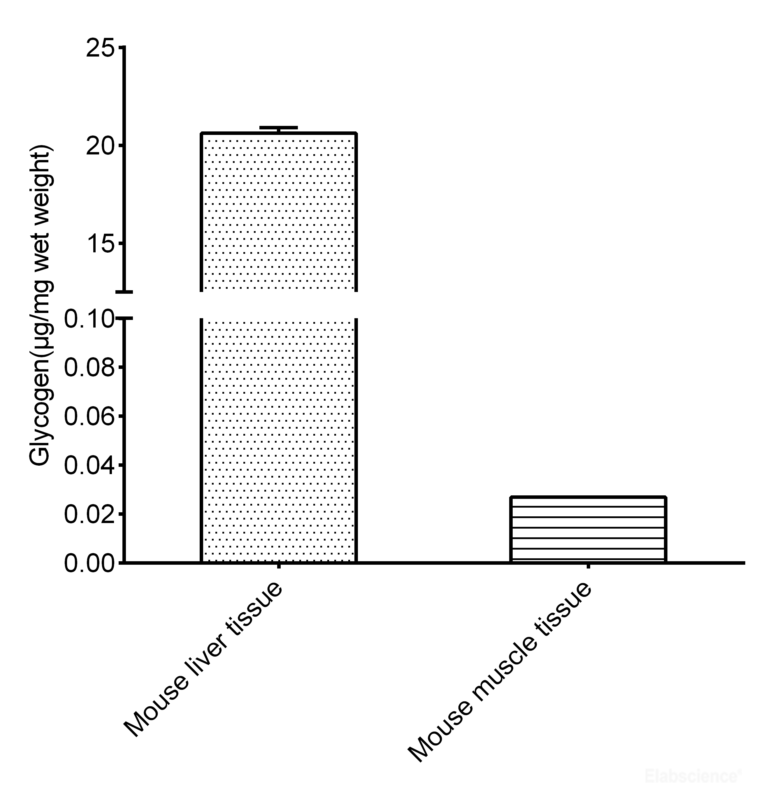
Glycogen Colorimetric Assay Kit (Liver/Muscle Samples) Elabscience Glycogen Assay Kit It has also been used to determine the glycogen content in liver, vastus lateralis. Glycogen assay kit ab65620 is an easy and accurate assay to measure glycogen levels in biological samples. The glycogen assay kit uses a single working reagent that combines the enzymatic break down of glycogen and the detection of glucose in one. This glycogen assay is suitable. Glycogen Assay Kit.
From www.novusbio.com
Glycogen Assay Kit (Fluorometric) (NBP324502) Novus Biologicals Glycogen Assay Kit 10k+ visitors in the past month Cayman’s glycogen assay provides a simple, reproducible, and sensitive tool for measuring glycogen in tissue/cells. It has also been used to determine the glycogen content in liver, vastus lateralis. 10k+ visitors in the past month This glycogen assay is suitable for measuring glycogen levels in samples that contain reducing substances, which may interfere with. Glycogen Assay Kit.
From search.cosmobio.co.jp
Glycogen Assay Kit (Colorimetric)(CBLMET5022100ASSAY)(カテゴリ:定量・検出キット Glycogen Assay Kit The glycogen assay kit uses a single working reagent that combines the enzymatic break down of glycogen and the detection of glucose in one. 10k+ visitors in the past month Cayman’s glycogen assay provides a simple, reproducible, and sensitive tool for measuring glycogen in tissue/cells. In this glycogen assay protocol, glycogen is hydrolyzed into glucose, which is oxidized to form. Glycogen Assay Kit.
From www.avantorsciences.com
EnzyChrom™ Glycogen Assay Kit, BioAssay Systems Cellular Assays Glycogen Assay Kit In this glycogen assay protocol, glycogen is hydrolyzed into glucose, which is oxidized to form an intermediate that reduces a colorless probe. Glycogen assay kit ab65620 is an easy and accurate assay to measure glycogen levels in biological samples. 10k+ visitors in the past month Cayman’s glycogen assay provides a simple, reproducible, and sensitive tool for measuring glycogen in tissue/cells.. Glycogen Assay Kit.
From www.dnatestingexperts.com
Solarbio Glycogen Assay Kit DNA Testing Experts Glycogen Assay Kit In this glycogen assay protocol, glycogen is hydrolyzed into glucose, which is oxidized to form an intermediate that reduces a colorless probe. 10k+ visitors in the past month Glycogen assay kit ab65620 is an easy and accurate assay to measure glycogen levels in biological samples. This glycogen assay is suitable for measuring glycogen levels in samples that contain reducing substances,. Glycogen Assay Kit.
From www.youtube.com
Glucose Assay Kit Protocol (Colorimetric) Video BioVision, Inc. YouTube Glycogen Assay Kit 10k+ visitors in the past month This glycogen assay is suitable for measuring glycogen levels in samples that contain reducing substances, which may interfere with oxidase. In this glycogen assay protocol, glycogen is hydrolyzed into glucose, which is oxidized to form an intermediate that reduces a colorless probe. It has also been used to determine the glycogen content in liver,. Glycogen Assay Kit.
From fdocuments.in
ab65620 (Colorimetric/ Glycogen Assay Kit Fluorometric) · 9.4 Glycogen Glycogen Assay Kit 10k+ visitors in the past month 10k+ visitors in the past month Glycogen assay kit ab65620 is an easy and accurate assay to measure glycogen levels in biological samples. Glycogen assay kit has been used in glycogen quantification. In this glycogen assay protocol, glycogen is hydrolyzed into glucose, which is oxidized to form an intermediate that reduces a colorless probe.. Glycogen Assay Kit.
From www.frontiersin.org
Frontiers Enforcing GLUT3 expression in CD8+ T cells improves fitness Glycogen Assay Kit This glycogen assay is suitable for measuring glycogen levels in samples that contain reducing substances, which may interfere with oxidase. 10k+ visitors in the past month 10k+ visitors in the past month Cayman’s glycogen assay provides a simple, reproducible, and sensitive tool for measuring glycogen in tissue/cells. In this glycogen assay protocol, glycogen is hydrolyzed into glucose, which is oxidized. Glycogen Assay Kit.
From ctrscientific.com
27958. GLYCOGEN ASSAY KIT 100 TESTS ABCAM CTR Scientific Glycogen Assay Kit 10k+ visitors in the past month Cayman’s glycogen assay provides a simple, reproducible, and sensitive tool for measuring glycogen in tissue/cells. This glycogen assay is suitable for measuring glycogen levels in samples that contain reducing substances, which may interfere with oxidase. It has also been used to determine the glycogen content in liver, vastus lateralis. The glycogen assay kit uses. Glycogen Assay Kit.
From www.linkedin.com
Glycogen Colorimetric and Fluorometric Assay Kits Market Report Reveals Glycogen Assay Kit This glycogen assay is suitable for measuring glycogen levels in samples that contain reducing substances, which may interfere with oxidase. Cayman’s glycogen assay provides a simple, reproducible, and sensitive tool for measuring glycogen in tissue/cells. In this glycogen assay protocol, glycogen is hydrolyzed into glucose, which is oxidized to form an intermediate that reduces a colorless probe. 10k+ visitors in. Glycogen Assay Kit.
From export.vwr.com
Glycogen Assay Kit VWR Glycogen Assay Kit 10k+ visitors in the past month In this glycogen assay protocol, glycogen is hydrolyzed into glucose, which is oxidized to form an intermediate that reduces a colorless probe. Glycogen assay kit ab65620 is an easy and accurate assay to measure glycogen levels in biological samples. Cayman’s glycogen assay provides a simple, reproducible, and sensitive tool for measuring glycogen in tissue/cells.. Glycogen Assay Kit.
From www.antibodies.com
Glycogen Assay Kit (A319689) Glycogen Assay Kit 10k+ visitors in the past month 10k+ visitors in the past month Glycogen assay kit ab65620 is an easy and accurate assay to measure glycogen levels in biological samples. The glycogen assay kit uses a single working reagent that combines the enzymatic break down of glycogen and the detection of glucose in one. Glycogen assay kit has been used in. Glycogen Assay Kit.
From origin-www.abcam.com
Glycogen Assay Kit II (Colorimetric) (ab169558) Abcam Glycogen Assay Kit Cayman’s glycogen assay provides a simple, reproducible, and sensitive tool for measuring glycogen in tissue/cells. Glycogen assay kit has been used in glycogen quantification. Glycogen assay kit ab65620 is an easy and accurate assay to measure glycogen levels in biological samples. 10k+ visitors in the past month This glycogen assay is suitable for measuring glycogen levels in samples that contain. Glycogen Assay Kit.
From www.abcam.co.jp
Glycogen Assay Kit (ab65620/K646100) アブカム Glycogen Assay Kit Glycogen assay kit ab65620 is an easy and accurate assay to measure glycogen levels in biological samples. In this glycogen assay protocol, glycogen is hydrolyzed into glucose, which is oxidized to form an intermediate that reduces a colorless probe. It has also been used to determine the glycogen content in liver, vastus lateralis. Cayman’s glycogen assay provides a simple, reproducible,. Glycogen Assay Kit.
From www.dnatestingexperts.com
Solarbio Glycogen Assay Kit DNA Testing Experts Glycogen Assay Kit The glycogen assay kit uses a single working reagent that combines the enzymatic break down of glycogen and the detection of glucose in one. In this glycogen assay protocol, glycogen is hydrolyzed into glucose, which is oxidized to form an intermediate that reduces a colorless probe. It has also been used to determine the glycogen content in liver, vastus lateralis.. Glycogen Assay Kit.
From www.yumpu.com
ab65620 Glycogen Assay Kit Abcam Glycogen Assay Kit The glycogen assay kit uses a single working reagent that combines the enzymatic break down of glycogen and the detection of glucose in one. 10k+ visitors in the past month In this glycogen assay protocol, glycogen is hydrolyzed into glucose, which is oxidized to form an intermediate that reduces a colorless probe. 10k+ visitors in the past month Glycogen assay. Glycogen Assay Kit.
From www.researchgate.net
Effect of PGF on glycogen content. The glycogen content was assayed Glycogen Assay Kit This glycogen assay is suitable for measuring glycogen levels in samples that contain reducing substances, which may interfere with oxidase. Glycogen assay kit ab65620 is an easy and accurate assay to measure glycogen levels in biological samples. 10k+ visitors in the past month Cayman’s glycogen assay provides a simple, reproducible, and sensitive tool for measuring glycogen in tissue/cells. In this. Glycogen Assay Kit.
From www.researchgate.net
Does anyone is measuring Glycogen content in the liver with Glycogen Glycogen Assay Kit In this glycogen assay protocol, glycogen is hydrolyzed into glucose, which is oxidized to form an intermediate that reduces a colorless probe. The glycogen assay kit uses a single working reagent that combines the enzymatic break down of glycogen and the detection of glucose in one. It has also been used to determine the glycogen content in liver, vastus lateralis.. Glycogen Assay Kit.
From www.fishersci.com
Abcam Glycogen Assay Kit II (Colorimetric) 100test, Quantity Each of 1 Glycogen Assay Kit It has also been used to determine the glycogen content in liver, vastus lateralis. The glycogen assay kit uses a single working reagent that combines the enzymatic break down of glycogen and the detection of glucose in one. 10k+ visitors in the past month Cayman’s glycogen assay provides a simple, reproducible, and sensitive tool for measuring glycogen in tissue/cells. Glycogen. Glycogen Assay Kit.
From www.assaygenie.com
Glycolysis Assay Kit (BA0086) Glycogen Assay Kit The glycogen assay kit uses a single working reagent that combines the enzymatic break down of glycogen and the detection of glucose in one. It has also been used to determine the glycogen content in liver, vastus lateralis. 10k+ visitors in the past month Cayman’s glycogen assay provides a simple, reproducible, and sensitive tool for measuring glycogen in tissue/cells. In. Glycogen Assay Kit.
From www.elabscience.com
High Affinity and Specificity Glycogen Fluorometric Assay Kit EBCF040 Glycogen Assay Kit It has also been used to determine the glycogen content in liver, vastus lateralis. 10k+ visitors in the past month This glycogen assay is suitable for measuring glycogen levels in samples that contain reducing substances, which may interfere with oxidase. The glycogen assay kit uses a single working reagent that combines the enzymatic break down of glycogen and the detection. Glycogen Assay Kit.
From www.arigobio.com
Glycogen Branching Enzyme Assay Kit (ARG82031) arigo Biolaboratories Glycogen Assay Kit Glycogen assay kit ab65620 is an easy and accurate assay to measure glycogen levels in biological samples. In this glycogen assay protocol, glycogen is hydrolyzed into glucose, which is oxidized to form an intermediate that reduces a colorless probe. The glycogen assay kit uses a single working reagent that combines the enzymatic break down of glycogen and the detection of. Glycogen Assay Kit.
From www.abcam.co.jp
Glycogen Assay Kit (ab65620) アブカム Glycogen Assay Kit This glycogen assay is suitable for measuring glycogen levels in samples that contain reducing substances, which may interfere with oxidase. 10k+ visitors in the past month It has also been used to determine the glycogen content in liver, vastus lateralis. Cayman’s glycogen assay provides a simple, reproducible, and sensitive tool for measuring glycogen in tissue/cells. The glycogen assay kit uses. Glycogen Assay Kit.
From www.fishersci.com
Abcam Glycogen Phosphorylase Assay Kit (Colorimetric) 100test, Quantity Glycogen Assay Kit In this glycogen assay protocol, glycogen is hydrolyzed into glucose, which is oxidized to form an intermediate that reduces a colorless probe. The glycogen assay kit uses a single working reagent that combines the enzymatic break down of glycogen and the detection of glucose in one. 10k+ visitors in the past month 10k+ visitors in the past month Glycogen assay. Glycogen Assay Kit.
From www.researchgate.net
∆glgX mutant accumulates increased levels of glycogen a Transmission Glycogen Assay Kit 10k+ visitors in the past month The glycogen assay kit uses a single working reagent that combines the enzymatic break down of glycogen and the detection of glucose in one. Glycogen assay kit ab65620 is an easy and accurate assay to measure glycogen levels in biological samples. Glycogen assay kit has been used in glycogen quantification. Cayman’s glycogen assay provides. Glycogen Assay Kit.
From www.prlog.org
BioVision Introduces 3 New Assay Kits PicoProbe Lactate & Glucose Glycogen Assay Kit This glycogen assay is suitable for measuring glycogen levels in samples that contain reducing substances, which may interfere with oxidase. 10k+ visitors in the past month In this glycogen assay protocol, glycogen is hydrolyzed into glucose, which is oxidized to form an intermediate that reduces a colorless probe. Glycogen assay kit has been used in glycogen quantification. Glycogen assay kit. Glycogen Assay Kit.
From www.fishersci.com
Abnova Glycogen Assay Kit 1 KitCell Analysis Products, Quantity Each Glycogen Assay Kit Glycogen assay kit has been used in glycogen quantification. 10k+ visitors in the past month This glycogen assay is suitable for measuring glycogen levels in samples that contain reducing substances, which may interfere with oxidase. The glycogen assay kit uses a single working reagent that combines the enzymatic break down of glycogen and the detection of glucose in one. In. Glycogen Assay Kit.
From www.cell.com
CellIntrinsic Glycogen Metabolism Supports Early Glycolytic Glycogen Assay Kit In this glycogen assay protocol, glycogen is hydrolyzed into glucose, which is oxidized to form an intermediate that reduces a colorless probe. Cayman’s glycogen assay provides a simple, reproducible, and sensitive tool for measuring glycogen in tissue/cells. 10k+ visitors in the past month Glycogen assay kit ab65620 is an easy and accurate assay to measure glycogen levels in biological samples.. Glycogen Assay Kit.
From www.abcam.com
Glycogen Assay Kit II (Colorimetric) (ab169558) Abcam Glycogen Assay Kit Glycogen assay kit has been used in glycogen quantification. 10k+ visitors in the past month This glycogen assay is suitable for measuring glycogen levels in samples that contain reducing substances, which may interfere with oxidase. It has also been used to determine the glycogen content in liver, vastus lateralis. 10k+ visitors in the past month Cayman’s glycogen assay provides a. Glycogen Assay Kit.
From www.fishersci.com
Invitrogen Glycogen (5 mg/ml) 5 tubesMolecular Biology Reagents and Glycogen Assay Kit This glycogen assay is suitable for measuring glycogen levels in samples that contain reducing substances, which may interfere with oxidase. Glycogen assay kit ab65620 is an easy and accurate assay to measure glycogen levels in biological samples. 10k+ visitors in the past month In this glycogen assay protocol, glycogen is hydrolyzed into glucose, which is oxidized to form an intermediate. Glycogen Assay Kit.
From www.abcam.com
Glycogen Assay Kit (ab65620/K646100) Abcam Glycogen Assay Kit Glycogen assay kit has been used in glycogen quantification. This glycogen assay is suitable for measuring glycogen levels in samples that contain reducing substances, which may interfere with oxidase. In this glycogen assay protocol, glycogen is hydrolyzed into glucose, which is oxidized to form an intermediate that reduces a colorless probe. It has also been used to determine the glycogen. Glycogen Assay Kit.
From s-bio.com
OGlycan Analysis with EZGlyco® OGlycan Prep Kit SBio Glycogen Assay Kit Glycogen assay kit ab65620 is an easy and accurate assay to measure glycogen levels in biological samples. Glycogen assay kit has been used in glycogen quantification. It has also been used to determine the glycogen content in liver, vastus lateralis. The glycogen assay kit uses a single working reagent that combines the enzymatic break down of glycogen and the detection. Glycogen Assay Kit.
From www.researchgate.net
Hepatic glycogen, triglyceride and gluconeogenic content and expression Glycogen Assay Kit In this glycogen assay protocol, glycogen is hydrolyzed into glucose, which is oxidized to form an intermediate that reduces a colorless probe. 10k+ visitors in the past month Cayman’s glycogen assay provides a simple, reproducible, and sensitive tool for measuring glycogen in tissue/cells. This glycogen assay is suitable for measuring glycogen levels in samples that contain reducing substances, which may. Glycogen Assay Kit.
From dokumen.tips
(PDF) ab65620 (Colorimetric/ Glycogen Assay Kit Fluorometric) · 9.4 Glycogen Assay Kit In this glycogen assay protocol, glycogen is hydrolyzed into glucose, which is oxidized to form an intermediate that reduces a colorless probe. Glycogen assay kit ab65620 is an easy and accurate assay to measure glycogen levels in biological samples. It has also been used to determine the glycogen content in liver, vastus lateralis. Glycogen assay kit has been used in. Glycogen Assay Kit.
From app.scientist.com
Glycogen Assay Kit (Colorimetric/Fluorometric) (BA0065) Glycogen Assay Kit Glycogen assay kit has been used in glycogen quantification. In this glycogen assay protocol, glycogen is hydrolyzed into glucose, which is oxidized to form an intermediate that reduces a colorless probe. 10k+ visitors in the past month 10k+ visitors in the past month It has also been used to determine the glycogen content in liver, vastus lateralis. This glycogen assay. Glycogen Assay Kit.