Equation Motion Valid . The first thing we can do is write down equations of motion: The following equations of motion are valid only when… acceleration is constant; Motion is constrained to a straight line The equations of motion of kinematics describe the most fundamental concepts of motion of an object. Equation of motion, mathematical formula that describes the position, velocity, or acceleration of a body relative to a given frame. Here we will focus on motion in a. These equations govern the motion of an object in 1d, 2d and 3d. Known as the equations of motion, they form the cornerstone of kinematics, a branch of classical mechanics that describes the motion of points,. The motion of an object can follow many different paths. An equation that describes the motion of a particle due to the action of a certain type. Equations of motion relate the displacement of an object to its velocity, acceleration and time.
from classnotes.ng
The first thing we can do is write down equations of motion: Equations of motion relate the displacement of an object to its velocity, acceleration and time. The following equations of motion are valid only when… acceleration is constant; An equation that describes the motion of a particle due to the action of a certain type. Motion is constrained to a straight line These equations govern the motion of an object in 1d, 2d and 3d. Known as the equations of motion, they form the cornerstone of kinematics, a branch of classical mechanics that describes the motion of points,. The equations of motion of kinematics describe the most fundamental concepts of motion of an object. Here we will focus on motion in a. The motion of an object can follow many different paths.
Equations of Motion ClassNotes.ng
Equation Motion Valid The following equations of motion are valid only when… acceleration is constant; Known as the equations of motion, they form the cornerstone of kinematics, a branch of classical mechanics that describes the motion of points,. Here we will focus on motion in a. Equation of motion, mathematical formula that describes the position, velocity, or acceleration of a body relative to a given frame. Equations of motion relate the displacement of an object to its velocity, acceleration and time. The following equations of motion are valid only when… acceleration is constant; The first thing we can do is write down equations of motion: These equations govern the motion of an object in 1d, 2d and 3d. An equation that describes the motion of a particle due to the action of a certain type. Motion is constrained to a straight line The motion of an object can follow many different paths. The equations of motion of kinematics describe the most fundamental concepts of motion of an object.
From quick4learning.blogspot.com
equation of motion from graph Equation Motion Valid The motion of an object can follow many different paths. Here we will focus on motion in a. The following equations of motion are valid only when… acceleration is constant; These equations govern the motion of an object in 1d, 2d and 3d. The first thing we can do is write down equations of motion: Motion is constrained to a. Equation Motion Valid.
From www.youtube.com
How to Derive Equations of Motion (All Three Equations) Motion 08 Equation Motion Valid The following equations of motion are valid only when… acceleration is constant; Equations of motion relate the displacement of an object to its velocity, acceleration and time. Known as the equations of motion, they form the cornerstone of kinematics, a branch of classical mechanics that describes the motion of points,. Here we will focus on motion in a. The first. Equation Motion Valid.
From lessonschoolnoe.z19.web.core.windows.net
Physics Particle Motion Equations Equation Motion Valid Motion is constrained to a straight line Equation of motion, mathematical formula that describes the position, velocity, or acceleration of a body relative to a given frame. Here we will focus on motion in a. Equations of motion relate the displacement of an object to its velocity, acceleration and time. The motion of an object can follow many different paths.. Equation Motion Valid.
From willowwoodlessons.weebly.com
Lesson 2 Equations of Motion WillowWood Lessons Equation Motion Valid The motion of an object can follow many different paths. These equations govern the motion of an object in 1d, 2d and 3d. The following equations of motion are valid only when… acceleration is constant; Known as the equations of motion, they form the cornerstone of kinematics, a branch of classical mechanics that describes the motion of points,. The first. Equation Motion Valid.
From quick4learning.blogspot.com
equation of motion from graph Equation Motion Valid The following equations of motion are valid only when… acceleration is constant; The first thing we can do is write down equations of motion: Motion is constrained to a straight line The motion of an object can follow many different paths. Here we will focus on motion in a. An equation that describes the motion of a particle due to. Equation Motion Valid.
From www.slideserve.com
PPT CentralForce Motion Chapter 8 PowerPoint Presentation, free Equation Motion Valid Equation of motion, mathematical formula that describes the position, velocity, or acceleration of a body relative to a given frame. Here we will focus on motion in a. Known as the equations of motion, they form the cornerstone of kinematics, a branch of classical mechanics that describes the motion of points,. The following equations of motion are valid only when…. Equation Motion Valid.
From www.venkatsacademy.com
Equations of Motion in One Dimension IIT JEE and NEET Physics Equation Motion Valid Equation of motion, mathematical formula that describes the position, velocity, or acceleration of a body relative to a given frame. Known as the equations of motion, they form the cornerstone of kinematics, a branch of classical mechanics that describes the motion of points,. The motion of an object can follow many different paths. The first thing we can do is. Equation Motion Valid.
From www.tessshebaylo.com
Equations Of Motion Worked Examples Tessshebaylo Equation Motion Valid The motion of an object can follow many different paths. The following equations of motion are valid only when… acceleration is constant; Equation of motion, mathematical formula that describes the position, velocity, or acceleration of a body relative to a given frame. Equations of motion relate the displacement of an object to its velocity, acceleration and time. Known as the. Equation Motion Valid.
From www.scribd.com
Equation of Motion Solution Data Sheet PDF Equations Algebra Equation Motion Valid The motion of an object can follow many different paths. Equations of motion relate the displacement of an object to its velocity, acceleration and time. Motion is constrained to a straight line Here we will focus on motion in a. The equations of motion of kinematics describe the most fundamental concepts of motion of an object. An equation that describes. Equation Motion Valid.
From www.slideserve.com
PPT Equations of Motion PowerPoint Presentation, free download ID Equation Motion Valid Motion is constrained to a straight line Equation of motion, mathematical formula that describes the position, velocity, or acceleration of a body relative to a given frame. The first thing we can do is write down equations of motion: Here we will focus on motion in a. Equations of motion relate the displacement of an object to its velocity, acceleration. Equation Motion Valid.
From testbook.com
Derivation of Equation of Motion Algebraic, Graphical, Calculus Equation Motion Valid Motion is constrained to a straight line The motion of an object can follow many different paths. The following equations of motion are valid only when… acceleration is constant; Known as the equations of motion, they form the cornerstone of kinematics, a branch of classical mechanics that describes the motion of points,. Here we will focus on motion in a.. Equation Motion Valid.
From willowwoodlessons.weebly.com
Lesson 5 5 KEY EQUATIONS FOR MOTION UNIFORM ACCELERATION Equation Motion Valid Here we will focus on motion in a. Equation of motion, mathematical formula that describes the position, velocity, or acceleration of a body relative to a given frame. Known as the equations of motion, they form the cornerstone of kinematics, a branch of classical mechanics that describes the motion of points,. The equations of motion of kinematics describe the most. Equation Motion Valid.
From slidetodoc.com
NEWTONS LAWS OF MOTION EQUATION OF MOTION Sections Equation Motion Valid Equation of motion, mathematical formula that describes the position, velocity, or acceleration of a body relative to a given frame. Equations of motion relate the displacement of an object to its velocity, acceleration and time. The following equations of motion are valid only when… acceleration is constant; Motion is constrained to a straight line These equations govern the motion of. Equation Motion Valid.
From slidetodoc.com
NEWTONS LAWS OF MOTION EQUATIONS OF MOTION EQUATIONS Equation Motion Valid The equations of motion of kinematics describe the most fundamental concepts of motion of an object. These equations govern the motion of an object in 1d, 2d and 3d. Equation of motion, mathematical formula that describes the position, velocity, or acceleration of a body relative to a given frame. The following equations of motion are valid only when… acceleration is. Equation Motion Valid.
From www.youtube.com
Equations of Motion Graphical Method and S nth YouTube Equation Motion Valid An equation that describes the motion of a particle due to the action of a certain type. Motion is constrained to a straight line Here we will focus on motion in a. The following equations of motion are valid only when… acceleration is constant; These equations govern the motion of an object in 1d, 2d and 3d. The first thing. Equation Motion Valid.
From www.teachoo.com
Derivation of all 3 Equations of Motion by Graph Teachoo Equation Motion Valid These equations govern the motion of an object in 1d, 2d and 3d. Known as the equations of motion, they form the cornerstone of kinematics, a branch of classical mechanics that describes the motion of points,. The following equations of motion are valid only when… acceleration is constant; The equations of motion of kinematics describe the most fundamental concepts of. Equation Motion Valid.
From mavink.com
1st Equation Of Motion Equation Motion Valid The motion of an object can follow many different paths. Equation of motion, mathematical formula that describes the position, velocity, or acceleration of a body relative to a given frame. The first thing we can do is write down equations of motion: Equations of motion relate the displacement of an object to its velocity, acceleration and time. Here we will. Equation Motion Valid.
From physicsqanda.com
How easy is to derive the 5 equations of motion Physics Q and A Equation Motion Valid Equations of motion relate the displacement of an object to its velocity, acceleration and time. Here we will focus on motion in a. The motion of an object can follow many different paths. An equation that describes the motion of a particle due to the action of a certain type. Motion is constrained to a straight line The equations of. Equation Motion Valid.
From criticalthinking.cloud
how to solve equation of motion problems Equation Motion Valid An equation that describes the motion of a particle due to the action of a certain type. Equation of motion, mathematical formula that describes the position, velocity, or acceleration of a body relative to a given frame. The first thing we can do is write down equations of motion: The following equations of motion are valid only when… acceleration is. Equation Motion Valid.
From www.slideserve.com
PPT Kinematics in One Dimension PowerPoint Presentation, free Equation Motion Valid These equations govern the motion of an object in 1d, 2d and 3d. The following equations of motion are valid only when… acceleration is constant; Equations of motion relate the displacement of an object to its velocity, acceleration and time. Motion is constrained to a straight line Known as the equations of motion, they form the cornerstone of kinematics, a. Equation Motion Valid.
From www.youtube.com
Equations of Motion Grade 10 YouTube Equation Motion Valid The following equations of motion are valid only when… acceleration is constant; The first thing we can do is write down equations of motion: The equations of motion of kinematics describe the most fundamental concepts of motion of an object. Equation of motion, mathematical formula that describes the position, velocity, or acceleration of a body relative to a given frame.. Equation Motion Valid.
From criticalthinking.cloud
how to solve equation of motion problems Equation Motion Valid An equation that describes the motion of a particle due to the action of a certain type. Known as the equations of motion, they form the cornerstone of kinematics, a branch of classical mechanics that describes the motion of points,. The motion of an object can follow many different paths. These equations govern the motion of an object in 1d,. Equation Motion Valid.
From slideplayer.com
Kinematic Equations. ppt download Equation Motion Valid Known as the equations of motion, they form the cornerstone of kinematics, a branch of classical mechanics that describes the motion of points,. Motion is constrained to a straight line The motion of an object can follow many different paths. The following equations of motion are valid only when… acceleration is constant; An equation that describes the motion of a. Equation Motion Valid.
From www.researchgate.net
Solutions to equations of motion for (a) Phase 1 interval while Equation Motion Valid The equations of motion of kinematics describe the most fundamental concepts of motion of an object. Motion is constrained to a straight line The first thing we can do is write down equations of motion: The motion of an object can follow many different paths. An equation that describes the motion of a particle due to the action of a. Equation Motion Valid.
From classnotes.ng
Equations of Motion ClassNotes.ng Equation Motion Valid The first thing we can do is write down equations of motion: Known as the equations of motion, they form the cornerstone of kinematics, a branch of classical mechanics that describes the motion of points,. The following equations of motion are valid only when… acceleration is constant; The equations of motion of kinematics describe the most fundamental concepts of motion. Equation Motion Valid.
From materialfulldecisions.z21.web.core.windows.net
Motion In 1d All Formulas Equation Motion Valid The equations of motion of kinematics describe the most fundamental concepts of motion of an object. Motion is constrained to a straight line Here we will focus on motion in a. An equation that describes the motion of a particle due to the action of a certain type. Equation of motion, mathematical formula that describes the position, velocity, or acceleration. Equation Motion Valid.
From willowwoodlessons.weebly.com
Lesson 2 Equations of Motion WillowWood Lessons Equation Motion Valid Equation of motion, mathematical formula that describes the position, velocity, or acceleration of a body relative to a given frame. The following equations of motion are valid only when… acceleration is constant; Here we will focus on motion in a. The motion of an object can follow many different paths. The equations of motion of kinematics describe the most fundamental. Equation Motion Valid.
From www.numerade.com
SOLVED 3. (6 points) Thermal wind balance (a) The horizontal equation Equation Motion Valid Known as the equations of motion, they form the cornerstone of kinematics, a branch of classical mechanics that describes the motion of points,. Here we will focus on motion in a. Equation of motion, mathematical formula that describes the position, velocity, or acceleration of a body relative to a given frame. An equation that describes the motion of a particle. Equation Motion Valid.
From byjus.com
Derivation of all four equations of motion by KINEMATICS. Equation Motion Valid The equations of motion of kinematics describe the most fundamental concepts of motion of an object. Equations of motion relate the displacement of an object to its velocity, acceleration and time. Equation of motion, mathematical formula that describes the position, velocity, or acceleration of a body relative to a given frame. The following equations of motion are valid only when…. Equation Motion Valid.
From studylib.net
Kinematic Equations of Linear Motion Equation Motion Valid Known as the equations of motion, they form the cornerstone of kinematics, a branch of classical mechanics that describes the motion of points,. Equations of motion relate the displacement of an object to its velocity, acceleration and time. The motion of an object can follow many different paths. These equations govern the motion of an object in 1d, 2d and. Equation Motion Valid.
From www.slideserve.com
PPT NEWTON’S LAWS OF MOTION, EQUATIONS OF MOTION, & EQUATIONS OF Equation Motion Valid An equation that describes the motion of a particle due to the action of a certain type. Equations of motion relate the displacement of an object to its velocity, acceleration and time. Here we will focus on motion in a. Known as the equations of motion, they form the cornerstone of kinematics, a branch of classical mechanics that describes the. Equation Motion Valid.
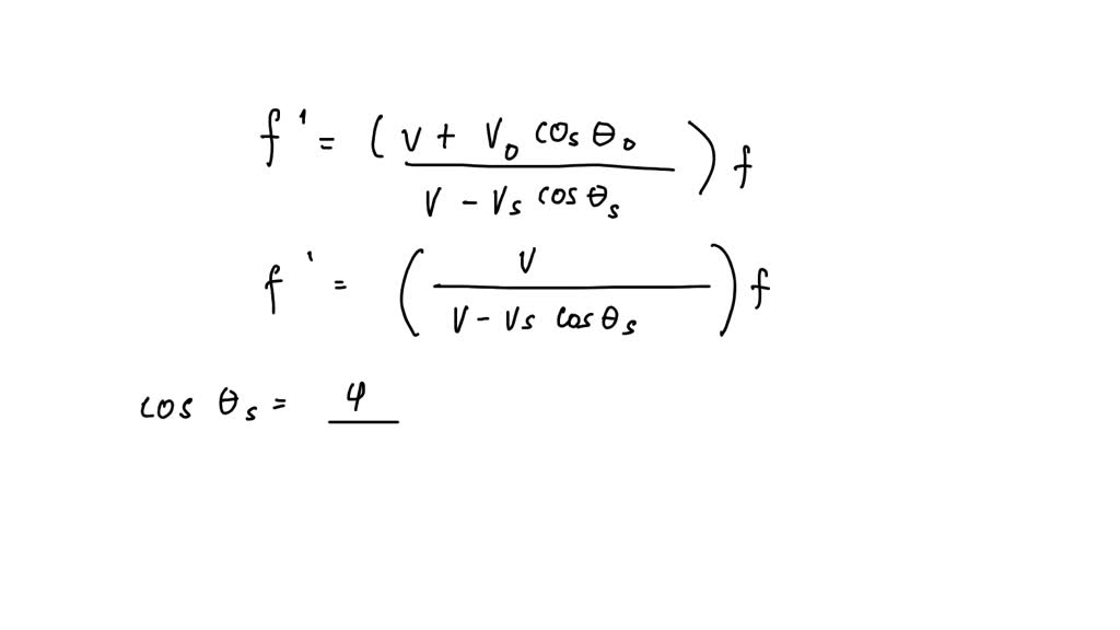
From www.numerade.com
SOLVEDThe Doppler equation presented in the text is valid when the Equation Motion Valid An equation that describes the motion of a particle due to the action of a certain type. These equations govern the motion of an object in 1d, 2d and 3d. Equation of motion, mathematical formula that describes the position, velocity, or acceleration of a body relative to a given frame. Known as the equations of motion, they form the cornerstone. Equation Motion Valid.
From slidetodoc.com
Chapter 5 Circular Motion Uniform circular motion Radial Equation Motion Valid Equation of motion, mathematical formula that describes the position, velocity, or acceleration of a body relative to a given frame. The equations of motion of kinematics describe the most fundamental concepts of motion of an object. An equation that describes the motion of a particle due to the action of a certain type. These equations govern the motion of an. Equation Motion Valid.
From www.studypool.com
SOLUTION First equation of motion Studypool Equation Motion Valid Equations of motion relate the displacement of an object to its velocity, acceleration and time. Equation of motion, mathematical formula that describes the position, velocity, or acceleration of a body relative to a given frame. The following equations of motion are valid only when… acceleration is constant; The motion of an object can follow many different paths. These equations govern. Equation Motion Valid.
From www.youtube.com
Motion Equations Example YouTube Equation Motion Valid Equations of motion relate the displacement of an object to its velocity, acceleration and time. An equation that describes the motion of a particle due to the action of a certain type. Known as the equations of motion, they form the cornerstone of kinematics, a branch of classical mechanics that describes the motion of points,. Equation of motion, mathematical formula. Equation Motion Valid.